The Black Box as a Control for Payoff-Based Learning in Economic Games
Abstract
1. Introduction
2. Results
2.1. Learning with Hidden Humans or Hidden Computers
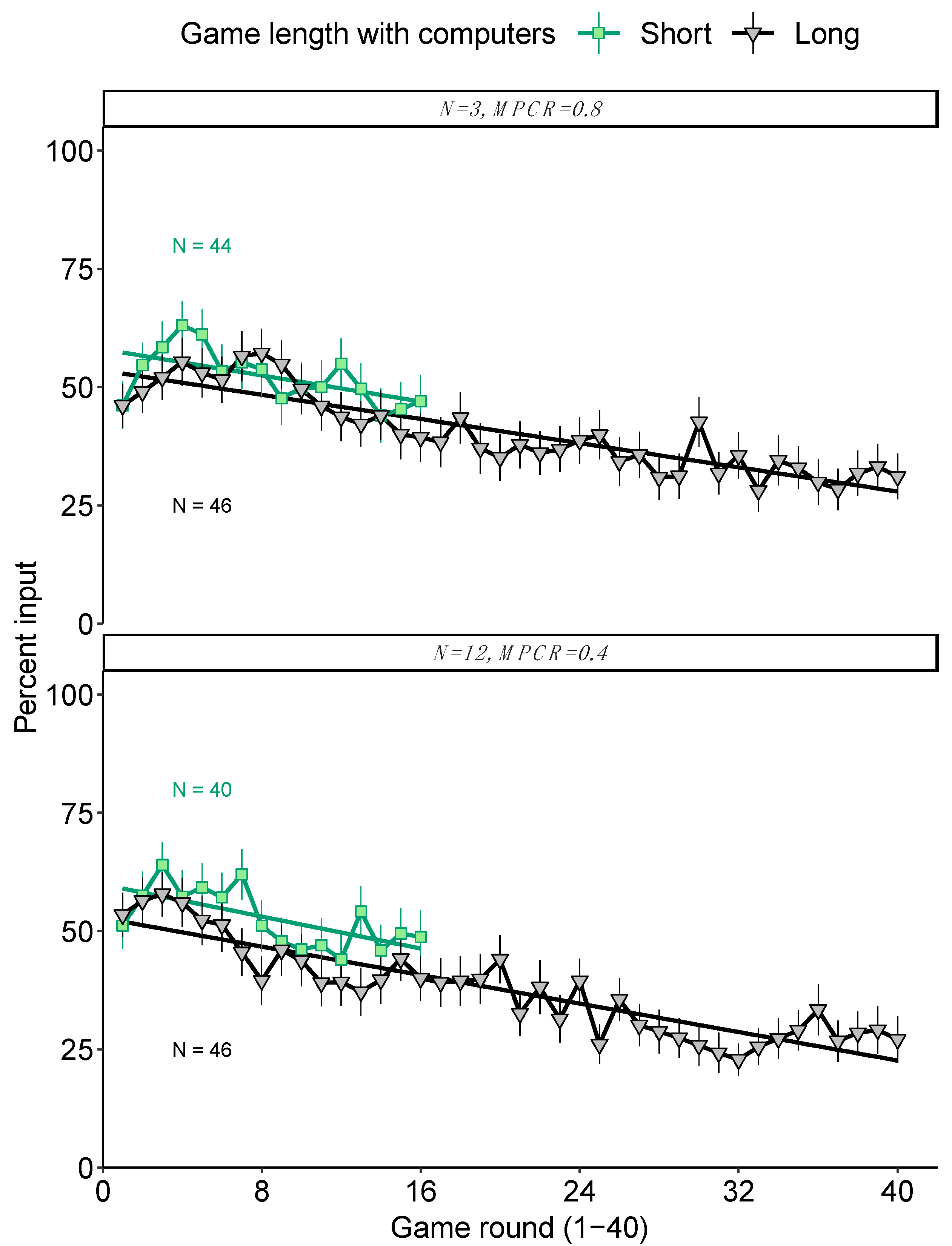
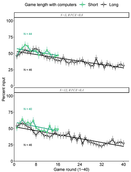
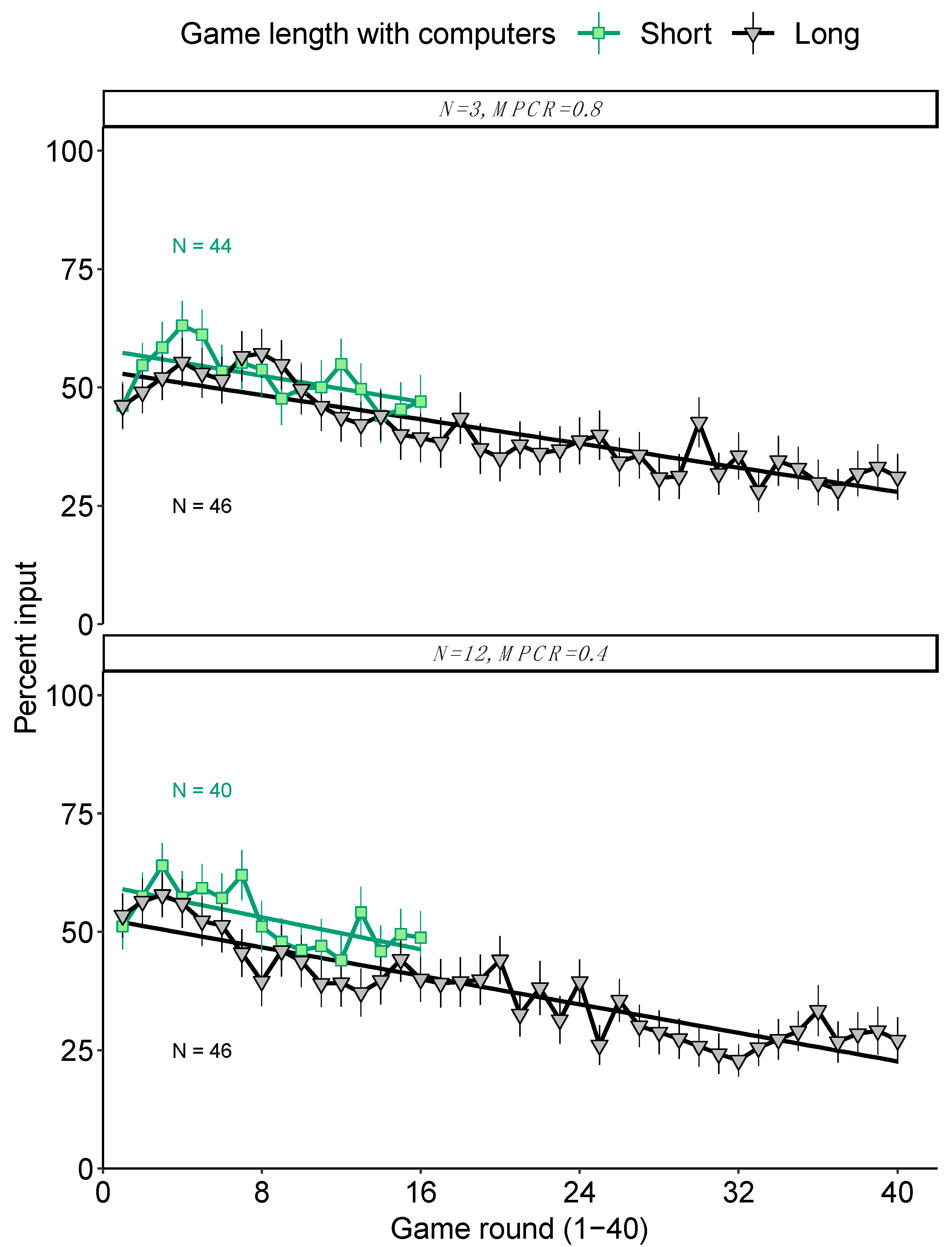
2.2. Learning in Longer Games
3. Discussion
3.1. Payoff-Based Learning in Public-Goods Games
3.2. The Value of Control Treatments in Economic Experiments
4. Materials and Methods
4.1. Participants and Location
4.2. Experiment Design
4.3. Analyses
Author Contributions
Funding
Data Availability Statement
Acknowledgments
Conflicts of Interest
Appendix A
- Welcome to the Experiment!
