An IoT-Based Deep Learning Framework for Real-Time Detection of COVID-19 through Chest X-ray Images
Abstract
1. Introduction
1.1. Objective
- To present an IoMT based framework for early detection and control of COVID-19 in remote and rural areas.
- To introduce an IoMT framework based on the light-weight deep ensemble CNN architectures for COVID-19 diagnosis using chest X-ray images.
- To evaluate the performance of the proposed ensemble model using a benchmark chest X-ray image dataset.
1.2. Contributions
- An IoMT-based architecture is introduced for the early detection of COVID-19. The IoT devices (X-ray machine) first collect chest X-ray images and then directly feed into a deep learning architecture for the detection of COVID-19.
- Proposed a light-weight deep ensemble CNN architecture with fine-tuned models such as Xception, ResNet50, DenseNet201, MobileNet, and VGG19 to improve the training efficiency and guarantee significant model accuracy.
- Conducted extensive experiments based on the benchmark chest X-ray image dataset and have a comparative evaluation with other deep learning approaches for COVID-19 detection.
- Integrated the proposed framework with computer-aided diagnosis (CAD) systems (GUI tools/Mobile App) in order to automatically screen COVID-19 from low-contrast X-ray images. As a result, dependence on radiologists to detect COVID-19 is also reduced.
