Generative Artificial Intelligence and the Editing of Academic Essays: Necessary and Sufficient Ethical Judgments in Its Use by Higher Education Students
Abstract
1. Introduction
2. Theoretical Ground
2.1. Overview of the Grondwork
2.2. Moral Equity
2.3. Moral Relativism
2.4. Consequentialism
2.5. Deontology or Contractualism
3. Materials and Data Analysis
3.1. Sampling and Sample
3.2. Measurement Instrument
“The deadline for an essay you have been working on for weeks is approaching. You have researched, structured your ideas, and carefully written each paragraph. However, you know that artificial intelligence tools such as ChatGPT, Gemini, or Claude could help you refine your writing, improve the fluency of the text, and give it a more professional touch.Based on this scenario, please take a moment to consider how generative artificial intelligence is used in the coursework and assignments of your degree program.”
3.3. Data Analysis
3.4. Sample Size Adequacy
4. Results
4.1. Descriptive Statistics and Measurement Model Assessment
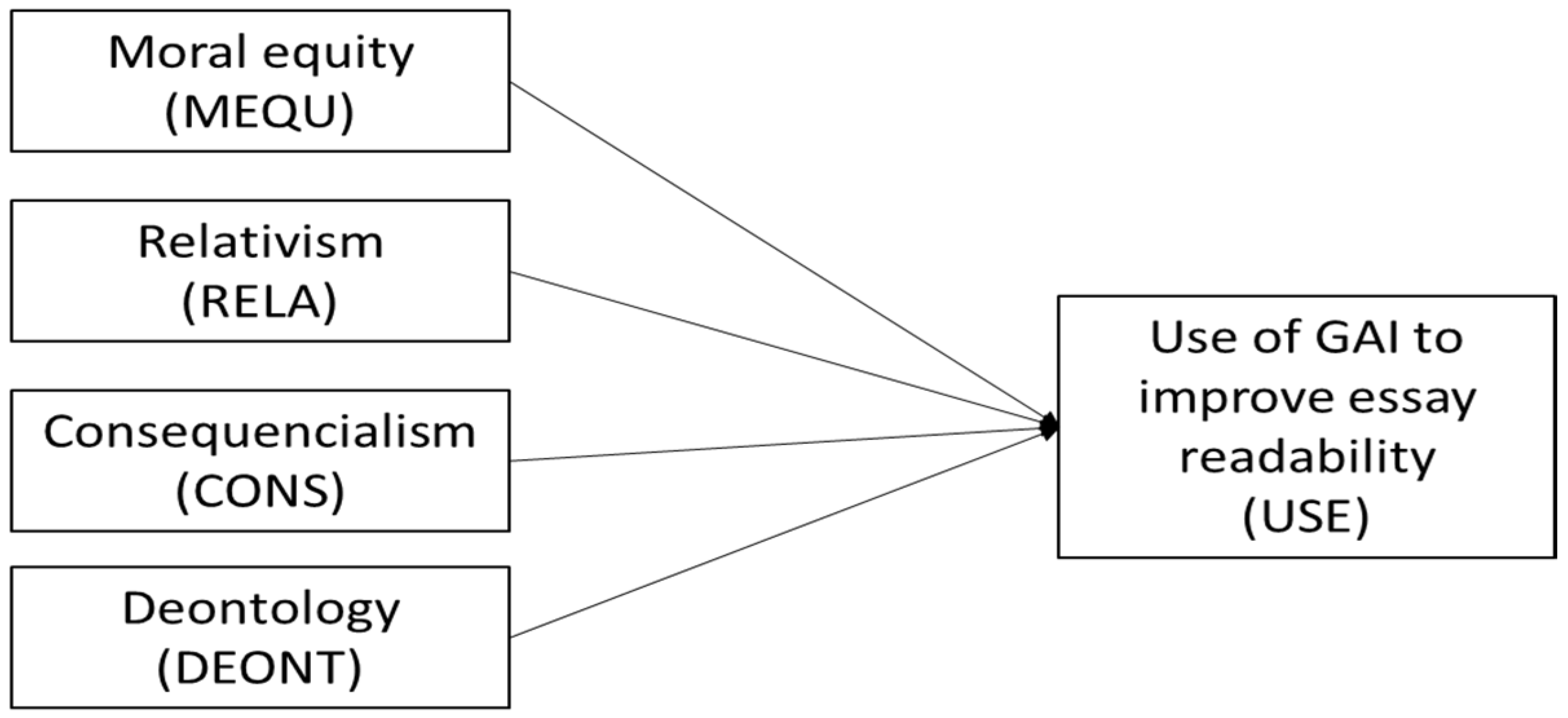
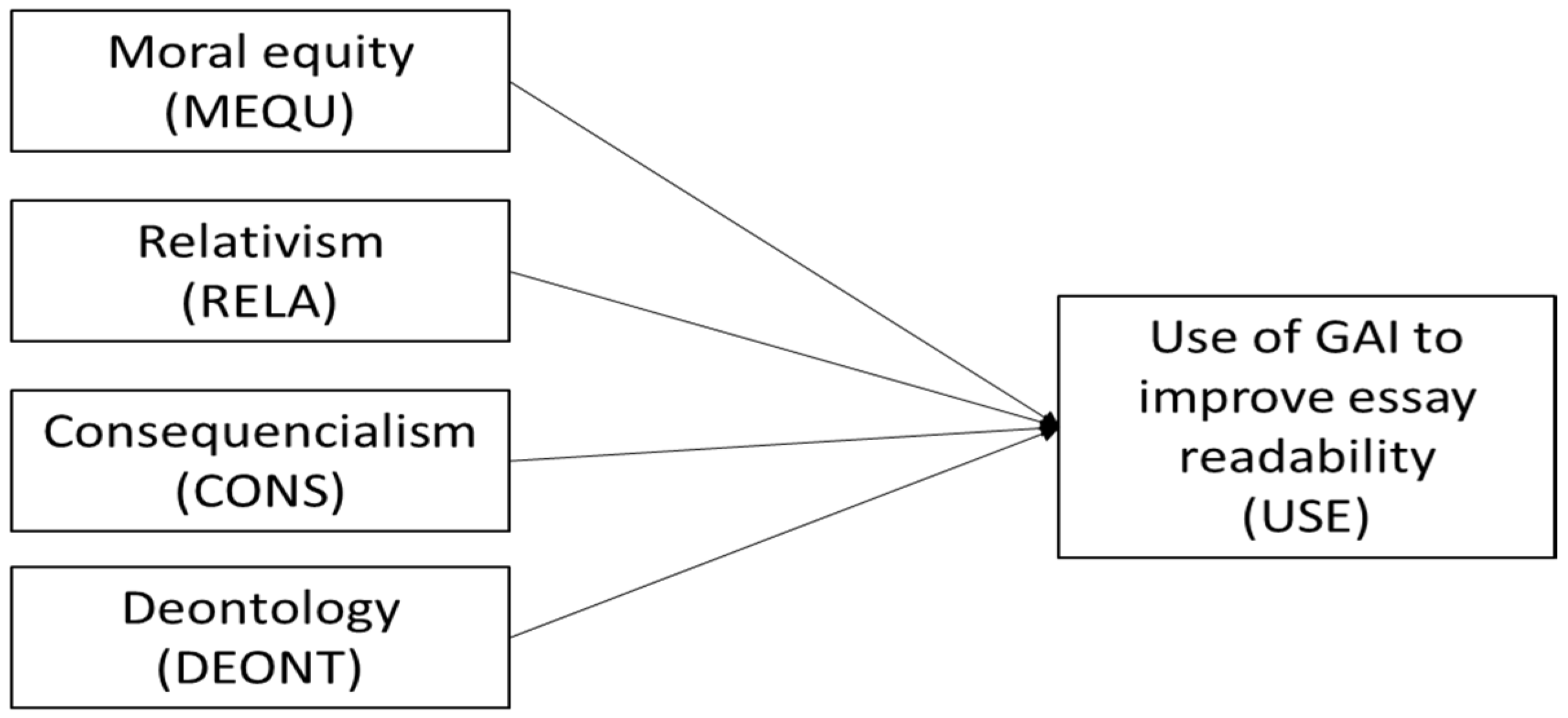
4.2. PLS-SEM Estimation (Research Objective 1)
4.3. Results of Necessary Condition Analysis (Research Objective 2)
5. Discussion
5.1. General Considerations
5.2. Theoretical Implications
5.3. Practical Implications
6. Conclusions
6.1. Main Findings
6.2. Limitations and Further Research
Author Contributions
Funding
Institutional Review Board Statement
Informed Consent Statement
Data Availability Statement
Conflicts of Interest
Abbreviations
| CONS | Consequentialism |
| DEONT | Deontology |
| GAI | Generative artificial intelligence |
| MEQU | Moral equity |
| MES | Multidimensional ethics scale |
| NCA | Necessary condition analysis |
| PLS-SEM | Partial least squares-structural equation modelling |
| RELA | Relativism |
References
- Madsen, D.Ø.; Toston, D.M. ChatGPT and Digital Transformation: A Narrative Review of Its Role in Health, Education, and the Economy. Digital 2025, 5, 24. [Google Scholar] [CrossRef]
- Almassaad, A.; Alajlan, H.; Alebaikan, R. Student Perceptions of Generative Artificial Intelligence: Investigating Utilization, Benefits, and Challenges in Higher Education. Systems 2024, 12, 385. [Google Scholar] [CrossRef]
- Naznin, K.; Al Mahmud, A.; Nguyen, M.T.; Chua, C. ChatGPT Integration in Higher Education for Personalized Learning, Academic Writing, and Coding Tasks: A Systematic Review. Computers 2025, 14, 53. [Google Scholar] [CrossRef]
- Salem, M.A. Bridging or Burning? Digital Sustainability and PY Students’ Intentions to Adopt AI-NLP in Educational Contexts. Computers 2025, 14, 265. [Google Scholar] [CrossRef]
- Schmidt, D.A.; Alboloushi, B.; Thomas, A.; Magalhaes, R. Integrating Artificial Intelligence in Higher Education: Perceptions, Challenges, and Strategies for Academic Innovation. Comput. Educ. Open 2025, 9, 100274. [Google Scholar] [CrossRef]