- The Decision
- Playing the Same Box Many Times
- Each Decision is Separate but the ‘Black Box’ Remains the Same
- Playing with Different Boxes
- However Each Black Box Will Have a Different Mathematical Function
- You Will Be Told When the Decisions are Finished and It Is Time to Play with a New Black Box
| 1 | Participants were told that the black box contained a mathematical function which would remain constant for the experiment, but which contained a random component each round, meaning that a given input would not guarantee the same output, but giving the impression that the black box was in some sense solvable. |
| 2 | Note that this is not deception as no false information is giving to participants. It is merely an omission of information about the externalities of the participant’s decisions. Crucially, participants are not going to leave the laboratory thinking that next time they play a game with humans that the humans are actually computers or actors (which is arguably the main reason for the no deception policy). |
References
- Hardin, G. The Tragedy of the Commons. Science 1968, 162, 1243–1248. [Google Scholar] [CrossRef]
- Rustagi, D.; Engel, S.; Kosfeld, M. Conditional Cooperation and Costly Monitoring Explain Success in Forest Commons Management. Science 2010, 330, 961–965. [Google Scholar] [CrossRef] [PubMed]
- Milinski, M.; Sommerfeld, R.D.; Krambeck, H.J.; Reed, F.A.; Marotzke, J. The collective-risk social dilemma and the prevention of simulated dangerous climate change. Proc. Natl. Acad. Sci. USA 2008, 105, 2291–2294. [Google Scholar] [CrossRef]
- Burton-Chellew, M.N.; May, R.M.; West, S.A. Combined inequality in wealth and risk leads to disaster in the climate change game. Clim. Chang. 2013, 120, 815–830. [Google Scholar] [CrossRef]
- Romano, A.; Balliet, D.; Yamagishi, T.; Liu, J.H. Parochial trust and cooperation across 17 societies. Proc. Natl. Acad. Sci. USA 2017, 114, 12702–12707. [Google Scholar] [CrossRef] [PubMed]
- Bavel, J.J.V.; Baicker, K.; Boggio, P.S.; Capraro, V.; Cichocka, A.; Cikara, M.; Crockett, M.J.; Crum, A.J.; Douglas, K.M.; Druckman, J.N.; et al. Using social and behavioural science to support COVID-19 pandemic response. Nat. Hum. Behav. 2020, 4, 460–471. [Google Scholar] [CrossRef]
- Ijzerman, H.; Lewis, N.A.; Przybylski, A.K.; Weinstein, N.; DeBruine, L.; Ritchie, S.J.; Vazire, S.; Forscher, P.; Morey, R.D.; Ivory, J.D.; et al. Use caution when applying behavioural science to policy. Nat. Hum. Behav. 2020, 4, 1092–1094. [Google Scholar] [CrossRef]
- Thielmann, I.; Böhm, R.; Ott, M.; Hilbig, B.E. Economic Games: An Introduction and Guide for Research. Collabra Psychol. 2021, 7, 19004. [Google Scholar] [CrossRef]
- Andreoni, J.; Miller, J. Giving according to garp: An experimental test of the consistency of preferences for altruism. Econometrica 2002, 70, 737–753. [Google Scholar] [CrossRef]