- The proposed framework can be used for detection of bacterial and viral pneumonia from chest X-ray images.
2. Related Work
3. Materials and Methods
3.1. Structure of the CNN
3.2. Loss Functions
3.3. X-ray Image Dataset
3.4. Pre-Processing and Data Augmentation
3.5. Detection of COVID-19 Using Deep Ensemble CNN (DECNN)
| Algorithm 1: COVID19_detection (Proposed deep CNN algorithm) |
| Input: Chest-X-ray images Output: The trained model that classifies the CXR images Steps 1. Import a set of pre-trained models E = {Xception, Resnet50, Dense201, MobileNetV2 and VGG16}. 2. For each model in E 3. Replace the last fully connected layer of each model by a layer of dimension (3 × 1) 4. for epochs = 1 to 20 5. model.fit (train_data, validation_data) 6. Return Class (COVID19/Normal/Pneumonia) |
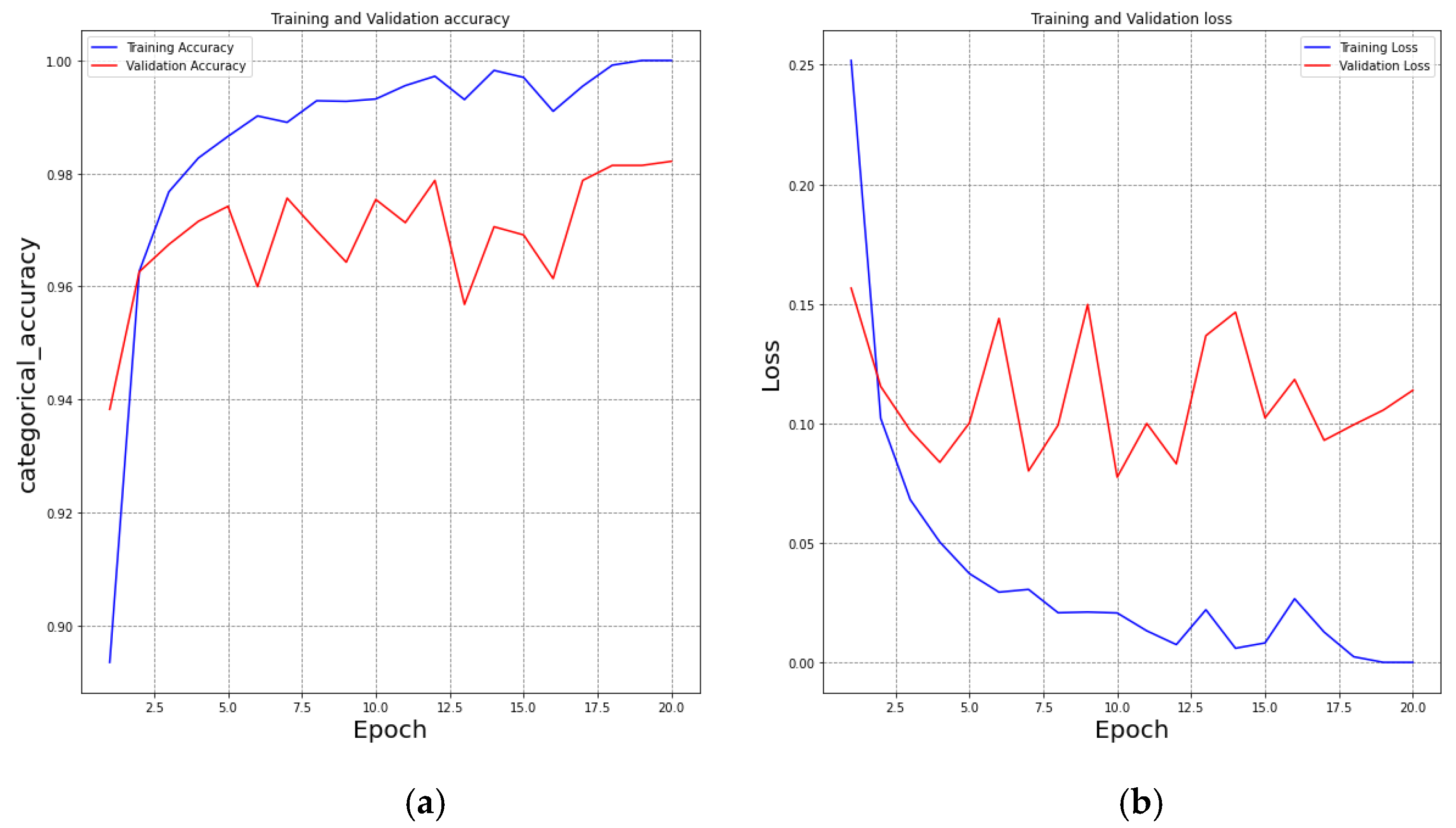
4. Rsults and Discussion
4.1. Tools Used
4.2. Performance Metrics
5. Conclusions
Author Contributions
Funding
Institutional Review Board Statement
Informed Consent Statement
Data Availability Statement
Conflicts of Interest
References
- Senapati, A.; Nag, A.; Mondal, A.; Maji, S. A novel framework for COVID-19 case prediction through piecewise regression in India. Int. J. Inf. Technol. 2021, 13, 41–48. [Google Scholar] [CrossRef] [PubMed]
- WHO Coronavirus (COVID-19) Dashboard. Available online: https://covid19.who.int/ (accessed on 29 August 2022).
