Estimation of 5G Core and RAN End-to-End Delay through Gaussian Mixture Models
Abstract
1. Introduction
- The identification of a methodology to estimate the distribution of the E2E delay based on 5G data obtained over time. The GMM is adopted to estimate the PDF of the E2E delay of 5G networks, considering both standalone and non-standalone operation and different network subsystems such as the Radio Access Network (RAN) or the Core network;
- The influence of the number of GMM components and number of data samples on the estimation accuracy;
- The evaluation of the GMM’s computation time as a function of the number of model components as well as the number of samples used as input;
- An assessment of GMM’s accuracy versus its computation time, which allows the characterization of the tradeoff between both features.
2. Literature Review
3. Estimation Methodology
3.1. System Model
3.2. Estimation Process
- E-step: In the Expectation step, the expectation of the likelihood function is calculated based on the observed data in and the current model parameters at time instant m denoted by .
- M-step: In the Maximization step, the expectation of the likelihood function is used to compute new model parameters that maximize the conditional distribution given by the samples in and the parameters . The symbols m, and indicate consecutive iterations. In the E-step, is used to indicate the current model parameters. In the M-step, is used to determine the subsequent model parameter . Expanding the E-step and taking separate derivatives concerning the different parameters (M-step), we obtain the equations as followswhere
4. Evaluation Methodology
4.1. 5G Dataset
Testbed
- Network topology (SA/NSA);
- Delay measurements (RAN/Core);
- The stream direction (Download/Upload);
- The packet size (128/256/512/1024/2048 bytes);