- Fehr, E.; Gachter, S. Altruistic punishment in humans. Nature 2002, 415, 137–140. [Google Scholar] [CrossRef]
- Carpenter, J.P. When in Rome: Conformity and the provision of public goods. J. Socio-Econ. 2004, 33, 395–408. [Google Scholar] [CrossRef]
- Croson, R.; Fatas, E.; Neugebauer, T. Reciprocity, matching and conditional cooperation in two public goods games. Econ. Lett. 2005, 87, 95–101. [Google Scholar] [CrossRef]
- Brandts, J.; Cooper, D.J.; Fatas, E. Leadership and overcoming coordination failure with asymmetric costs. Exp. Econ. 2007, 10, 269–284. [Google Scholar] [CrossRef]
- Andreoni, J.; Croson, R. Partners versus strangers: Random rematching in public goods experiments. In Handbook of Experimental Economics Results; Plott, C.R., Smitt, V.L., Eds.; North-Holland: Amsterdam, The Netherlands, 2008; p. 776. [Google Scholar]
- Guillen, P.; Fatas, E.; Branas-Garza, P. Inducing efficient conditional cooperation patterns in public goods games, an experimental investigation. J. Econ. Psychol. 2010, 31, 872–883. [Google Scholar] [CrossRef]
- Fischbacher, U.; Gachter, S. Social Preferences, Beliefs, and the Dynamics of Free Riding in Public Goods Experiments. Am. Econ. Rev. 2010, 100, 541–556. [Google Scholar] [CrossRef]
- Bohm, R.; Rockenbach, B. The Inter-Group Comparison—Intra-Group Cooperation Hypothesis: Comparisons between Groups Increase Efficiency in Public Goods Provision. PLoS ONE 2013, 8, e56152. [Google Scholar] [CrossRef]
- Andreozzi, L.; Ploner, M.; Saral, A.S. The stability of conditional cooperation: Beliefs alone cannot explain the decline of cooperation in social dilemmas. Sci. Rep.-UK 2020, 10, 13610. [Google Scholar] [CrossRef]
- Burton-Chellew, M.N.; West, S.A. Prosocial preferences do not explain human cooperation in public-goods games. Proc. Natl. Acad. Sci. USA 2013, 110, 216–221. [Google Scholar] [CrossRef]
- Burton-Chellew, M.N.; Nax, H.H.; West, S.A. Payoff-based learning explains the decline in cooperation in public goods games. Proc. R. Soc. B-Biol. Sci. 2015, 282, 20142678. [Google Scholar] [CrossRef]
- Nax, H.H.; Burton-Chellew, M.N.; West, S.A.; Young, H.P. Learning in a black box. J. Econ. Behav. Organ. 2016, 127, 1–15. [Google Scholar] [CrossRef]
- Nax, H.H.; Perc, M. Directional learning and the provisioning of public goods. Sci. Rep.-UK 2015, 5, srep08010. [Google Scholar] [CrossRef] [PubMed]
- Burton-Chellew, M.N.; Guérin, C. Self-interested learning is more important than fair-minded conditional cooperation in public-goods games. Evol. Hum. Sci. 2022, 4, e46. [Google Scholar] [CrossRef]
- Andreoni, J. Cooperation in public-goods experiments—Kindness or confusion. Am. Econ. Rev. 1995, 85, 891–904. [Google Scholar]
- Ferraro, P.J.; Vossler, C.A. The Source and Significance of Confusion in Public Goods Experiments. BE J. Econ. Anal. Policy 2010, 10. [Google Scholar] [CrossRef]
