Abstract
We have built and investigated analytically and numerically a differential game model of Cournot oligopoly with consideration of pollution, network structure, and continuous updating. Up to this time, games with network structure and continuous updating were considered separately. We analyzed time consistency for a cooperative solution of the game. For a specific example, we built a non-empty subgame perfect subcore. We considered stochastic versions of the proposed model and received results similar to the deterministic case.
1. Introduction
Differential games with continuous updating are proposed in (Petrosian & Tur, 2019; Petrosian et al., 2020a, 2020b, 2020c; Yeung & Petrosian, 2016). In those games, it is assumed that players have or use information determined on a closed time interval . However, as time goes, the information is updated; namely, there is a continuous shift of the time interval where the available information is determined. The information concerns equations of dynamics and payoff functionals. This assumption describes real situations in economics, politics, and other domains of social activities more adequately.
Another interesting branch in the literature is network games that consider spatial interaction between players (M. O. Jackson, 2008; M. Jackson & Zenou, 2014; Mazalov & Chirkova, 2019). Examples of network games may be found in (Li, 2023; Papadimitriou & Peng, 2023). In the papers (Anshelevich et al., 2008; Cai & Kimya, 2023), the issue of stability in network games is considered.
A very convenient model for game theoretic analysis is Cournot oligopoly (Maskin & Tirole, 1987; Vives, 1999). The respective examples are given in (Raoufinia et al., 2019; Zouhar & Zouharova, 2020).
A general theory of dynamic cooperative games, problems of time consistency of the respective solutions, and the imputation distribution procedures are presented in the monographs (Petrosjan & Zenkevich, 1996; Yeung & Petrosyan, 2012). (Petrosian et al., 2018) propose a procedure of building a subgame perfect subcore in a cooperative differential game. The building of such solutions in network games is described in (Tur & Petrosyan, 2021, 2023).
The choice of the method of constructing a characteristic function in a differential game is not trivial. In the model based on Cournot oligopoly, it is impossible to use the method of constructing a characteristic function proposed in (Tur & Petrosyan, 2021) because all externalities are negative. A classical Neumann–Morgenstern maximin approach based on a zero-sum game between a coalition and the anti-coalition (Neumann & Morgenstern, 1953) seems not quite natural in economic applications. A more natural approach proposed by (Petrosjan & Zaccour, 2003) means a two-stage procedure. First, a Nash equilibrium is found, and then all players from a given coalition act cooperatively, and the players from the anti-coalition use their Nash strategies. However, in a general case, the Petrosjan–Zaccour characteristic function may not be superadditive. In a network model of Cournot oligopoly, an approach by (E. Gromova et al., 2020; E. V. Gromova & Petrosyan, 2017) seems to be the most natural. Here, all players from a given coalition behave as they do in the grand coalition, and all other players (firms) maximize their output. It is a punishment strategy for the given coalition, but in fact, it usually coincides with optimal strategies for the anti-coalition. The Gromova–Petrosyan characteristic function is always superadditive (E. V. Gromova & Petrosyan, 2017).
The authors’ approach is presented in (Galieva et al., 2024; Korolev et al., 2023; Korolev & Ougolnitsky, 2023; G. Ougolnitsky & Korolev, 2023; G. A. Ougolnitsky & Usov, 2023a, 2023b). In (G. A. Ougolnitsky & Usov, 2023a), we consider a standard model of Cournot oligopoly. We compare the efficiency of different ways of interaction of active economic agents: free competence, cooperation, and hierarchical relations in direct and inverse Stackelberg games. The main research instrument is the Pontryagin maximum principle. We use numerical methods actively. We compare individual payoffs of separate players and the cooperative payoff for the different ways of interaction.
In this paper, we analyze a network game. We consider both direct and indirect interactions of agents that are situated in different vertices of a connected network. Thus, a competitive impact of each agent and his pollution are proportional to the decay centrality of the respective vertex. Here, the main research instrument is the Hamilton–Jacobi–Bellman equation. We do not study different ways of organization and their comparative efficiency. We use exceptionally a cooperative game theory based on characteristic functions. We present a Nash equilibrium in the beginning of the paper just as an introduction to the general logics of analysis. We have chosen the Gromova–Petrosyan characteristic function as the most adequate one for our consideration.