- Shahzad, M.F.; Xu, S.; Liu, H.; Zahid, H. Generative Artificial Intelligence (ChatGPT-4) and Social Media Impact on Academic Performance and Psychological Well-Being in China’s Higher Education. Eur. J. Educ. 2025, 60, e12835. [Google Scholar] [CrossRef]
- de Fine Licht, K. Generative artificial intelligence in higher education: Why the ‘banning approach’ to student use is sometimes morally justified. Philos. Technol. 2024, 37, 113. [Google Scholar] [CrossRef]
- Dwivedi, Y.K.; Kshetri, N.; Hughes, L.; Slade, E.L.; Jeyaraj, A.; Kar, A.K.; Baabdullah, A.M.; Koohang, A.; Raghavan, V.; Ahuja, M.; et al. Opinion paper: “So what if ChatGPT wrote it?” Multidisciplinary perspectives on opportunities, challenges and implications of generative conversational AI for research, practice and policy. Int. J. Inf. Manag. 2023, 71, 102642. [Google Scholar] [CrossRef]
- Gorrieri, L. Should I use ChatGPT as an academic aid? A response to Aylsworth and Castro. Philos. Technol. 2025, 38, 8. [Google Scholar] [CrossRef]
- Pérez-Portabella, A.; Arias-Oliva, M.; Padilla-Castillo, G.; de Andrés-Sánchez, J. Passing with ChatGPT? Ethical Evaluations of Generative AI Use in Higher Education. Digital 2025, 5, 33. [Google Scholar] [CrossRef]
- Parviz, M. AI in education: Comparative perspectives from STEM and Non-STEM instructors. Comput. Educ. Open 2024, 6, 100190. [Google Scholar] [CrossRef]
- Aylsworth, T.; Castro, C. Should I use ChatGPT to write my papers? Philos. Technol. 2024, 37, 117. [Google Scholar] [CrossRef]
- Escorcia, D.; Campo, K.; Navarro, G.; Ros, C. Assessing writing practices in higher education: Characterizing self-reported practices and identifying their determinants. Assess. Writ. 2025, 66, 100976. [Google Scholar] [CrossRef]
- Callies, M.; Zaytseva, E.; Present-Thomas, R.L. Writing assessment in higher education: Making the framework work. Dutch J. Appl. Linguist. 2013, 2, 1–15. [Google Scholar] [CrossRef]
- Dahl, B.M.; Vasset, F.; Frilund, M. Students’ approaches to scientific essay writing as an educational method in higher education: A mixed methods study. Soc. Sci. Humanit. Open 2023, 7, 100389. [Google Scholar] [CrossRef]
- Kaplan, A. The Conduct of Inquiry: Methodology for Behavioral Science; Transaction Publishers: Piscataway, NJ, USA, 1964. [Google Scholar]
- Baumeister, R.F.; Bratslavsky, E.; Muraven, M.; Tice, D.M. Ego depletion: Is the active self a limited resource? J. Pers. Soc. Psychol. 1998, 74, 1252–1265. [Google Scholar] [CrossRef]
- Reidenbach, R.E.; Robin, D.P. Toward the development of a multidimensional scale for improving evaluations of business ethics. J. Bus. Ethics 1990, 9, 639–653. [Google Scholar] [CrossRef]
- Shawver, T.J.; Sennetti, J.T. Measuring ethical sensitivity and evaluation. J. Bus. Ethics 2009, 88, 663–678. [Google Scholar] [CrossRef]
- Andrés-Sánchez, J.d.; Arias-Oliva, M.; Pelegrín-Borondo, J.; Almahameed, A.A.M. The influence of ethical judgements on acceptance and non-acceptance of wearables and insideables: Fuzzy set qualitative comparative analysis. Technol. Soc. 2021, 67, 101689. [Google Scholar] [CrossRef]