- Kummerli, R.; Burton-Chellew, M.N.; Ross-Gillespie, A.; West, S.A. Resistance to extreme strategies, rather than prosocial preferences, can explain human cooperation in public goods games. Proc. Natl. Acad. Sci. USA 2010, 107, 10125–10130. [Google Scholar] [CrossRef] [PubMed]
- Burton-Chellew, M.N.; El Mouden, C.; West, S.A. Conditional cooperation and confusion in public-goods experiments. Proc. Natl. Acad. Sci. USA 2016, 113, 1291–1296. [Google Scholar] [CrossRef]
- Burton-Chellew, M.N.; D’Amico, V.; Guérin, C. The Strategy Method Risks Conflating Confusion with a Social Preference for Conditional Cooperation in Public Goods Games. Games 2022, 13, 69. [Google Scholar] [CrossRef]
- Houser, D.; Kurzban, R. Revisiting kindness and confusion in public goods experiments. Am. Econ. Rev. 2002, 92, 1062–1069. [Google Scholar] [CrossRef]
- Shapiro, D.A. The role of utility interdependence in public good experiments. Int. J. Game Theory 2009, 38, 81–106. [Google Scholar] [CrossRef]
- Bayer, R.C.; Renner, E.; Sausgruber, R. Confusion and learning in the voluntary contributions game. Exp. Econ. 2013, 16, 478–496. [Google Scholar] [CrossRef]
- Burton-Chellew, M.N.; West, S.A. Payoff-based learning best explains the rate of decline in cooperation across 237 public-goods games. Nat. Hum. Behav. 2021, 5, 1330–1388. [Google Scholar] [CrossRef] [PubMed]
- Nielsen, Y.A.; Thielmann, I.; Zettler, I.; Pfattheicher, S. Sharing Money With Humans Versus Computers: On the Role of Honesty-Humility and (Non-)Social Preferences. Soc. Psychol. Pers. Sci. 2021, 13, 1058–1068. [Google Scholar] [CrossRef]
- Foster, D.P.; Peyton Young, H. Regret testing: Learning to play Nash equilibrium without knowing you have an opponent. Theor. Econ. 2006, 1, 341–367. [Google Scholar]
- Nevo, I.; Erev, I. On Surprise, Change, and the Effect of Recent Outcomes. Front. Psychol. 2012, 3, 24. [Google Scholar] [CrossRef] [PubMed]
- Erev, I.; Haruvy, E. Learning and the economics of small decisions. In The Handbook of Experimental Economics; Kagel, J.H., Roth, A.E., Eds.; Princeton University Press: Princeton, NJ, USA, 2013; Volume 2, pp. 501–512. [Google Scholar]
- Zion, U.B.; Erev, I.; Haruvy, E.; Shavit, T. Adaptive behavior leads to under-diversification. J. Econ. Psychol. 2010, 31, 985–995. [Google Scholar] [CrossRef]
- Weber, R.A. ‘Learning’ with no feedback in a competitive guessing game. Games Econ. Behav. 2003, 44, 134–144. [Google Scholar] [CrossRef]
- Rapoport, A.; Seale, D.A.; Parco, J.E. Coordination in the Aggregate without Common Knowledge or Outcome Information. In Experimental Business Research; Zwick, R., Rapoport, A., Eds.; Springer: Boston, MA, USA, 2002; pp. 69–99. [Google Scholar] [CrossRef]
- Colman, A.M.; Pulford, B.D.; Omtzigt, D.; Al-Nowaihi, A. Learning to cooperate without awareness in multiplayer minimal social situations. Cogn. Psychol. 2010, 61, 201–227. [Google Scholar] [CrossRef]
- Friedman, D.; Huck, S.; Oprea, R.; Weidenholzer, S. From imitation to collusion: Long-run learning in a low-information environment. J. Econ. Theory 2015, 155, 185–205. [Google Scholar] [CrossRef]