The principal attention in the work is focused on the issues of the time consistency of a cooperative solution and the building of the subgame perfect subcore. Then we introduce a mechanism of the continuous updating of information proposed in (Petrosian & Tur, 2019; Petrosian et al., 2020a, 2020b, 2020c). We have shown that in our model this mechanism simplifies the search for a solution and the building of the subcore.
In addition, we consider a stochastic setup in two versions: a game with the random variable of environmental pollution and a game with the random variable of self-purification of the environment. The introduction of the stochastic term in the equations of dynamics does not change the payoffs if we treat the stochastic model by its expected payoff. Our next natural problem is to consider trigger strategies with possible switches between equilibrium paths. It is quite evident that, in this version, the presence of stochastic terms in the equations of dynamics changes essentially the conditions of choice of the players of an equilibrium path and the respective payoffs.
The contribution of this paper is the following:
- –
- We found an explicit form of the Nash equilibrium and cooperative solution in a differential game of Cournot oligopoly with consideration of pollution, network structure, and continuous updating;
- –
- Based on this model, we built a cooperative differential game in the form of a Gromova–Petrosyan characteristic function;
- –
- For a specific example, we checked a sufficient condition of the non-emptiness of a subgame perfect subcore and built this subcore;
- –
- We investigated stochastic versions of the model, namely, the models with the random variables of environmental pollution and self-purification of the environment.
The rest of this paper is organized as follows. In Section 2, we consider a base model of a differential game of Cournot oligopoly with consideration of pollution, network structure, and continuous updating for the cases of independent and cooperative behavior of the players. In Section 3, based on this model, we build a cooperative differential game in the form of a Gromova–Petrosyan characteristic function with continuous updating. In Section 4, we investigate stochastic versions of the model, namely, the models with the random variables of environmental pollution and self-purification of the environment. Section 5 concludes this paper.
2. A Differential Game in Normal Form of Cournot Oligopoly with Consideration of Pollution, Network Structure, and Continuous Updating
2.1. Independent Behavior of Players
A firm’s problem in a base differential game in the normal form of Cournot oligopoly with consideration of pollution and network structure has the following form:
where
Here, —an undirected graph (network); —an output volume of the -th firm in the year (control variable), —a demand parameter; —unit costs of the -th firm; —a volume of pollutants in the environment in the year generated by the -th firm (state variable); —a coefficient of transmission of the output to the pollution; —a coefficient of self-purification of the environment; —a discount factor. So, firms are presented as vertices of the graph .
Notice that is a decay centrality of the -th vertex in (M. O. Jackson, 2008). It is supposed that the pollution growth due to the industrial activity of a firm is proportional to the centrality of the respective vertex with a coefficient . The vertex centrality also exerts influence on the firm’s demand function subject to (1) and (4).
We suppose that the less negative influence is exerted by the competitors on the demand for a firm’s production, the less are its unit costs:
We will use the following denotations:
Now consider a game with continuous updating (Petrosian & Tur, 2019; Petrosian et al., 2020a, 2020b, 2020c). In the subgame the -th firm problem takes the following form:
Lemma 1.
The solution of the equation
with the boundary condition is given by
The solution of the equation
with the boundary condition , where , and , is given by
The proof of Lemma 1 is provided in Appendix A.
Theorem 1.
Under the condition
where , the payoff of player in problem
with conditions (2)–(5) is given by
where ,
,
,
,
Taking , we receive a generalized Nash equilibrium in the game with continuous updating:
where
Using a procedure proposed in (Petrosian & Tur, 2019; Petrosian et al., 2020c), we receive the Nash equilibrium in the game with continuous updating:
Given the equilibrium strategies of the firms, it is easy according to (3) to find a trajectory of any firm or their coalition, as well as the payoffs.
2.2. Cooperative Behavior of Players
A cooperative differential game without continuous updating has the following form. All firms together solve an optimal control problem
s.t. (2), (4) and (5); meanwhile, constraint (3) takes the form
Denote , .
Lemma 2.
For any , the maximum in problem (6), (7), (2), (4) and (5) can be achieved only on one edge of the n-dimensional cube (2). The number of this edge is a natural number such that
where
In this case, firm has the output
where
Thus, optimal cooperative strategies of the players are
The proof of Lemma 2 is provided in Appendix A.
Now consider a cooperative game with continuous updating, where the players have or use information determined on a closed time interval . In the subgame , all firms together solve the optimal control problem:
We obtain the following analogue of Lemma 2.