- Pelegrín-Borondo, J.; Arias-Oliva, M.; Murata, K.; Souto-Romero, M. Does ethical judgment determine the decision to become a cyborg? J. Bus. Ethics 2020, 161, 5–17. [Google Scholar] [CrossRef]
- Arli, D.; Tjiptono, F.; Porto, R. The impact of moral equity, relativism and attitude on individuals’ digital piracy behaviour in a developing country. Mark. Intell. Plan. 2015, 33, 348–365. [Google Scholar] [CrossRef]
- Jung, I. Ethical judgments and behaviors: Applying a multidimensional ethics scale to measuring ICT ethics of college students. Comput. Educ. 2009, 53, 940–949. [Google Scholar] [CrossRef]
- Leonard, L.N.; Riemenschneider, C.K.; Manly, T.S. Ethical behavioral intention in an academic setting: Models and predictors. J. Acad. Ethics 2017, 15, 141–166. [Google Scholar] [CrossRef]
- Yang, S.C. Ethical academic judgments and behaviors: Applying a multidimensional ethics scale to measure the ethical academic behavior of graduate students. Ethics Behav. 2012, 22, 281–296. [Google Scholar] [CrossRef]
- Dul, J. A different causal perspective with necessary condition analysis. J. Bus. Res. 2024, 177, 114618. [Google Scholar] [CrossRef]
- Sarstedt, M.; Richter, N.F.; Hauff, S.; Ringle, C.M. Combined importance–performance map analysis (cIPMA) in partial least squares structural equation modeling (PLS–SEM): A SmartPLS 4 tutorial. J. Mark. Anal. 2024, 12, 746–760. [Google Scholar] [CrossRef]
- Andrés-Sánchez, J.d. The role of ethical perceptions in the acceptance of innovative sport technologies for competition: Analysis of carbon plate running shoes. Cult. Cienc. Y Deporte 2025. Accepted for publication. [Google Scholar]
- Davis, F.D. Perceived Usefulness, Perceived Ease of Use, and User Acceptance of Information Technology. MIS Q. 1989, 13, 319–340. [Google Scholar] [CrossRef]
- Venkatesh, V.; Morris, M.G.; Davis, G.B.; Davis, F.D. User Acceptance of Information Technology: Toward a Unified View. MIS Q. 2003, 27, 425–478. [Google Scholar] [CrossRef]
- Ahmed, Z.; Shanto, S.S.; Rime, M.H.K.; Morol, M.K.; Fahad, N.; Hossen, M.J.; Abdullah-Al-Jubair, M. The Generative AI Landscape in Education: Mapping the Terrain of Opportunities, Challenges, and Student Perception. IEEE Access 2024, 12, 147023–147050. [Google Scholar] [CrossRef]
- Prashar, A.; Gupta, P.; Dwivedi, Y.K. Plagiarism awareness efforts, students’ ethical judgment and behaviors: A longitudinal experiment study on ethical nuances of plagiarism in higher education. Stud. High. Educ. 2024, 49, 929–955. [Google Scholar] [CrossRef]
- Elshaer, I.A.; Hasanein, A.M.; Sobaih, A.E.E. The Moderating Effects of Gender and Study Discipline in the Relationship between University Students’ Acceptance and Use of ChatGPT. Eur. J. Investig. Health Psychol. Educ. 2024, 14, 1981–1995. [Google Scholar] [CrossRef] [PubMed]
- Strzelecki, A.; ElArabawy, S. Investigation of the moderation effect of gender and study level on the acceptance and use of generative AI by higher education students: Comparative evidence from Poland and Egypt. Br. J. Educ. Technol. 2024, 55, 1209–1230. [Google Scholar] [CrossRef]