- Bereby-Meyer, Y.; Roth, A.E. The speed of learning in noisy games: Partial reinforcement and the sustainability of cooperation. Am. Econ. Rev. 2006, 96, 1029–1042. [Google Scholar] [CrossRef]
- Horita, Y.; Takezawa, M.; Inukai, K.; Kita, T.; Masuda, N. Reinforcement learning accounts for moody conditional cooperation behavior: Experimental results. Sci. Rep.-UK 2017, 7, 39275. [Google Scholar] [CrossRef]
- Peyton Young, H. Learning by trial and error. Games Econ. Behav. 2009, 65, 626–643. [Google Scholar] [CrossRef]
- Binmore, K. Why Experiment in Economics? Econ. J. 1999, 109, F16–F24. [Google Scholar] [CrossRef]
- Binmore, K. Economic man—Or straw man? Behav. Brain Sci. 2005, 28, 817–818. [Google Scholar] [CrossRef]
- Binmore, K. Why do people cooperate? Politics Philos. Econ. 2006, 5, 81–96. [Google Scholar] [CrossRef]
- Smith, V.L. Theory and experiment: What are the questions? J. Econ. Behav. Organ. 2010, 73, 3–15. [Google Scholar] [CrossRef]
- Friedman, D. Preferences, beliefs and equilibrium: What have experiments taught us? J. Econ. Behav. Organ. 2010, 73, 29–33. [Google Scholar] [CrossRef]
- Camerer, C.F. Experimental, cultural, and neural evidence of deliberate prosociality. Trends Cogn. Sci. 2013, 17, 106–108. [Google Scholar] [CrossRef]
- Fehr, E.; Schmidt, K.M. A theory of fairness, competition, and cooperation. Q. J. Econ. 1999, 114, 817–868. [Google Scholar] [CrossRef]
- Sobel, J. Interdependent preferences and reciprocity. J. Econ. Lit. 2005, 43, 392–436. [Google Scholar] [CrossRef]
- Saijo, T.; Nakamura, H. The Spite Dilemma in Voluntary Contribution Mechanism Experiments. J. Confl. Resolut. 1995, 39, 535–560. [Google Scholar] [CrossRef]
- Brunton, D.; Hasan, R.; Mestelman, S. The ‘spite’ dilemma: Spite or no spite, is there a dilemma? Econ. Lett. 2001, 71, 405–412. [Google Scholar] [CrossRef]
- Cherry, T.L.; Crocker, T.D.; Shogren, J.F. Rationality spillovers. J. Environ. Econ. Manag. 2003, 45, 63–84. [Google Scholar] [CrossRef]
- Fischbacher, U. z-Tree: Zurich toolbox for ready-made economic experiments. Exp. Econ. 2007, 10, 171–178. [Google Scholar] [CrossRef]
- Greiner, B. Subject pool recruitment procedures: Organizing experiments with ORSEE. J. Econ. Sci. Assoc. 2015, 1, 114–125. [Google Scholar] [CrossRef]
- Team, R. Integrated Development Environment for R; RStudio: Boston, MA, USA, 2020. [Google Scholar]
- Burton-Chellew, M.N.; West, S.A. Data for: The black box as a control for payoff-based learning in economic games. Open Sci. Framew. 2022. [Google Scholar]





| N = 3, MPCR = 0.4 | N = 3, MPCR = 0.8 | N = 12, MPCR = 0.4 | ||||
|---|---|---|---|---|---|---|
| Fixed Effects | Z | p | Z | p | Z | p |
| Intercept (humans) | 0.7 | 0.476 | −1.4 | 0.159 | 3.6 | <0.001 |
| Round | −8.0 | <0.001 | 2.0 | 0.046 | −1.0 | 0.298 |
| Groupmates (computers) | 0.3 | 0.795 | 2.2 | 0.030 | −0.1 | 0.896 |