Lemma 3.
In the problem (6), (7), (2), (4)–(5) with continuous updating, the maximum for any may be attained only on an edge of the n-dimensional cube (2). The respective index of the edge is such a natural number that
An output volume of the -th firm in this case is equal to
where
Thus, optimal cooperative strategies of the players are
Given a cooperative solution, we can find a cooperative trajectory in the game with continuous updating. Really,
i.e., .
Then an equation for the state variable takes the form
Solving this equation, we receive
and find the cooperative trajectory:
In the case , we receive
3. A Differential Game in the Form of Characteristic Function with Continuous Updating
We will use the Gromova–Petrosyan characteristic function. In this approach, the two-stage procedure is formally present in the definition, but in our case, it actually disappears. The members of the coalition under consideration S continue to behave as in the grand coalition , and all other firms decide to minimize their output (their worst punishment for the former coalition):
In reality, however, this strategy of all other firms coincides often with their optimal solution.
Thus, we will use the Gromova–Petrosyan characteristic function in the form (E. Gromova et al., 2020; E. V. Gromova & Petrosyan, 2017)
Here, the value of the coalition is indicated by if its participants behave the same way as they do in the grand coalition, and all other firms carry out the maximum possible output for them; the worth of the grand coalition is indicated by . The Gromova–Petrosyan characteristic function is always superadditive (E. V. Gromova & Petrosyan, 2017).
3.1. Subgame Perfect Subcore
Recall the main definitions and results concerning the time consistency of solutions of cooperative differential games (see Petrosian & Tur, 2019).
Let denote the set of all imputations in a game :
where is the value of the characteristic function for the coalition consisting of player only. For the family of subgames along the cooperative trajectory , the set of imputations in each subgame is introduced by analogy:
The core in a subgame is defined as a subset of the set of imputations such that for any .
A function , , is called an imputation distribution procedure (IDP) for if The IDP defines a rule to allocate the imputation components over the game length (duration) .
An optimality principle in the game is said to be time-consistent if for each imputation , there exists an IDP , , such that (Petrosyan & Danilov, 1979)
If for and there exists a differentiable selector , , then the optimality principle is time-consistent and the IDP is given by , , .
In this case, the imputation can be written as (Petrosyan & Danilov, 1979)
With the notation
the set of IDPs takes the form
For details, see (Petrosian et al., 2018).
Here, is the set of all possible functions for all integrable selectors , i.e., , ; the set is called the subcore in the game , . It was proved by (Petrosian et al., 2018) that this set is indeed a subset of the core in the game , .
Definition 1
(Petrosian et al., 2018, Definition 5.1). The set is subgame perfect in the game if
- , .
- For any imputation , there exists an IDP , , such that and .
The symbol indicates direct sum: for and , .
Theorem 2
(Petrosian et al., 2018, Theorem 5.1). Let and , . Then the subcore is subgame perfect in the game .
Let be an index, introduced in Section 2, of the hypercube’s edge on which the cooperative payoff is maximized. Notice that according to (9),
where
Superadditivity and supermodularity (convexity) of the Gromova–Petrosyan characteristic function evidently result from its form (E. Gromova et al., 2020; E. V. Gromova & Petrosyan, 2017) and the type of considered model (all firms from the anti-coalition minimize the coalitional payoff). Therefore, C-core is non-empty. From (Petrosian et al., 2018), it is known that a sufficient condition for the existence of a non-empty subgame perfect subcore is that for any coalition the following inequality holds:
To check this condition in a general form is quite a difficult task. Following other authors (Petrosian et al., 2018; Tur & Petrosyan, 2023), let us consider a specific example.
3.2. An Example of Constructing a Subgame Perfect Subcore
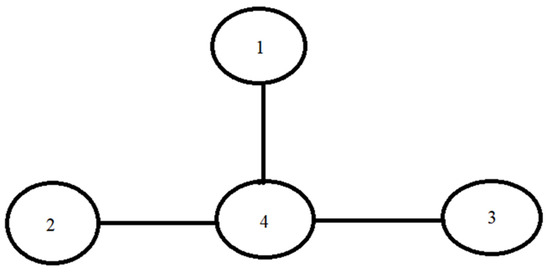
Suppose that in the vertices of the network from (Tur & Petrosyan, 2023) (Figure 1) are situated some firms that satisfy the conditions of the model (1)–(5).