- Mustofa, R.H.; Kuncoro, T.G.; Atmono, D.; Hermawan, H.D.; Sukirman. Extending the technology acceptance model: The role of subjective norms, ethics, and trust in AI tool adoption among students. Comput. Educ. Artif. Intell. 2025, 8, 100379. [Google Scholar] [CrossRef]
- Venkatesh, V.; Bala, H. Technology Acceptance Model 3 and a Research Agenda on Interventions. Decis. Sci. 2008, 39, 273–315. [Google Scholar] [CrossRef]
- Venkatesh, V.; Thong, J.Y.L.; Xu, X. Consumer Acceptance and Use of Information Technology: Extending the Unified Theory of Acceptance and Use of echnology. MIS Q. 2012, 36, 157–178. [Google Scholar] [CrossRef]
- Dul, J. Necessary condition analysis (NCA): Logic and methodology of “necessary but not sufficient” causality. Organ. Res. Methods 2016, 19, 10–52. [Google Scholar] [CrossRef]
- Leonard, L.N.; Jones, K. Ethical awareness of seller’s behavior in consumer-to-consumer electronic commerce: Applying the multidimensional ethics scale. J. Internet Commer. 2017, 16, 202–218. [Google Scholar] [CrossRef]
- Killen, M. The origins of morality: Social equality, fairness, and justice. Philos. Psychol. 2018, 31, 767–803. [Google Scholar] [CrossRef]
- Nussbaum, M.; Sen, A. The Quality of Life; Clarendon Press: Oxford, UK, 1993. [Google Scholar]
- Kasneci, E.; Sessler, K.; Küchemann, S.; Bannert, M.; Dementieva, D.; Fischer, F.; Gasser, U.; Groh, G.; Günnemann, S.; Hüllermeier, E.; et al. ChatGPT for good? On opportunities and challenges of large language models for education. Learn. Individ. Differ. 2023, 103, 102274. [Google Scholar] [CrossRef]
- Toh, Y.; Looi, C.K. Transcending the dualities in digital education: A case study of Singapore. Front. Digit. Educ. 2024, 1, 121–131. [Google Scholar] [CrossRef]
- Biloš, A.; Budimir, B. Understanding the Adoption Dynamics of ChatGPT among Generation Z: Insights from a Modified UTAUT2 Model. J. Theor. Appl. Electron. Commer. Res. 2024, 19, 863–879. [Google Scholar] [CrossRef]
- Pelegrín-Borondo, J.P.; Pascual, C.O.; Pascual, L.B.; Milon, A.G. Impact of ethical judgment on university professors encouraging students to use AI in academic tasks. In The Leading Role of Smart Ethics in the Digital World; Universidad de La Rioja: Logroño, Spain, 2024; pp. 53–61. [Google Scholar]
- Lai, C.Y.; Cheung, K.Y.; Chan, C.S.; Law, K.K. Integrating the adapted UTAUT model with moral obligation, trust and perceived risk to predict ChatGPT adoption for assessment support: A survey with students. Comput. Educ. Artif. Intell. 2024, 6, 100246. [Google Scholar] [CrossRef]
- Baghramian, M.; Carter, J.A. Relativism. In The Stanford Encyclopedia of Philosophy; Spring 2025 Edition; Zalta, E.N., Nodelman, U., Eds.; The Metaphysics Research Lab, Department of Philosophy, Stanford University: Stanford, CA, USA, 2025; Available online: https://plato.stanford.edu/entries/relativism/ (accessed on 21 July 2025).