- Sitaula, C.; Basnet, A.; Mainali, A.; Shahi, T.B. Deep Learning-Based Methods for Sentiment Analysis on Nepali COVID-19-Related Tweets. Comput. Intell. Neurosci. 2021, 2021, 2158184. [Google Scholar] [CrossRef] [PubMed]
- Shakhovska, N.; Fedushko, S.; Greguš, M.; Melnykova, N.; Shvorob, I.; Syerov, Y. Big Data analysis in development of personalized medical system. In Proceedings of the 10th International Conference on Emerging Ubiquitous Systems and Pervasive Networks (EUSPN 2019), Coimbra, Portugal, 4–7 November 2019; Volume 160, pp. 229–234. [Google Scholar] [CrossRef]
- Dong, Y.; Yao, Y.D. IoT platform for COVID-19 prevention and control: A survey. IEEE Access 2021, 9, 49929–49941. [Google Scholar] [CrossRef] [PubMed]
- Kakhi, K.; Alizadehsani, R.; Kabir, H.D.; Khosravi, A.; Nahavandi, S.; Acharya, U.R. The internet of medical things and artificial intelligence: Trends, challenges, and opportunities. Biocybern. Biomed. Eng 2022, 42, 749–771. [Google Scholar] [CrossRef]
- Vaishya, R.; Javaid, M.; Khan, I.H.; Haleem, A. Artificial Intelligence (AI) applications for COVID-19 pandemic. Diabetes Metab. Syndr. 2020, 14, 337–339. [Google Scholar] [CrossRef]
- Joyia, G.J.; Liaqat, R.M.; Farooq, A.; Rehman, S. Internet of medical things (IoMT): Applications, benefits and future challenges in healthcare domain. J. Commun. 2017, 12, 240–247. [Google Scholar] [CrossRef]
- Ahmed, I.; Ahmad, A.; Jeon, G. An IoT-based deep learning framework for early assessment of COVID-19. IEEE Internet Things J. 2020, 8, 15855–15862. [Google Scholar] [CrossRef]
- Shoeibi, A.; Khodatars, M.; Alizadehsani, R.; Ghassemi, N.; Jafari, M.; Moridian, P.; Khadem, A.; Sadeghi, D.; Hussain, S.; Zare, A.; et al. Automated detection and forecasting of COVID-19 using deep learning techniques: A review. arXiv 2020, arXiv:2007.10785. [Google Scholar]
- Premamayudu, B.; Bhuvaneswari, C. COVID-19 Automatic Detection from CT Images through Transfer Learning. Int. J. Image Graph. Signal Process. 2022, 14, 48–95. [Google Scholar] [CrossRef]
- Messerli, M.; Kluckert, T.; Knitel, M.; Rengier, F.; Warschkow, R.; Alkadhi, H.; Leschka, S.; Wildermuth, S.; Bauer, R.W. Computer-aided detection (CAD) of solid pulmonary nodules in chest x-ray equivalent ultralow dose chest CT-first in-vivo results at dose levels of 0.13 mSv. Eur. J. Radiol. 2016, 85, 2217–2224. [Google Scholar] [CrossRef]
- Singh, R.P.; Javaid, M.; Haleem, A.; Suman, R. Internet of things (IoT) applications to fight against COVID-19 pandemic. Diabetes Metab. Syndr. 2020, 14, 521–524. [Google Scholar] [CrossRef] [PubMed]
- Ahmed, I.; Jeon, G.; Chehri, A. An IoT-enabled smart health care system for screening of COVID-19 with multi layers features fusion and selection. Computing 2022, 1–18. [Google Scholar] [CrossRef]
- Santra, A.; Dutta, A. A Comprehensive Review of Machine Learning Techniques for Predicting the Outbreak of Covid-19 Cases. Int. J. Intell. Syst. Appl. (IJISA) 2022, 14, 40–53. [Google Scholar] [CrossRef]
- Tatkare, A.; Patil, H.; Salunke, T.; Warang, S.; Marathe, D. COVID-19 Patient Health Monitoring System. Int. J. Eng. Manuf. (IJEM) 2021, 11, 48–55. [Google Scholar] [CrossRef]