Figure 1.
A model example of the network (Tur & Petrosyan, 2023).
Set the following parameter values: , , , , , , , , , , , . Then the centralities are , .
The value determined by (15) for is equal to ; for this value is equal to ; for , we receive ; for , we have . Therefore, a cooperative maximum of the payoff functional is attained in the hypercube’s vertex
Let us calculate the values of Gromova–Petrosyan characteristic function for different coalitions for , where denotes the cooperative trajectory :
Denote the value in (10) by , and the value in the right hand side of the analogue of Equation (3): of the dynamics of environmental pollution generated by a specific coalition by , i.e., . The results of calculations are presented in Table 1.
Table 1.
Results of calculations.
Let us calculate the values , for different . Equation (3) is rewritten in the form
Solving Equation (11), we find
Integral (10) is presented as a sum of two integrals:
Thus, for any coalition , the Gromova–Petrosyan characteristic function has the form
where and are given in the respective row of Table 1. According to (Petrosian et al., 2018), a subgame perfect subcore is non-empty if and only if the characteristic function is continuously differentiable by and for any along the cooperative trajectory the following condition holds:
where is the cooperative trajectory. In our case, this condition is easy to check immediately. In (Petrosian et al., 2018), a denotation is introduced:
and it is proved that a set of imputation distribution procedures has the form
In our case,
where and correspond to in Table 1.
A set in our case has the following form:
We have
Thus, the set takes the form
Now it is seen immediately that the set , and therefore a subgame perfect core, are non-empty. The subgame perfect core has the form
If a cooperative payoff is divided equally between all firms, then the respective imputation is subgame perfect because there is an imputation distribution procedure
However, the imputation does not belong to the subgame perfect core because .
4. A Differential Game in the Form of Characteristic Function with Continuous Updating and Stochastic Components
To consider the restrictions concerning environmental pollution in the optimal control problems, it is natural to use statistical methods and models (see, e.g., Escobedo-Trujillo et al., 2023a, 2023b; Kawaguchi & Morimoto, 2007). However, an approach proposed in (Yeung & Petrosian, 2016) is closer to us. Consider two kinds of similar models according to our network game.
4.1. A Game with Random Variable of Environmental Pollution
Consider a cooperative differential game with continuous updating where all players (firms) use information determined on a closed time interval . In the subgame , all firms together solve an optimal control problem:
subject to (2), (4) and (5); meanwhile, constraint (3) takes the form
where is a Brown process, , —the process volatility.
Denoting as before for the grand coalition or, respectively, for any coalition , we receive a more tractable form of Equation (3):
Considering the example from Section 3, let us write down an analogue of the Hamilton–Jacobi–Bellman equation in a stochastic case (M. Jackson & Zenou, 2014, Theorem A.5; Mazalov & Chirkova, 2019):
As we suppose the function to be linear by that follows naturally from the form of payoff functional (12), the term in Equation (14) is equal to zero, and the optimal cooperative strategies of the players in subgame (12) will have the same form as in the deterministic case. Using the procedure described in (Petrosian et al., 2020a, 2020b), we receive a Nash equilibrium in the game with continuous updating and a stochastic forecast that coincides with the solution received before in the deterministic case:
An index of the edge where the maximum is attained is a such natural number that
Given the cooperative solution, we can find not only the cooperative trajectory but also the function for any coalition in the game with continuous updating and stochastic components. Really, the stochastic differential equation has the form
Solving this equation, we multiply it by an integrating factor and receive
As , we received .
Writing the received equality in a finite form and integrating the right-hand side by parts, we have
or
As and , then
Let us calculate the values of Gromova–Petrosyan characteristic function for different coalitions for as it was calculated in Section 3:
where is determined by (15), and a value is the same as in Section 3. Integral (16) is presented as a sum of two integrals, the first of which
coincides with the respective integral in Section 3. The second integral in (16) has the form
Taking an expectation, we receive
Substituting in (17) numerical values from the example in Section 3 and using the same denotation , we receive
Thus, all calculations that concern the building of a subgame perfect subcore repeat completely the respective expressions from Section 3.
4.2. A Game with Random Variable of Self-Purification of the Environment
Consider a cooperative differential game with continuous updating where all players (firms) use information determined on a closed time interval . In the subgame , all firms together solve an optimal control problem (12) subject to (2), (4) and (5); meanwhile, constraint (3) takes the form
where is a Brown process, , —the process volatility.
