Bioinspired Blockchain Framework for Secure and Scalable Wireless Sensor Network Integration in Fog–Cloud Ecosystems
Abstract
1. Introduction
- Development of a bioinspired blockchain framework that leverages biological principles for enhanced security and resilience in WSN–fog–cloud ecosystems.
- Design of a lightweight AIS-based anomaly detection algorithm for real-time threat identification in resource-constrained environments.
- Introduction of a novel PoAI consensus mechanism to optimize blockchain validation for WSN nodes with limited resources.
2. Related Work
3. Proposed Work
- : number of sensor nodes in the WSN.
- : number of fog nodes.
- : number of cloud nodes.
- : data generated by the WSN at time t, measured in bits.
- : energy of node i at time t, where .
- : anomaly detection accuracy of node i.
- : resource availability (energy, computation) of node i.
- : connectivity strength of node i, representing its ability to communicate reliably.
- : weighting factors satisfying .
- : power consumed by node i at time t.
- : active time duration of node i during t.
3.1. Three-Tier Architecture
- : computation cost for anomaly detection at node i.
- : detection accuracy at node i, computed by using an AIS similarity metric.
- : suspicious activity score for .
- : normal activity baseline.
- : number of anomalous transactions in .
- : total transactions in .
3.2. AIS for Anomaly Detection
3.3. Proof of Adaptive Immunity
- : anomaly detection accuracy of node i at time t.
- : residual energy of node i.
- : communication reliability of node i, defined as the successful data transmission rate.
- : weighting factors satisfying .
| Algorithm 1: AIS for anomaly detection |
![]() |
3.4. Self-Healing Protocol
- Detect corruption by verifying the hash integrity of against stored metadata.
- Identify a majority-valid block from neighboring nodes:where is the set of neighboring fog nodes, and Sim is a similarity metric for block comparison.
- Replace with in the local blockchain.
- : suspicious activity score of aggregated data .
- : normal activity baseline.
3.5. Energy-Aware Communication Protocol
- Adaptive encryption: low-energy nodes use lightweight algorithms; high-energy nodes perform secure validation.
- Sleep scheduling: non-critical nodes enter sleep mode during low-activity periods to conserve energy.
- Cluster-based optimization: cluster heads manage communication and security operations for their member nodes.
3.6. Adaptability Across IoT Devices
4. Simulation Setup and Results
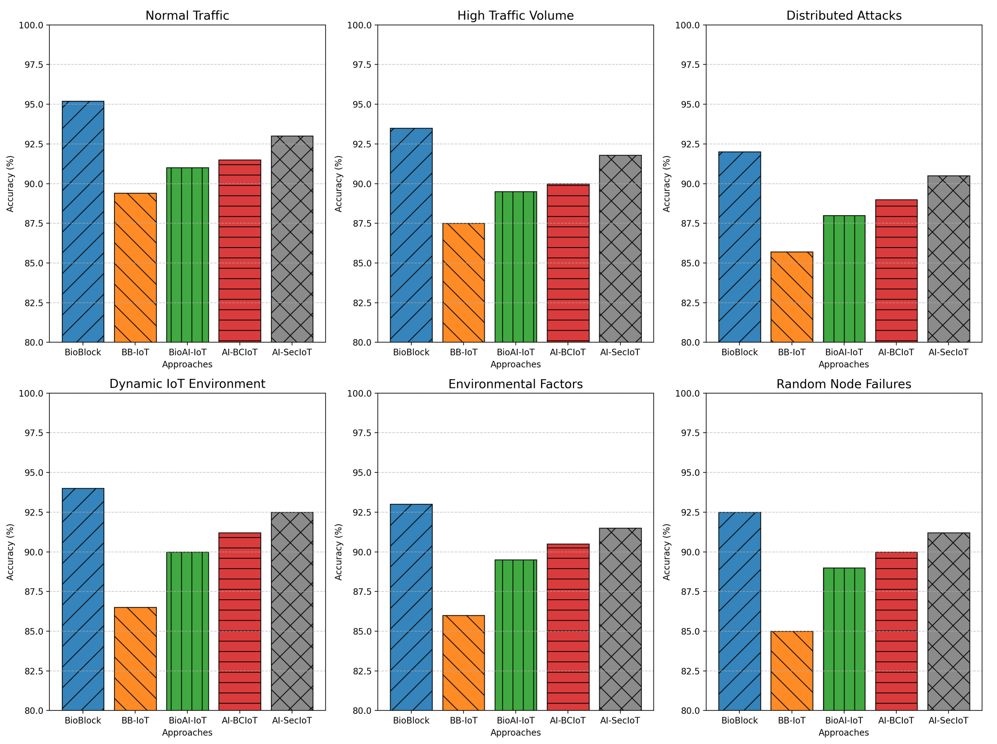
4.1. Anomaly Detection Accuracy
4.2. Energy Efficiency
4.3. Latency
4.4. Scalability
4.5. Comparison of State-of-the-Art Approaches
5. Conclusions
Author Contributions
Funding
Institutional Review Board Statement
Informed Consent Statement
Data Availability Statement
Acknowledgments
Conflicts of Interest
Abbreviations
| WSNs | Wireless Sensor Networks |
| IoT | Internet of Things |
| PoAI | Proof of Adaptive Immunity |
| AIS | Artificial Immune System |
References
- Hasan, M.R.; Alazab, A.; Joy, S.B.; Uddin, M.N.; Uddin, M.A.; Khraisat, A.; Gondal, I.; Urmi, W.F.; Talukder, M.A. Smart contract-based access control framework for internet of things devices. Computers 2023, 12, 240. [Google Scholar] [CrossRef]