- Andersen, S.; Hjortskov, M. The unnoticed influence of peers on educational preferences. Behav. Public Policy 2019, 6, 530–553. [Google Scholar] [CrossRef]
- Strzelecki, A. To use or not to use ChatGPT in higher education? A study of students’ acceptance and use of technology. Interact. Learn. Environ. 2024, 32, 5142–5155. [Google Scholar] [CrossRef]
- Tlais, S.; Alkhatib, A.; Hamdan, R.; HajjHussein, H.; Hallal, K.; Malti, W.E. Artificial intelligence in higher education: Early perspectives from Lebanese STEM faculty. TechTrends 2025, 69, 598–606. [Google Scholar] [CrossRef]
- Vanderbauwhede, W. Estimating the increase in emissions caused by AI-augmented search. arXiv 2024, arXiv:2407.16894. [Google Scholar]
- Chung, J.; Kwon, H. Privacy fatigue and its effects on ChatGPT acceptance among undergraduate students: Is privacy dead? Educ. Inf. Technol. 2025, 30, 12321–12343. [Google Scholar] [CrossRef]
- Alshammari, S.H.; Alshammari, M.H. Factors Affecting the Adoption and Use of ChatGPT in Higher Education. Int. J. Inf. Commun. Technol. Educ. (IJICTE) 2024, 20, 1–16. [Google Scholar] [CrossRef]
- Grassini, S.; Aasen, M.L.; Møgelvang, A. Understanding University Students’ Acceptance of ChatGPT: Insights from the UTAUT2 Model. Appl. Artif. Intell. 2024, 38, 2371168. [Google Scholar] [CrossRef]
- Cambra-Fierro, J.J.; Blasco, M.F.; López-Pérez, M.-E.E.; Trifu, A. ChatGPT adoption and its influence on faculty well-being: An empirical research in higher education. Educ. Inf. Technol. 2025, 30, 1517–1538. [Google Scholar] [CrossRef]
- Sinnott-Armstrong, W. Consequentialism. In The Stanford Encyclopedia of Philosophy; Zalta, E.N., Ed.; The Metaphysics Research Lab, Department of Philosophy, Stanford University: Stanford, CA, USA, 2023; Available online: https://plato.stanford.edu/entries/consequentialism/ (accessed on 21 July 2025).
- Deigh, J. Egoism. In An Introduction to Ethics; Cambridge University Press: Cambridge, UK, 2010; pp. 25–55. [Google Scholar] [CrossRef]
- Rae, S. Moral Choices: An Introduction to Ethics; Zondervan Academic: Grand Rapids, MI, USA, 2018. [Google Scholar]
- Menon, D.; Shilpa, K. “Chatting with ChatGPT”: Analyzing the factors influencing users’ intention to use the Open AI’s ChatGPT using the UTAUT model. Heliyon 2023, 9, e20962. [Google Scholar] [CrossRef]
- Cebrián Cifuentes, S.; Guerrero Valverde, E.; Checa Caballero, S. The Vision of University Students from the Educational Field in the Integration of ChatGPT. Digital 2024, 4, 648–659. [Google Scholar] [CrossRef]
- Bücker, S.; Nuraydin, S.; Simonsmeier, B.A.; Schneider, M.; Luhmann, M. Subjective well-being and academic achievement: A meta-analysis. J. Res. Pers. 2018, 74, 83–94. [Google Scholar] [CrossRef]
- Martinez, C.T.; Kock, N.; Cass, J. Pain and Pleasure in Short Essay Writing: Factors Predicting University Students’ Writing Anxiety and Writing Self-Efficacy. J. Adolesc. Adult Lit. 2011, 54, 351–360. [Google Scholar] [CrossRef]
- Slimmen, S.; Timmermans, O.; Mikolajczak-Degrauwe, K.; Oenema, A. How stress-related factors affect mental wellbeing of university students: A cross-sectional study to explore the associations between stressors, perceived stress, and mental wellbeing. PLoS ONE 2022, 17, e0275925. [Google Scholar] [CrossRef]
- Shaver, R. Egoism. In The Stanford Encyclopedia of Philosophy; Spring 2023 Edition; Zalta, E.N., Nodelman, U., Eds.; The Metaphysics Research Lab, Department of Philosophy, Stanford University: Stanford, CA, USA, 2023; Available online: https://plato.stanford.edu/archives/spr2023/entries/egoism/ (accessed on 21 July 2025).