Denoting as before , , for the grand coalition or, respectively, , , for any coalition , we receive a more tractable form of Equation (3):
As in Section 4.1, we receive a cooperative solution in the game with continuous updating and stochastic components of the state equation that completely coincides with the solution previously received in the deterministic case. Let us find the cooperative trajectory. Multiplying a stochastic Equation (18) by an integrating factor , where = , we receive
According to Ito’s lemma,
Then,
Writing this equality in a finite form, we receive
or
Completely similar to Section 3 and Section 4.1, we calculate the values of Gromova–Petrosyan function for different coalitions for :
where is determined by expression (19), and a value is the same as in Section 3. Integral (20) is presented as a sum of two integrals, the first of which
coincides with the respective integral in Section 3 and Section 4.1. The second integral in (20) takes the form
As , if , we receive
Substituting in (17) numerical values from the example in Section 3, we find
Thus, all calculations that concern the building of a subgame perfect subcore again repeat completely the respective expressions from Section 3.
5. Conclusions
We built a network version of the differential game of Cournot oligopoly with consideration of environmental pollution linear dynamics and continuous updating. We considered the independent and cooperative behavior of the players and received analytical solutions in both cases. In the built model, both direct and indirect network interactions were considered. Therefore, a key element of the model was decay centrality.
We built a Gromova–Petrosyan characteristic function that is always superadditive. We found the cooperative trajectory and analyzed the time consistency of the cooperative solution.
For a specific example, we checked a sufficient condition of the non-emptiness of a subgame perfect subcore and wrote down this solution explicitly. Moreover, we have shown that the symmetrical imputation (when a cooperative payoff is divided equally between all players) is subgame perfect but does not belong to a subgame perfect subcore.
We considered stochastic versions of the model, namely, games with the random variables of environmental pollution and self-purification of the environment. All results received for a deterministic case, such as characteristic function, imputation distribution procedure, and subgame perfect subcore, were naturally generalized for stochastic cases where payoffs were treated as expectations.
Author Contributions
Conceptualization, G.O.; Methodology, G.O.; Validation, A.K.; Formal analysis, A.K.; Writing—review & editing, G.O.; Supervision, G.O. All authors have read and agreed to the published version of the manuscript.
Funding
This research received no external funding.
Data Availability Statement
The original contributions presented in the study are included in the article, further inquiries can be directed to the corresponding author.
Conflicts of Interest
The authors declare no conflict of interest.
Appendix A
Proof of Lemma 1.
Solving differential equation for gives
The constant can be determined from the boundary conditions:
So, we finally arrive at the expression of Lemma for . Applying the arbitrary constant variation method to equation for , we obtain
where
Substituting the formula for into yields
Then
Hence,
The integration constant can be determined from the boundary condition
As a result,
Thus, both expressions of the lemma have been established. The proof of Lemma 1 is completed. □
Proof of Theorem 1.
We introduce the Bellman function
The corresponding HJB equation has the form
Let the Bellman function be linear:
Optimizing the curly bracketed expression in (A1) with respect to gives
Writing condition (A2) for each and summing over , we obtain
Hence, it follows that
Due to (A3), (A4) and (A1),
Equating the factors at the identical powers of y on the left- and right-hand sides of (A5), we obtain differential equations for and :
and
According to Lemma 1, the solution of Equation (A6) has the form
Does the value belong to the interval for ? It follows from (A8) that, for
In view of (5), equality (A4) implies
The condition
i.e.,
is equivalent to the condition on , in the formulation of the theorem. We calculate the right-hand side of (A7) by substituting (A3) and (A4):
Then, by Lemma 1,
Thus, , and we obtain finally the statement of the theorem. The proof of Theorem 1 is completed. □
Proof of Lemma 2.
We introduce the Bellman function
The corresponding HJB equation has the form
Let the Bellman function be linear: . We see that the equation for has the form (A6); according to Lemma 1, the solution has the form (A8).
Maximizing (A9) with respect to , gives
This system of equations has no solutions under the assumption . The maximum value of the payoff function lies on the boundary of the admissible domain of the parameters . With the notation
the HJB Equation (A9) can be written as
At any time instant, the maximum can lie only on the boundary of the definitional domain of the control variables. In the case of the strict inequality (5), the maximum of (A10) can lie only on a manifold of dimension 1 (for the same reasons it cannot be inside the domain), namely, the maximum can be achieved only on one edge of an -dimensional cube.