- The packet rate (10/100/1000/10,000/100,000 packets per second).
4.2. Experiments
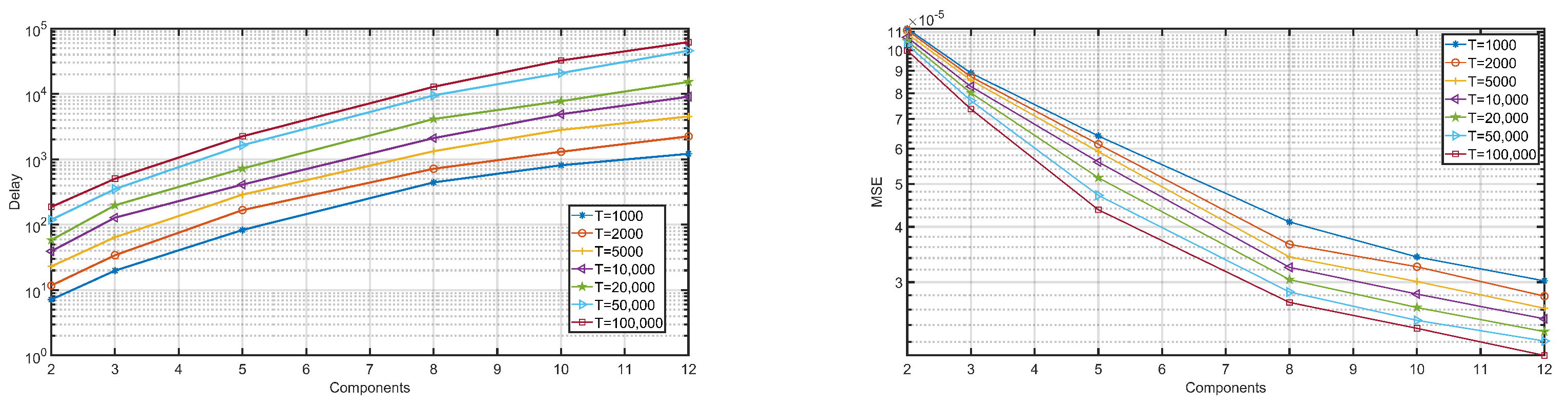
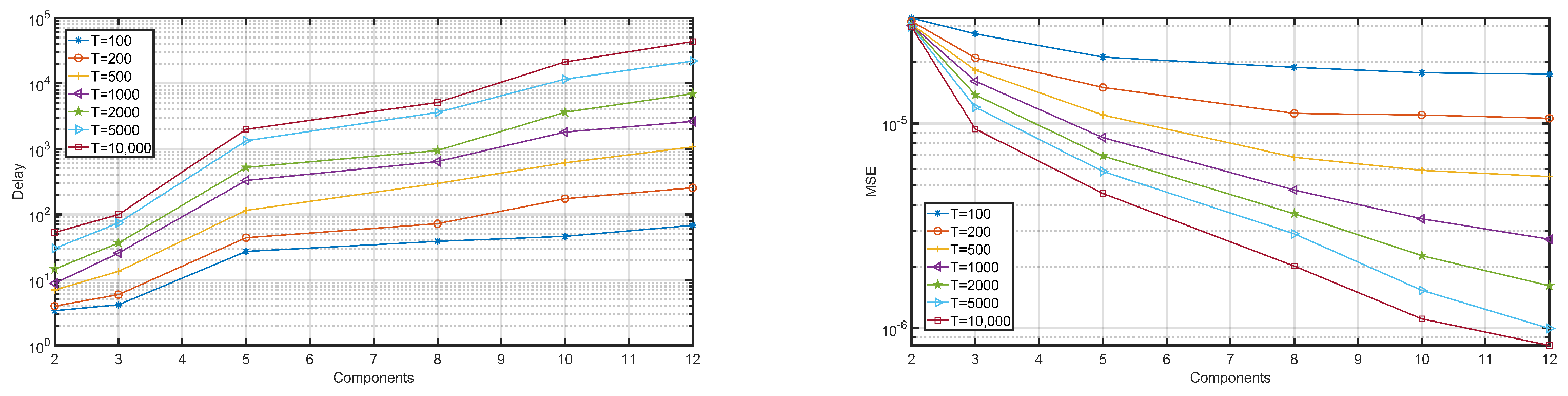
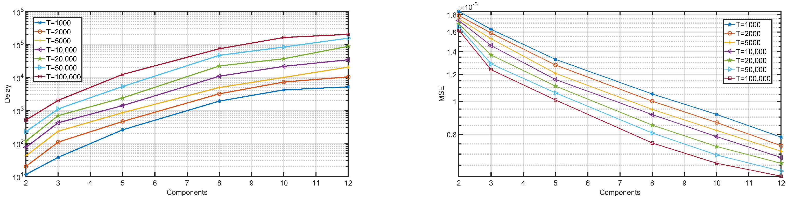
5. Performance Results
- By increasing the number of GMM components the number of parameters to estimate also increase, so the computing time. The computation time increases approximately exponentially with the number of components, although the estimation accuracy increases in a smaller scale;
- By increasing the number of components in all scenarios, the average number of EM iterations for reaching the convergence threshold also increases. Due to the sensitivity of this parameter with regards to the difference of estimates, EM takes more iterations in the scenarios with larger deviations in the E2E delay samples;
- The number of samples causes a tremendous impact on the estimation computation time. Although the accuracy of the estimation is significantly reduced for a smaller amount of samples, the computation time can be significantly reduced as the number of GMM components increases;
- Although a linear relation between the MSE and the number of GMM components is not found, they always exhibit an inverse trend;
- Although there is no linear relation between computation time and the number of GMM components, they always exhibit a direct trend.
6. Conclusions
Author Contributions
Funding
Institutional Review Board Statement
Informed Consent Statement
Data Availability Statement
Conflicts of Interest
References
- Hung, M. Leading the IoT Gartner Insights on How to Lead in a Connected World. Gart. Res. 2017, 1, 1–29. [Google Scholar]
- Analyst, A.O.P. Nokia Ava Network Data Analytics Function. Available online: https://www.nokia.com/networks/bss-oss/nwdaf/index.php (accessed on 28 November 2022).