- Ahmad, S.; Chitkara, P.; Khan, F.N.; Kishan, A.; Alok, V.; Ramlal, A.; Mehta, S. Mobile technology solution for COVID-19: Surveillance and prevention. In Computational Intelligence Methods in COVID-19: Surveillance, Prevention, Prediction and Diagnosis; Springer: Singapore, 2021; pp. 79–108. [Google Scholar]
- Awotunde, J.B.; Jimoh, R.G.; Matiluko, O.E.; Gbadamosi, B.; Ajamu, G.J. Artificial Intelligence and an Edge-IoMT-Based System for Combating COVID-19 Pandemic. In Intelligent Interactive Multimedia Systems for e-Healthcare Applications; Springer: Singapore, 2022; pp. 191–214. [Google Scholar]
- Singh, R.P.; Javaid, M.; Haleem, A.; Vaishya, R.; Ali, S. Internet of Medical Things (IoMT) for orthopaedic in COVID-19 pandemic: Roles, challenges, and applications. J. Clin. Orthop. Trauma 2020, 11, 713–717. [Google Scholar] [CrossRef] [PubMed]
- Bhardwaj, V.; Joshi, R. Gaur AM. IoT-based smart health monitoring system for COVID-19. SN Comput. Sci. 2022, 3, 137. [Google Scholar] [CrossRef] [PubMed]
- Shibly, K.H.; Dey, S.K.; Islam, M.T.; Rahman, M.M. COVID faster R–CNN: A novel framework to Diagnose Novel Coronavirus Disease (COVID-19) in X-Ray images. Inform. Med. Unlocked 2020, 20, 100405. [Google Scholar] [CrossRef]
- Sitaula, C.; Hossain, M.B. Attention-based VGG-16 model for COVID-19 chest X-ray image classification. Appl. Intell. 2021, 51, 2850–2863. [Google Scholar] [CrossRef]
- Turkoglu, M. COVIDetectioNet: COVID-19 diagnosis system based on X-ray images using features selected from pre-learned deep features ensemble. Appl. Intell. 2021, 51, 1213–1226. [Google Scholar] [CrossRef]
- Narin, A.; Kaya, C.; Pamuk, Z. Automatic detection of coronavirus disease (COVID-19) using x-ray images and deep convolutional neural networks. Pattern Anal. Appl. 2021, 24, 1207–1220. [Google Scholar] [CrossRef]
- Singh, D.; Kumar, V.; Yadav, V.; Kaur, M. Deep neural network-based screening model for COVID-19-infected patients using chest X-ray images. Int. J. Pattern Recognit. Artif. Intell. 2021, 35, 2151004. [Google Scholar] [CrossRef]
- de Moura, J.; Novo, J.; Ortega, M. Fully automatic deep convolutional approaches for the analysis of COVID-19 using chest X-ray images. Appl. Soft Comput. 2022, 115, 108190. [Google Scholar] [CrossRef] [PubMed]
- Hussain, M.; Bird, J.J.; Faria, D.R. A study on CNN transfer learning for image classification. In UK Workshop on Computational Intelligence; Springer: Cham, Switzerland, 2018; pp. 191–202. [Google Scholar]
- COVID-19 Radiography Database. Available online: https://www.kaggle.com/datasets/tawsifurrahman/covid19-radiography-database (accessed on 29 August 2022).
- COVID-QU-Ex Dataset. Available online: https://www.kaggle.com/datasets/anasmohammedtahir/covidqu (accessed on 29 August 2022).
- Chest X-Rays-Pneumonia Detection Database. Available online: https://www.kaggle.com/datasets/wilhelmberghammer/chest-xrays-pneumonia-detection10.17632/rscbjbr9sj.2#file-f12eaf6d-6023-432f-acc9-80c9d7393433 (accessed on 1 November 2022).