Let us move from the origin along the edge of the -dimensional cube where the objective function grows fastest (i.e., along the axis ). If a local maximum is not found on this edge, having reached the vertex, we will change the direction and move along the edge where the objective function grows fastest (i.e., along the axis ), and so on up to the point where the derivative along the chosen direction vanishes. At this point, obviously, the objective function achieves a local maximum. Assume that this event occurs on the l-th edge. At the maximum point,
and consequently,
Thus, the maximum point has the coordinates
In addition,
The proof of Lemma 2 is completed. □
References
- Anshelevich, E., Dasgupta, A., Kleinberg, J., Tardos, E., Wexler, T., & Roughgarden, T. (2008). The price of stability for network design with fair cost allocation. SIAM Journal on Computing, 38(4), 1602–1623. [Google Scholar] [CrossRef]
- Cai, X., & Kimya, M. (2023). Stability of alliance networks. Games and Economic Behavior, 140, 401–409. [Google Scholar] [CrossRef]
- Escobedo-Trujillo, B. A., López-Barrientos, J. D., Higuera-Chan, C. G., & Alaffita-Hernández, F. A. (2023a). Robust statistic estimation of constrained optimal control problems of pollution accumulation (part I). Mathematics, 11(4), 923. [Google Scholar] [CrossRef]
- Escobedo-Trujillo, B. A., López-Barrientos, J. D., Higuera-Chan, C. G., & Alaffita-Hernández, F. A. (2023b). Robust statistic estimation in constrained optimal control problems of pollution accumulation (part II: Markovian switchings). Mathematics, 11(4), 1045. [Google Scholar] [CrossRef]
- Galieva, N. M., Korolev, A. V., & Ougolnitsky, G. A. (2024). Dynamic resource allocation networks in marketing: Comparing the effectiveness of control methods. Dynamic Games and Applications, 14, 362–395. [Google Scholar] [CrossRef]
- Gromova, E. V., & Petrosyan, L. A. (2017). On an approach to constructing a characteristic function in cooperative differential games. Automation and Remote Control, 78, 1680–1692. [Google Scholar] [CrossRef]
- Gromova, E., Marova, E., & Gromov, D. (2020). A Substitute for the classical neumann–morgenstern characteristic function in cooperative differential games. Journal of Dynamics and Games, 7(2), 105–122. [Google Scholar] [CrossRef]
- Jackson, M. O. (2008). Social and economic networks. Princeton University Press. [Google Scholar]
- Jackson, M., & Zenou, Y. (2014). Games on networks. In P. Young, & S. Zamir (Eds.), Handbook of game theory (pp. 95–163). Elsevier. [Google Scholar]
- Kawaguchi, K., & Morimoto, M. (2007). Long-run average welfare in a pollution accumulation model. Journal of Economic Dynamics and Control, 31(2), 703–720. [Google Scholar] [CrossRef]
- Korolev, A. V., Kotova, M. A., & Ugolnitsky, G. A. (2023). Comparison of methods of organization and management efficiency in dynamic models of cournot oligopoly. Journal of Computer and Systems Sciences International, 62(1), 34–56. [Google Scholar] [CrossRef]
- Korolev, A. V., & Ougolnitsky, G. A. (2023). Cooperative game-theoretic models of the cournot oligopoly. International Game Theory Review, 25, 235004. [Google Scholar] [CrossRef]
- Li, X. (2023). Designing weighted and directed networks under complementarities. Games and Economic Behavior, 140, 556–574. [Google Scholar] [CrossRef]
- Maskin, E., & Tirole, J. A. (1987). Theory of dynamic oligopoly, III. cournot competition. European Economic Review, 31, 947–968. [Google Scholar] [CrossRef]
- Mazalov, V., & Chirkova, J. V. (2019). Networking games. Academic Press. [Google Scholar]
- Neumann, J. v., & Morgenstern, O. (1953). Theory of games and economic behavior. Princeton University Press. [Google Scholar]
- Ougolnitsky, G., & Korolev, A. (2023). Game-theoretic models of coopetition in cournot oligopoly. Stats, 6(2), 576–595. [Google Scholar] [CrossRef]
- Ougolnitsky, G. A., & Usov, A. B. (2023a). Differential game-theoretic models of cournot oligopoly with consideration of the green effect. Games, 14(1), 14. [Google Scholar] [CrossRef]