- Pandey, K.; Arya, R. Robust Distributed Power Control with Resource Allocation in D2D Communication Network for 5G-IoT Communication System. Int. J. Comput. Netw. Inf. Secur. 2022, 14, 73–81. [Google Scholar] [CrossRef]
- Afolabi, I.; Taleb, T.; Samdanis, K.; Ksentini, A.; Flinck, H. Network Slicing and Softwarization: A Survey on Principles, Enabling Technologies, and Solutions. IEEE Commun. Surv. Tutor. 2018, 20, 2429–2453. [Google Scholar] [CrossRef]
- Banavalikar, B.G. Quality of Service (QoS) for Multi-Tenant-Aware Overlay Virtual Networks. US Patent 10,177,936, 28 March 2014. [Google Scholar]
- Yao, J.; Pang, S.; Rodrigues, J.J.P.C.; Lv, Z.; Wang, S. Performance Evaluation of MPTCP Incast Based on Queuing Network. IEEE Trans. Green Commun. Netw. 2022, 6, 695–703. [Google Scholar] [CrossRef]
- Ye, Y.; Lee, B.; Flynn, R.; Xu, J.; Fang, G.; Qiao, Y. Delay-Based Network Utility Maximization Modelling for Congestion Control in Named Data Networking. IEEE/ACM Trans. Netw. 2021, 29, 2184–2197. [Google Scholar] [CrossRef]
- Diez, L.; Alba, A.M.; Kellerer, W.; Agüero, R. Flexible Functional Split and Fronthaul Delay: A Queuing-Based Model. IEEE Access 2021, 9, 151049–151066. [Google Scholar] [CrossRef]
- Adamuz-Hinojosa, O.; Sciancalepore, V.; Ameigeiras, P.; Lopez-Soler, J.M.; Costa-Pérez, X. A Stochastic Network Calculus (SNC)-Based Model for Planning B5G URLLC RAN Slices. IEEE Trans. Wirel. Commun. 2022. [Google Scholar] [CrossRef]
- Boroujeny, M.K.; Mark, B.L. Design of a Stochastic Traffic Regulator for End-to-End Network Delay Guarantees. IEEE/ACM Trans. Netw. 2022, 1–13. [Google Scholar] [CrossRef]
- Mei, M.; Yao, M.; Yang, Q.; Qin, M.; Jing, Z.; Kwak, K.S.; Rao, R.R. On the Statistical Delay Performance of Large-Scale IoT Networks. IEEE Trans. Veh. Technol. 2022, 71, 8967–8979. [Google Scholar] [CrossRef]
- Chinchilla-Romero, L.; Prados-Garzon, J.; Ameigeiras, P.; Muñoz, P.; Lopez-Soler, J.M. 5G Infrastructure Network Slicing: E2E Mean Delay Model and Effectiveness Assessment to Reduce Downtimes in Industry 4.0. Sensors 2021, 22, 229. [Google Scholar] [CrossRef]
- Ye, Q.; Zhuang, W.; Li, X.; Rao, J. End-to-End Delay Modeling for Embedded VNF Chains in 5G Core Networks. IEEE Internet Things J. 2019, 6, 692–704. [Google Scholar] [CrossRef]
- McLachlan, G.J.; Lee, S.X.; Rathnayake, S.I. Finite Mixture Models. Annu. Rev. Stat. Its Appl. 2019, 6, 355–378. [Google Scholar] [CrossRef]
- Reynolds, D.A. Gaussian Mixture Models. Encycl. Biom. 2009, 741, 659–663. [Google Scholar]
- Moon, T.K. The Expectation-Maximization Algorithm. IEEE Signal Process. Mag. 1996, 13, 47–60. [Google Scholar] [CrossRef]
- Fadhil, D.; Oliveira, R. A Novel Packet End-to-End Delay Estimation Method for Heterogeneous Networks. IEEE Access 2022, 10, 71387–71397. [Google Scholar] [CrossRef]
- Yang, M.S.; Lai, C.Y.; Lin, C.Y. A Robust EM Clustering Algorithm for Gaussian Mixture Models. Pattern Recognit. 2012, 45, 3950–3961. [Google Scholar] [CrossRef]
- Lawrence, E.; Michailidis, G.; Nair, V. Maximum Likelihood Estimation of Internal Network Link Delay Distributions Using Multicast Measurements. In Proceedings of the 37th Conference on Information Sciences and Systems, Baltimore, MD, USA, 12–14 March 2003. [Google Scholar]
- Orellana, R.; Carvajal, R.; Agüero, J.C. Maximum Likelihood Infinite Mixture Distribution Estimation Utilizing Finite Gaussian Mixtures. IFAC-PapersOnLine 2018, 51, 706–711. [Google Scholar] [CrossRef]