- Ravi, B.; Varghese, B.; Murturi, I.; Donta, P.K.; Dustdar, S.; Dehury, C.K.; Srirama, S.N. Stochastic modeling for intelligent software-defined vehicular networks: A survey. Computers 2023, 12, 162. [Google Scholar] [CrossRef]
- Brockmann, S.; Schlippe, T. Optimizing Convolutional Neural Networks for Image Classification on Resource-Constrained Microcontroller Units. Computers 2024, 13, 173. [Google Scholar] [CrossRef]
- Ożadowicz, A. Generic IoT for Smart Buildings and Field-Level Automation—Challenges, Threats, Approaches, and Solutions. Computers 2024, 13, 45. [Google Scholar] [CrossRef]
- Morar, C.D.; Popescu, D.E. A Survey of Blockchain Applicability, Challenges, and Key Threats. Computers 2024, 13, 223. [Google Scholar] [CrossRef]
- Din, I.U.; Awan, K.A.; Almogren, A.; Kim, B.S. ShareTrust: Centralized trust management mechanism for trustworthy resource sharing in industrial Internet of Things. Comput. Electr. Eng. 2022, 100, 108013. [Google Scholar] [CrossRef]
- Din, I.U.; Bano, A.; Awan, K.A.; Almogren, A.; Altameem, A.; Guizani, M. LightTrust: Lightweight trust management for edge devices in industrial internet of things. IEEE Internet Things J. 2021, 10, 2776–2783. [Google Scholar] [CrossRef]
- Al Hayajneh, A.; Bhuiyan, M.Z.A.; McAndrew, I. A novel security protocol for wireless sensor networks with cooperative communication. Computers 2020, 9, 4. [Google Scholar] [CrossRef]
- Al-Abadi, A.A.J.; Mohamed, M.B.; Fakhfakh, A. Enhanced Random Forest Classifier with K-Means Clustering (ERF-KMC) for Detecting and Preventing Distributed-Denial-of-Service and Man-in-the-Middle Attacks in Internet-of-Medical-Things Networks. Computers 2023, 12, 262. [Google Scholar] [CrossRef]
- Awan, K.A.; Din, I.U.; Almogren, A.; Rodrigues, J.J. Privacy-Preserving Big Data Security for IoT with Federated Learning and Cryptography. IEEE Access 2023, 11, 120918–120934. [Google Scholar] [CrossRef]
- Donta, P.K.; Murturi, I.; Casamayor Pujol, V.; Sedlak, B.; Dustdar, S. Exploring the potential of distributed computing continuum systems. Computers 2023, 12, 198. [Google Scholar] [CrossRef]
- Soudani, A.; Alsabhan, M.; Almusallam, M. A Study on Energy Efficiency of a Distributed Processing Scheme for Image-Based Target Recognition for Internet of Multimedia Things. Computers 2023, 12, 99. [Google Scholar] [CrossRef]
- Obaidat, M.A.; Obeidat, S.; Holst, J.; Al Hayajneh, A.; Brown, J. A comprehensive and systematic survey on the internet of things: Security and privacy challenges, security frameworks, enabling technologies, threats, vulnerabilities and countermeasures. Computers 2020, 9, 44. [Google Scholar] [CrossRef]
- George, A.; Ravindran, A.; Mendieta, M.; Tabkhi, H. Mez: An adaptive messaging system for latency-sensitive multi-camera machine vision at the IoT edge. IEEE Access 2021, 9, 21457–21473. [Google Scholar] [CrossRef]
- Alatoun, K.; Matrouk, K.; Mohammed, M.A.; Nedoma, J.; Martinek, R.; Zmij, P. A novel low-latency and energy-efficient task scheduling framework for internet of medical things in an edge fog cloud system. Sensors 2022, 22, 5327. [Google Scholar] [CrossRef]
- Awan, K.A.; Din, I.U.; Almogren, A.; Rodrigues, J.J. Quantum-Assisted Intelligent Decision Support Systems for Trustworthy Renewable Energy Management in Consumer Devices. IEEE Trans. Consum. Electron. 2024. [Google Scholar] [CrossRef]