- Culp, J. Ethics of education. In Encyclopedia of the Philosophy of Law and Social Philosophy; Springer: Dordrecht, The Netherlands, 2023; pp. 1–7. [Google Scholar] [CrossRef]
- Alier, M.; García-Peñalvo, F.; Camba, J.D. Generative artificial intelligence in education: From deceptive to disruptive. Int. J. Interact. Multimed. Artif. Intell. 2024, 8, 5–14. [Google Scholar] [CrossRef]
- Meyer, J.G.; Urbanowicz, R.J.; Martin, P.C.; O’Connor, K.; Li, R.; Peng, P.C.; Bright, T.J.; Tatonetti, N.; Won, K.J.; Gonzalez-Hernandez, G.; et al. ChatGPT and large language models in academia: Opportunities and challenges. BioData Min. 2023, 16, 20. [Google Scholar] [CrossRef] [PubMed]
- Zhou, J.; Müller, H.; Holzinger, A.; Chen, F. Ethical ChatGPT: Concerns, challenges, and commandments. Electronics 2024, 13, 3417. [Google Scholar] [CrossRef]
- Venkatesh, V. Adoption and Use of AI Tools: A Research Agenda Grounded in UTAUT. Ann. Oper. Res. 2022, 108, 641–652. [Google Scholar] [CrossRef]
- Yildiz Durak, H.; Onan, A. Predicting the use of chatbot systems in education: A comparative approach using PLS-SEM and machine learning algorithms. Curr. Psychol. 2024, 43, 23656–23674. [Google Scholar] [CrossRef]
- Sobaih, A.E.E.; Elshaer, I.A.; Hasanein, A.M. Examining students’ acceptance and use of ChatGPT in Saudi Arabian higher education. Eur. J. Investig. Health Psychol. Educ. 2024, 14, 709–721. [Google Scholar] [CrossRef] [PubMed]
- Panggabean, E.-M.; Silalahi, A.D.K. How Do ChatGPT’s Benefit–Risk-coping paradoxes impact higher education in Taiwan and Indonesia? Comput. Educ. Artif. Intell. 2025, 8, 100412. [Google Scholar] [CrossRef]
- Abdaljaleel, M.; Barakat, M.; Alsanafi, M.; Salim, N.A.; Abazid, H.; Malaeb, D.; Mohammed, A.H.; Hassan, B.A.R.; Wayyes, A.M.; Farhan, S.S.; et al. A multinational study on the factors influencing university students’ attitudes and usage of ChatGPT. Sci. Rep. 2024, 14, 1983. [Google Scholar] [CrossRef]
- Alexander, L.; Moore, M. Deontological ethics. In The Stanford Encyclopedia of Philosophy; Winter 2024 Edition; Zalta, E.N., Nodelman, U., Eds.; The Metaphysics Research Lab, Department of Philosophy, Stanford University: Stanford, CA, USA, 2024; Available online: https://plato.stanford.edu/entries/ethics-deontological/ (accessed on 21 July 2025).
- Ramberg, J.; Modin, B. School effectiveness and student cheating: Do students’ grades and moral standards matter for this relationship? Soc. Psychol. Educ. 2019, 22, 517–538. [Google Scholar] [CrossRef]
- Barbosa, J. Higher education in ethics and deontology Student’s perspective survey. WSEAS Trans. Adv. Eng. Educ. 2024, 21, 128–138. [Google Scholar] [CrossRef]
- De Ruyter, D.; Schinkel, A. Ethics education at the university: From teaching an ethics module to education for the good life. Bordon Rev. De Pedagog. 2017, 69, 125–138. [Google Scholar] [CrossRef]
- Li, G.Y.; Fwu, B.-J.; Yang, T.-R.; Chen, Y. To Approach or to Avoid: The Quadripolar Model of Achievement Motivation Revisited in a Confucian-Heritage Context. Front. Psychol. 2023, 13, 1046775. [Google Scholar] [CrossRef]
- Shi, Z.; Yang, B.; Chen, B.; Chen, X.; Qu, Y. What Motivates Chinese Mothers’ Involvement in Adolescents’ Learning? Longitudinal Investigation on the Role of Mothers’ Expectations of Adolescents’ Family Obligations and Adolescents’ Academic Performance. Behav. Sci. 2023, 13, 632. [Google Scholar] [CrossRef]
- Vasquez-Salgado, Y.; Greenfield, P.M.; Guan, S.A. Home-School Cultural Value Mismatch: Antecedents and Consequences in a Multi-Ethnic Sample Transitioning to College. Front. Psychol. 2021, 12, 618479. [Google Scholar] [CrossRef]
- Shaw, D. The digital erosion of intellectual integrity: Why misuse of generative AI is worse than plagiarism. AI Soc. 2025. [Google Scholar] [CrossRef]
- Rudko, I.; Bashirpour Bonab, A. ChatGPT is incredible (at being average). Ethics Inf. Technol. 2025, 27, 36. [Google Scholar] [CrossRef]
- Pauly, M.V. The economics of moral hazard: Comment. Am. Econ. Rev. 1968, 58, 531–537. [Google Scholar]
- Suler, J. The online disinhibition effect. CyberPsychology Behav. 2004, 7, 321–326. [Google Scholar] [CrossRef] [PubMed]