- Ougolnitsky, G. A., & Usov, A. B. (2023b). The interaction of economic agents in cournot duopoly models under ecological conditions: A comparison of organizational modes. Automation and Remote Control, 84(2), 124–138. [Google Scholar] [CrossRef]
- Papadimitriou, C., & Peng, B. (2023). Public goods games in directed networks. Games and Economic Behavior, 139, 161–179. [Google Scholar] [CrossRef]
- Petrosian, O. L., Gromova, E. V., & Pogozhev, S. V. (2018). Strong time-consistent subset of the core in cooperative differential games with finite time horizon. Automation and Remote Control, 79, 912–1928. [Google Scholar] [CrossRef]
- Petrosian, O. L., & Tur, A. V. (2019). Hamilton-Jacobi-Bellman equations for non cooperative differential games with continuous updating. Communications in Computer and Information Science, 1090, 178–191. [Google Scholar]
- Petrosian, O. L., Tur, A. V., & Wang, Z. (2020a). Cooperative differential games with continuous updating using Hamilton-Jacobi-Bellman equation. Optimization Methods and Software, 1275, 256–270. [Google Scholar] [CrossRef]
- Petrosian, O. L., Tur, A. V., Wang, Z., & Gao, H. (2020b). Cooperative differential game model with continuous updating. Mathematical Game Theory and Applications, 12(2), 82–109. (In Russian). [Google Scholar] [CrossRef]
- Petrosian, O. L., Tur, A. V., & Zhou, J. (2020c). Pontryagin’s maximum principle for non-cooperative differential games with continuous updating. Communications in Computer and Information Science, 1275, 256–270. [Google Scholar]
- Petrosjan, L., & Zaccour, G. (2003). Time-consistent shapley value allocation of pollution cost reduction. Journal of Economic Dynamics and Control, 27(3), 381–398. [Google Scholar] [CrossRef]
- Petrosjan, L. A., & Zenkevich, N. A. (1996). Game theory. World Scientific Publishing. [Google Scholar]
- Petrosyan, L. A., & Danilov, N. N. (1979). Stability of solutions of non-zero-sum games with transferable payoffs (pp. 52–79). Series 1: Mathematics, Mechanics, Astronomy 1. Vestnik of Leningrad University. (In Russian) [Google Scholar]
- Raoufinia, M., Baradaran, V., & Shahjerdi, R. (2019). A dynamic differential duopoly game with sticky price and advertizing: Open-loop and closed-loop solutions. Kybernetes, 48(3), 586–611. [Google Scholar] [CrossRef]
- Tur, A., & Petrosyan, L. (2021). Strong time-consistent solution for cooperative differential games with network structure. Mathematics, 9, 755. [Google Scholar] [CrossRef]
- Tur, A., & Petrosyan, L. (2023). Average tree solution in multi-agent systems with network structure. Mathematical Game Theory and Applications, 15(1), 73–89. (In Russian). [Google Scholar] [CrossRef]
- Vives, X. (1999). Oligopoly pricing: Old ideas and new tools. MIT Press. [Google Scholar]
- Yeung, D. W. K., & Petrosian, O. L. (2016, October 15–16). Cooperative stochastic differential games with information adaptation. International Conference on Communication and Electronic Information Engineering (CEIE 2016) (pp. 375–381), Guangzhou, China. [Google Scholar]
- Yeung, D. W. K., & Petrosyan, L. A. (2012). Subgame-consistent economic optimization. Springer. [Google Scholar]
- Zouhar, J., & Zouharova, M. (2020). Stackelberg versus cournot duopoly with asymmetric costs: Primary markups, entry deterrence, and a comparison of social welfare and industry profits. Economic Theory Bulletin, 8, 89–96. [Google Scholar] [CrossRef]
Disclaimer/Publisher’s Note: The statements, opinions and data contained in all publications are solely those of the individual author(s) and contributor(s) and not of MDPI and/or the editor(s). MDPI and/or the editor(s) disclaim responsibility for any injury to people or property resulting from any ideas, methods, instructions or products referred to in the content. |
© 2025 by the authors. Licensee MDPI, Basel, Switzerland. This article is an open access article distributed under the terms and conditions of the Creative Commons Attribution (CC BY) license (https://creativecommons.org/licenses/by/4.0/).