- Daousis, S.; Peladarinos, N.; Cheimaras, V.; Papageorgas, P.; Piromalis, D.D.; Munteanu, R.A. Overview of Protocols and Standards for Wireless Sensor Networks in Critical Infrastructures. Future Internet 2024, 16, 33. [Google Scholar] [CrossRef]
- Majid, M.; Habib, S.; Javed, A.R.; Rizwan, M.; Srivastava, G.; Gadekallu, T.R.; Lin, J.C.W. Applications of wireless sensor networks and internet of things frameworks in the industry revolution 4.0: A systematic literature review. Sensors 2022, 22, 2087. [Google Scholar] [CrossRef]
- Bukhowah, R.; Aljughaiman, A.; Rahman, M.H. Detection of DoS Attacks for IoT in Information-Centric Networks Using Machine Learning: Opportunities, Challenges, and Future Research Directions. Electronics 2024, 13, 1031. [Google Scholar] [CrossRef]
- Iftikhar, Z.; Javed, Y.; Zaidi, S.Y.A.; Shah, M.A.; Iqbal Khan, Z.; Mussadiq, S.; Abbasi, K. Privacy preservation in resource-constrained IoT devices using blockchain—A survey. Electronics 2021, 10, 1732. [Google Scholar] [CrossRef]
- Abosata, N.; Al-Rubaye, S.; Inalhan, G. Lightweight payload encryption-based authentication scheme for advanced metering infrastructure sensor networks. Sensors 2022, 22, 534. [Google Scholar] [CrossRef] [PubMed]
- Diro, A.; Chilamkurti, N.; Nguyen, V.D.; Heyne, W. A comprehensive study of anomaly detection schemes in IoT networks using machine learning algorithms. Sensors 2021, 21, 8320. [Google Scholar] [CrossRef] [PubMed]
- Bhumichai, D.; Smiliotopoulos, C.; Benton, R.; Kambourakis, G.; Damopoulos, D. The convergence of artificial intelligence and blockchain: The state of play and the road ahead. Information 2024, 15, 268. [Google Scholar] [CrossRef]
- Alghamdi, S.; Albeshri, A.; Alhusayni, A. Enabling a secure iot environment using a blockchain-based local-global consensus manager. Electronics 2023, 12, 3721. [Google Scholar] [CrossRef]
- Antal, C.; Cioara, T.; Anghel, I.; Antal, M.; Salomie, I. Distributed ledger technology review and decentralized applications development guidelines. Future Internet 2021, 13, 62. [Google Scholar] [CrossRef]
- Jakšić, Z.; Devi, S.; Jakšić, O.; Guha, K. A comprehensive review of bio-inspired optimization algorithms including applications in microelectronics and nanophotonics. Biomimetics 2023, 8, 278. [Google Scholar] [CrossRef]
- Alizadehsani, R.; Roshanzamir, M.; Izadi, N.H.; Gravina, R.; Kabir, H.D.; Nahavandi, D.; Alinejad-Rokny, H.; Khosravi, A.; Acharya, U.R.; Nahavandi, S.; et al. Swarm intelligence in internet of medical things: A review. Sensors 2023, 23, 1466. [Google Scholar] [CrossRef]
- Varshney, S.; Vats, P.; Choudhary, S.; Singh, D. A blockchain-based framework for IoT based secure identity management. In Proceedings of the 2022 2nd International Conference on Innovative Practices in Technology and Management (ICIPTM), Pradesh, India, 23–25 February 2022; IEEE: Piscataway, NJ, USA, 2022; Volume 2, pp. 227–234. [Google Scholar]
- Alroobaea, R.; Arul, R.; Rubaiee, S.; Alharithi, F.S.; Tariq, U.; Fan, X. AI-assisted bio-inspired algorithm for secure IoT communication networks. Clust. Comput. 2022, 25, 1805–1816. [Google Scholar] [CrossRef]
- Alharbi, S.; Attiah, A.; Alghazzawi, D. Integrating Blockchain with Artificial Intelligence to Secure IoT Networks: Future Trends. Sustainability 2022, 14, 16002. [Google Scholar] [CrossRef]