- Lukeman, H. First year student essays in humanities and social sciences: The need for new paradigms. Aust. Int. J. Rural Educ. 1992, 2, 37–40. [Google Scholar] [CrossRef]
- Pedersen, M.J.; Nielsen, C.V. Improving Survey Response Rates in Online Panels: Effects of Low-Cost Incentives and Cost-Free Text Appeal Interventions. Soc. Sci. Comput. Rev. 2016, 34, 229–243. [Google Scholar] [CrossRef]
- Reinares-Lara, E.; Olarte-Pascual, C.; Pelegrín-Borondo, J. Do you want to be a cyborg? The moderating effect of ethics on neural implant acceptance. Comput. Hum. Behav. 2018, 85, 43–53. [Google Scholar] [CrossRef]
- Arias-Oliva, M.; Pelegrín-Borondo, J.; Almahameed, A.A.; Andrés-Sánchez, J.d. Ethical attitudes toward COVID-19 passports: Evidences from Spain. Int. J. Environ. Res. Public Health 2021, 18, 13098. [Google Scholar] [CrossRef]
- Hair, J.F.; Risher, J.J.; Sarstedt, M.; Ringle, C.M. When to use and how to report the results of PLS-SEM. Eur. Bus. Rev. 2019, 31, 2–24. [Google Scholar] [CrossRef]
- Kim, Y.; Blazquez, V.; Oh, T. Determinants of Generative AI System Adoption and Usage Behavior in Korean Companies: Applying the UTAUT Model. Behav. Sci. 2024, 14, 1035. [Google Scholar] [CrossRef]
- Liengaard, B.D.; Sharma, P.N.; Hult, G.T.M.; Jensen, M.B.; Sarstedt, M.; Hair, J.F.; Ringle, C.M. Prediction: Coveted, yet forsaken? Introducing a cross-validated predictive ability test in partial least squares path modeling. Decis. Sci. 2021, 52, 362–392. [Google Scholar] [CrossRef]
- Sharma, P.N.; Liengaard, B.D.; Hair, J.F.; Sarstedt, M.; Ringle, C.M. Predictive Model Assessment and Selection in Composite-based Modeling Using PLS-SEM: Extensions and Guidelines for Using CVPAT. Eur. J. Mark. 2023, 57, 1662–1677. [Google Scholar] [CrossRef]
- Dul, J.; Hauff, S.; Bouncken, R.B. Necessary condition analysis (NCA): Review of research topics and guidelines for good practice. Rev. Manag. Sci. 2023, 17, 683–714. [Google Scholar] [CrossRef]
- Cruz, C.A.; Shafer, W.E.; Strawser, J.R. A multidimensional analysis of tax practitioners’ ethical judgments. J. Bus. Ethics 2000, 24, 223–244. [Google Scholar] [CrossRef]
- Cohen, J.R.; Pant, L.W.; Sharp, D.J. An Examination of Differences in Ethical Decision-Making Between Canadian Business Students and Accounting Professionals. J. Bus. Ethics 2001, 30, 319–336. [Google Scholar] [CrossRef]
- Faul, F.; Erdfelder, E.; Buchner, A.; Lang, A.-G. Statistical power analyses using G*Power 3.1: Tests for correlation and regression analyses. Behav. Res. Methods 2009, 41, 1149–1160. [Google Scholar] [CrossRef] [PubMed]
- Dul, J. How to sample in necessary condition analysis (NCA). Eur. J. Int. Manag. 2024, 23, 1–12. [Google Scholar] [CrossRef]
- Nguyen, N.T.; Basuray, M.T.; Smith, W.P.; Kopka, D.; McCulloh, D. Moral issues and gender differences in ethical judgment using Reidenbach and Robin’s (1990) multidimensional ethics scale: Implications in teaching of business ethics. J. Bus. Ethics 2008, 77, 417–430. [Google Scholar] [CrossRef]
- Bedewy, D.; Gabriel, A. Examining perceptions of academic stress and its sources among university students: The Perception of Academic Stress Scale. Health Psychol. Open 2015, 2, 2055102915596714. [Google Scholar] [CrossRef] [PubMed]
- Leite, H. Artificial intelligence in higher education: Research notes from a longitudinal study. Technol. Forecast. Soc. Change 2025, 215, 124115. [Google Scholar] [CrossRef]


| Item | Mean | Median | SD | CVM | Factor Loading |
|---|---|---|---|---|---|
| USE (CA = 1, Rho_a = 1, Rho_c = 1, AVE = 1) | |||||
| USE: I will use Gen AI to improve an academic assay without making substantial changes | 6.94 | 8 | 2.78 | 0.94 | 1 |
| Moral equity (MEQU) (CA = 0.78, Rho_a = 0.83, Rho_c = 0.90, AVE = 0.82) | |||||
| MEQU1: Using GAI to polish an academic essay is fair | 7.71 | 8 | 2.15 | 0.76 | 0.93 |
| MEQU2: Using GAI to polish an academic essay is right | 7.04 | 7 | 2.01 | 0.43 | 0.88 |
| Relativism (RELA) (CA = 0.84, Rho_a = 0.87, Rho_c = 0.91, AVE = 0.76) | |||||
| RELA1: Using GAI to polish an academic essay is accepted by my peers | 7.83 | 8 | 1.96 | 0.78 | 0.90 |
| RELA2: Using GAI to polish an academic essay is accepted by my environment | 7.62 | 8 | 1.94 | 0.57 | 0.92 |
| RELA3: Using GAI to polish an academic essay is admissible by people whose opinion I respect | 6.33 | 7 | 2.57 | 0.50 | 0.80 |