- Jie, G.; Jiang, W.; Deng, X. Multi-scale deep feature learning network with bilateral filtering for SAR image classification. ISPRS J. Photogramm. Remote Sens. 2020, 167, 201–213. [Google Scholar]
- Chakraborty, S.; Paul, S.; Hasan, K.M. A transfer learning-based approach with deep CNN for COVID-19-and pneumonia-affected chest x-ray image classification. SN Comput. Sci. 2022, 3, 1–10. [Google Scholar] [CrossRef] [PubMed]
- Nasiri, H.; Hasani, S. Automated detection of COVID-19 cases from chest X-ray images using deep neural network and XGBoost. Radiography 2022, 28, 732–738. [Google Scholar] [CrossRef] [PubMed]
- Khanna, M.; Agarwal, A.; Singh, L.K.; Thawkar, S.; Khanna, A.; Gupta, D. Radiologist-level two novel and robust automated computer-aided prediction models for early detection of COVID-19 infection from chest X-ray images. Arab. J. Sci. Eng. 2021, 46, 1–33. [Google Scholar] [CrossRef]











| VGG16 | Resnet50 | MobileNetV2 | DenseNet201 | Xception | |
|---|---|---|---|---|---|
| Input Size | 224 × 224 | 224 × 224 | 224 × 224 | 224 × 224 | 299 × 299 |
| Depth | 16 | 50 | 53 | 201 | 71 |
| Year | 2014 | 2015 | 2018 | 2017 | 2017 |
| No. of Parameters | 135 M | 24 M | 2 M | 20 M | 22.9 M |
| Class | Precision | Recall | F1-Score |
|---|---|---|---|
| COVID-19 | 0.95 | 0.99 | 0.97 |
| Normal | 1.00 | 0.97 | 0.98 |
| Viral Pneumonia | 0.81 | 0.98 | 0.95 |
| Previous Study | Year | Type of Image | Model Used | Accuracy (%) | GUI Tool/Mobile App for Real Time Testing | ||
|---|---|---|---|---|---|---|---|
| 2 (COVID-19/Normal) | 3 (COVID-19/Normal/Pneumonia) | 3 (Bacterial Pneumonia, Normal, Viral Pneumonia) | |||||
| Narin et al. [24] | 2021 | Chest X-ray | Deep CNN ResNet-50 | 96.1 | × | × | No |
| Khanna et al. [34] | 2021 | Chest X-ray | Hybrid LSTM-CNN | 96.46 | × | × | No |
| Chakraborty et al. [32] | 2022 | Chest X-ray | Transfer Learning(VGG-19) | × | 97.11 | × | No |
| Nasiri and Hasani [33] | 2022 | Chest X-ray | DenseNet169 & XGBoost | 98.24 | 89.70 | × | No |
| Proposed System | 2022 | Chest X-ray | Deep ensemble CNN (Xception, ResNet50, DenseNet201, MobileNetV2 and VGG16) | 98.89 | 97.16 | 96.21 | Yes |
Disclaimer/Publisher’s Note: The statements, opinions and data contained in all publications are solely those of the individual author(s) and contributor(s) and not of MDPI and/or the editor(s). MDPI and/or the editor(s) disclaim responsibility for any injury to people or property resulting from any ideas, methods, instructions or products referred to in the content. |
© 2022 by the authors. Licensee MDPI, Basel, Switzerland. This article is an open access article distributed under the terms and conditions of the Creative Commons Attribution (CC BY) license (https://creativecommons.org/licenses/by/4.0/).
Share and Cite
Karmakar, M.; Choudhury, B.; Patowary, R.; Nag, A. An IoT-Based Deep Learning Framework for Real-Time Detection of COVID-19 through Chest X-ray Images. Computers 2023, 12, 8. https://doi.org/10.3390/computers12010008
Karmakar M, Choudhury B, Patowary R, Nag A. An IoT-Based Deep Learning Framework for Real-Time Detection of COVID-19 through Chest X-ray Images. Computers. 2023; 12(1):8. https://doi.org/10.3390/computers12010008
Chicago/Turabian StyleKarmakar, Mithun, Bikramjit Choudhury, Ranjan Patowary, and Amitava Nag. 2023. "An IoT-Based Deep Learning Framework for Real-Time Detection of COVID-19 through Chest X-ray Images" Computers 12, no. 1: 8. https://doi.org/10.3390/computers12010008
APA StyleKarmakar, M., Choudhury, B., Patowary, R., & Nag, A. (2023). An IoT-Based Deep Learning Framework for Real-Time Detection of COVID-19 through Chest X-ray Images. Computers, 12(1), 8. https://doi.org/10.3390/computers12010008