| Round x Groupmates | 0.2 | 0.821 | −1.2 | 0.222 | −0.3 | 0.760 |
| N. obs. | 1888 | 1856 | 1792 | |||
| N. individuals | 118 | 116 | 112 | |||
| N. groups | 70 | 68 | 46 | |||
| Random effects | Variance | St. dev. | Variance | St. dev. | Variance | St. dev. |
| Individual intercept | 1.12 | 1.059 | 1.36 | 1.168 | 3.00 | 1.733 |
| Individual slope | 0.03 | 0.167 | 0.07 | 0.255 | 0.02 | 0.170 |
| Group intercept | 0.60 | 0.777 | 1.08 | 1.038 | 0.00 | 0.00 |
| Black Box | Input: Humans | Input: Computers (Short) | Input: Computers (Long) | W 1 | P 1 | W 2 | P 2 |
|---|---|---|---|---|---|---|---|
| N = 3, MPCR = 0.4 | 3.0 ± 0.57 | 4.7 ± 0.90 | / | 573 | 0.797 | / | / |
| N = 3, MPCR = 0.8 | 10.1 ± 0.91 | 9.4 ± 1.12 | 6.2 ± 0.97 | 573.5 | 0.563 | 1287.5 | 0.025 |
| N = 12, MPCR = 0.4 | 10.3 ± 0.89 | 9.7 ± 1.12 | 5.4 ± 0.98 | 128 | 0.806 | 1238.5 | 0.006 |
| Black Box | Humans (N) * | Computers—Short (N) | Computers—Long (N) | W 1 | P 1 | W 2 | P 2 |
|---|---|---|---|---|---|---|---|
| N = 3, MPCR = 0.4 | 1.5 ± 0.79 (27) * | 3.0 ± 0.80 (34) | / | 348 | 0.072 | / | / |
| N = 3, MPCR = 0.8 | 8.8 ± 1.32 (40) | 8.9 ± 1.59 (24) | 3.5 ± 1.10 (24) | 469.5 | 0.888 | 410.5 | 0.010 |
| N = 12, MPCR = 0.4 | 9.8 ± 1.38 (28) * | 8.0 ± 1.37 (24) | 4.0 ± 0.93 (30) | 387 | 0.349 | 496.5 | 0.016 |
| N = 3, MPCR = 0.8 | N = 12, MPCR = 0.4 | |||
|---|---|---|---|---|
| Fixed Effects | Z | p | Z | p |
| Intercept | 1.1 | 0.257 | 1.7 | 0.080 |
| Round | −2.8 | 0.005 | −3.3 | <0.001 |
| Game length (short) | 0.6 | 0.575 | 0.4 | 0.666 |
| Round x Game length | 1.0 | 0.308 | 0.5 | 0.643 |
| N. obs. | 2544 | 2480 | ||
| N. individuals | 90 | 86 | ||
| N. groups | 90 | 86 | ||
| Random effects | Variance | St. dev. | Variance | St. dev. |
| Individual intercept | 3.00 | 1.731 | 5.67 | 2.381 |
| Individual slope | 0.01 | 0.116 | 0.01 | 0.122 |
Publisher’s Note: MDPI stays neutral with regard to jurisdictional claims in published maps and institutional affiliations. |
© 2022 by the authors. Licensee MDPI, Basel, Switzerland. This article is an open access article distributed under the terms and conditions of the Creative Commons Attribution (CC BY) license (https://creativecommons.org/licenses/by/4.0/).
Share and Cite
Burton-Chellew, M.N.; West, S.A. The Black Box as a Control for Payoff-Based Learning in Economic Games. Games 2022, 13, 76. https://doi.org/10.3390/g13060076
Burton-Chellew MN, West SA. The Black Box as a Control for Payoff-Based Learning in Economic Games. Games. 2022; 13(6):76. https://doi.org/10.3390/g13060076
Chicago/Turabian StyleBurton-Chellew, Maxwell N., and Stuart A. West. 2022. "The Black Box as a Control for Payoff-Based Learning in Economic Games" Games 13, no. 6: 76. https://doi.org/10.3390/g13060076
APA StyleBurton-Chellew, M. N., & West, S. A. (2022). The Black Box as a Control for Payoff-Based Learning in Economic Games. Games, 13(6), 76. https://doi.org/10.3390/g13060076