| Consequentialism (CONS) (CA = 0.88, Rho_a = 0.89, Rho_c = 0.92, AVE = 0.74) | |||||
| CONS1: Using GAI to polish an academic essay will provide relevance and prestige | 8.05 | 8 | 1.96 | 1.00 | 0.89 |
| CONS2: Using GAI to polish an academic essay is rewarding | 6.60 | 7 | 2.62 | 0.451 | 0.81 |
| CONS3: Using GAI to polish an academic essay is useful | 8.40 | 9 | 1.87 | 1.39 | 0.88 |
| CONS4: Using GAI to polish an academic essay has a good cost–benefit balance | 7.29 | 8 | 2.07 | 0.595 | 0.87 |
| Deontology (DEONT) (CA = 0.87, Rho_a = 0.87, Rho_c = 0.94, AVE = 0.88) | |||||
| DEONT1: Using GAI to polish an academic essay respects a contract with my environment/society | 6.17 | 6 | 2.44 | 0.323 | 0.94 |
| DEONT2: Using GAI to polish an academic essay is aligned with what is expected of me as a student | 5.82 | 6 | 2.72 | 0.274 | 0.94 |
| USE | MEQU | RELA | CONS | DEONT | |
|---|---|---|---|---|---|
| USE | 1 | 0.669 | 0.54 | 0.747 | 0.505 |
| MEQU | 0.603 | 0.906 | 0.782 | 0.899 | 0.717 |
| RELA | 0.502 | 0.638 | 0.873 | 0.833 | 0.703 |
| CONS | 0.705 | 0.75 | 0.733 | 0.861 | 0.665 |
| DEONT | 0.471 | 0.576 | 0.592 | 0.576 | 0.94 |
| Path | β | SD | VIF | f2 | t-Ratio | p Value | Decision |
|---|---|---|---|---|---|---|---|
| H1: MEQU → USE | 0.16 | 0.121 | 2.499 | 0.021 | 1.32 | 0.187 | Rejection |
| H2: RELA → USE | −0.095 | 0.138 | 2.421 | 0.008 | 0.683 | 0.494 | Rejection |
| H3: CONS → USE | 0.603 | 0.124 | 3.082 | 0.244 | 4.848 | <0.001 | Acceptance |
| H4: DEONT → USE | 0.088 | 0.102 | 1.735 | 0.009 | 0.864 | 0.388 | Rejection |
| Benchmark | ML | BL | ALD | t-Ratio | p-Value |
|---|---|---|---|---|---|
| Indicator average | 4.25 | 7.86 | −3.60 | 4.57 | <0.001 |
| Parsimonious linear model | 4.25 | 4.45 | −0.19 | 0.77 | 0.443 |
| MEQU | RELA | CONS | DEONT | |
|---|---|---|---|---|
| Effect size (d) | 0.380 | 0.207 | 0.429 | 0.109 |
| Quantile of USE | MEQU | RELA | CONS | DEONT |
| 0 | NN | NN | NN | NN |
| 10 | 34.5 | 14.2 | 36.6 | 9.8 |
| 20 | 34.5 | 14.2 | 36.6 | 9.8 |
| 30 | 34.5 | 14.2 | 36.6 | 9.8 |
| 40 | 36.6 | 14.2 | 37.3 | 9.8 |
| 50 | 36.6 | 14.2 | 38.8 | 9.8 |
| 60 | 36.6 | 14.2 | 38.8 | 9.8 |
| 70 | 36.6 | 14.2 | 38.8 | 9.8 |
| 80 | 36.6 | 14.2 | 38.8 | 9.8 |
| 90 | 59.0 | 46.7 | 65.1 | 15.1 |
| 100 | 59.0 | 46.7 | 75.7 | 15.1 |
Disclaimer/Publisher’s Note: The statements, opinions and data contained in all publications are solely those of the individual author(s) and contributor(s) and not of MDPI and/or the editor(s). MDPI and/or the editor(s) disclaim responsibility for any injury to people or property resulting from any ideas, methods, instructions or products referred to in the content. |
© 2025 by the authors. Licensee MDPI, Basel, Switzerland. This article is an open access article distributed under the terms and conditions of the Creative Commons Attribution (CC BY) license (https://creativecommons.org/licenses/by/4.0/).
Share and Cite
Pérez-Portabella, A.; Arias-Oliva, M.; Andrés-Sánchez, J.d.; Padilla-Castillo, G. Generative Artificial Intelligence and the Editing of Academic Essays: Necessary and Sufficient Ethical Judgments in Its Use by Higher Education Students. Computers 2025, 14, 458. https://doi.org/10.3390/computers14110458
Pérez-Portabella A, Arias-Oliva M, Andrés-Sánchez Jd, Padilla-Castillo G. Generative Artificial Intelligence and the Editing of Academic Essays: Necessary and Sufficient Ethical Judgments in Its Use by Higher Education Students. Computers. 2025; 14(11):458. https://doi.org/10.3390/computers14110458
Chicago/Turabian StylePérez-Portabella, Antonio, Mario Arias-Oliva, Jorge de Andrés-Sánchez, and Graciela Padilla-Castillo. 2025. "Generative Artificial Intelligence and the Editing of Academic Essays: Necessary and Sufficient Ethical Judgments in Its Use by Higher Education Students" Computers 14, no. 11: 458. https://doi.org/10.3390/computers14110458
APA StylePérez-Portabella, A., Arias-Oliva, M., Andrés-Sánchez, J. d., & Padilla-Castillo, G. (2025). Generative Artificial Intelligence and the Editing of Academic Essays: Necessary and Sufficient Ethical Judgments in Its Use by Higher Education Students. Computers, 14(11), 458. https://doi.org/10.3390/computers14110458