- Ruzbahani, A.M. AI-Protected Blockchain-based IoT environments: Harnessing the Future of Network Security and Privacy. arXiv 2024, arXiv:2405.13847. [Google Scholar]






| Approaches | Identified Limitations | Proposed BioBlock Solution |
|---|---|---|
| BB-IoT [28] | High computational overhead and limited scalability in resource-constrained WSNs. | Utilizes lightweight blockchain for secure and efficient data validation, scaling up to 500 nodes. |
| BioAI-IoT [29] | Limited protection against sophisticated attacks and suboptimal energy efficiency. | Incorporates Artificial Immune Systems (AISs) for enhanced anomaly detection and energy-aware communication protocols. |
| AI-BCIoT [30] | Computationally intensive consensus mechanisms and moderate scalability. | Introduces Proof of Adaptive Immunity (PoAI) for resource-efficient blockchain validation and improved scalability. |
| AI-SecIoT [31] | Limited adaptability to dynamic IoT scenarios and scalability. | Combines AISs with self-healing mechanisms for robust anomaly detection, achieving high scalability and adaptability. |
| BioBlock (Proposed) | Existing solutions fail to balance scalability, energy efficiency, and anomaly detection accuracy. | Combines AISs with bioinspired self-healing and PoAI, achieving 95.2% accuracy, 91.2% energy efficiency, and efficient scaling up to 500 nodes. |
| Approach | Anomaly Detection Accuracy (%) | Energy Efficiency (%) | Latency (ms) | Scalability (Max Nodes) |
|---|---|---|---|---|
| BioBlock | 95.2 | 91.2 | 15.2 | 500 |
| BB-IoT | 85.7–89.4 | 79.8 | 20.5–27.0 | 200 |
| BioAI-IoT | 88.0–91.0 | 81.5 | 18.0–24.5 | 300 |
| AI-BCIoT | 89.0–91.5 | 83.0 | 19.5–25.5 | 400 |
| AI-SecIoT | 89.0–93.0 | 85.5 | 17.5–23.0 | 450 |
Disclaimer/Publisher’s Note: The statements, opinions and data contained in all publications are solely those of the individual author(s) and contributor(s) and not of MDPI and/or the editor(s). MDPI and/or the editor(s) disclaim responsibility for any injury to people or property resulting from any ideas, methods, instructions or products referred to in the content. |
© 2024 by the authors. Licensee MDPI, Basel, Switzerland. This article is an open access article distributed under the terms and conditions of the Creative Commons Attribution (CC BY) license (https://creativecommons.org/licenses/by/4.0/).
Share and Cite
Rehman, A.; Alharbi, O. Bioinspired Blockchain Framework for Secure and Scalable Wireless Sensor Network Integration in Fog–Cloud Ecosystems. Computers 2025, 14, 3. https://doi.org/10.3390/computers14010003
Rehman A, Alharbi O. Bioinspired Blockchain Framework for Secure and Scalable Wireless Sensor Network Integration in Fog–Cloud Ecosystems. Computers. 2025; 14(1):3. https://doi.org/10.3390/computers14010003
Chicago/Turabian StyleRehman, Abdul, and Omar Alharbi. 2025. "Bioinspired Blockchain Framework for Secure and Scalable Wireless Sensor Network Integration in Fog–Cloud Ecosystems" Computers 14, no. 1: 3. https://doi.org/10.3390/computers14010003
APA StyleRehman, A., & Alharbi, O. (2025). Bioinspired Blockchain Framework for Secure and Scalable Wireless Sensor Network Integration in Fog–Cloud Ecosystems. Computers, 14(1), 3. https://doi.org/10.3390/computers14010003