- Barazandeh, B.; Razaviyayn, M. On the Behavior of the Expectation-Maximization Algorithm for Mixture Models. In Proceedings of the 2018 IEEE Global Conference on Signal and Information Processing (GlobalSIP), Anaheim, CA, USA, 26–29 November 2018; pp. 61–65. [Google Scholar]
- Huang, T.; Peng, H.; Zhang, K. Model Selection for Gaussian Mixture Models. Stat. Sin. 2017, 147–169. [Google Scholar] [CrossRef]
- Mistry, D.; Joshi, S.; Agrawal, N. A Novel Jitter Separation Method Based on Gaussian Mixture Model. In Proceedings of the 2015 International Conference on Pervasive Computing (ICPC), Pune, India, 8–10 January 2015; pp. 1–4. [Google Scholar]
- Plasse, J.H. The EM Algorithm in Multivariate Gaussian Mixture Models Using Anderson Acceleration. Ph.D. Thesis, Worcester Polytechnic Institute, Worcester, MA, USA, 2013. [Google Scholar]
- O’Hagan, A.; Murphy, T.B.; Gormley, I.C. Computational Aspects of Fitting Mixture Models Via the Expectation-Maximization Algorithm. Comput. Stat. Data Anal. 2012, 56, 3843–3864. [Google Scholar] [CrossRef]
- Rahman, M.L.; Zhang, J.A.; Huang, X.; Guo, Y.J.; Lu, Z. Gaussian-Mixture-Model Based Clutter Suppression in Perceptive Mobile Networks. IEEE Commun. Lett. 2021, 25, 152–156. [Google Scholar] [CrossRef]
- Cerroni, W.; Foschini, L.; Grabarnik, G.Y.; Shwartz, L.; Tortonesi, M. Estimating Delay Times Between Cloud Datacenters: A Pragmatic Modeling Approach. IEEE Commun. Lett. 2018, 22, 526–529. [Google Scholar] [CrossRef]
- Rischke, J.; Sossalla, P.; Itting, S.; Fitzek, F.H.P.; Reisslein, M. 5G Campus Networks: A First Measurement Study. IEEE Access 2021, 9, 121786–121803. [Google Scholar] [CrossRef]
- Fidge, C.J. Timestamps in Message-Passing Systems that Preserve the Partial Ordering. In Proceedings of the 11th Australian Computer Science Conference, Perth, Australia, 3–5 February 1988. [Google Scholar]
- Manivannan, D.; Singhal, M. Asynchronous Recovery Without Using Vector Timestamps. J. Parallel Distrib. Comput. 2002, 62, 1695–1728. [Google Scholar] [CrossRef]














| Scenarios | Topology | Delay Type | Stream Direction | Packet Size [bytes] | Packet Rate [packets/s] |
|---|---|---|---|---|---|
| Scenario 1 | NSA | Core | Download | 1024 | 10 |
| Scenario 2 | NSA | Core | Upload | 256 | 10 |
| Scenario 3 | SA | RAN | Download | 1024 | 100 |
| Scenario 4 | SA | RAN | Upload | 128 | 100 |
| Scenarios | Number of Components | Number of EM Iterations | MSE |
|---|---|---|---|
| Scenario 1 | 2 | 39 | |
| 3 | 86 | ||
| 5 | 347 | ||
| 8 | 1853 | ||
| 10 | 2488 | ||
| 12 | 4901 | ||
| Scenario 2 | 2 | 32 | |
| 3 | 67 | ||
| 5 | 256 | ||
| 8 | 1215 | ||
| 10 | 1729 | ||
| 12 | 3243 | ||
| Scenario 3 | 2 | 42 | |
| 3 | 67 | ||
| 5 | 389 | ||
| 8 | 2978 | ||
| 10 | 3297 | ||
| 12 | 5243 | ||
| Scenario 4 | 2 | 26 | |
| 3 | 44 | ||
| 5 | 266 | ||
| 8 | 1259 | ||
| 10 | 1192 | ||
| 12 | 2055 |
| 7.30 | 8.40 | 14.03 | 19.17 | 35.65 | 86.55 | 138.81 | |
| 8.60 | 11.34 | 23.01 | 38.61 | 89.32 | 151.40 | 263.9 | |
| 16.51 | 35.88 | 138.13 | 320.57 | 739.98 | 1172.55 | 1689.99 | |
| 53.22 | 188.04 | 634.55 | 1113.33 | 2990.64 | 7290.56 | 17,214.17 | |
| 79.05 | 288.03 | 1195.34 | 2224.74 | 4079.62 | 13,574.61 | 38,325.33 | |
| 99.84 | 340.71 | 1765.19 | 2554.38 | 6580.25 | 25,759.61 | 60,819.72 |
| 3.40 | 3.98 | 7.02 | 8.89 | 14.62 | 30.28 | 53.07 | |
| 4.16 | 5.95 | 13.50 | 25.70 | 36.63 | 74.17 | 99.52 | |
| 27.21 | 44.13 | 115.34 | 330.02 | 520.93 | 1329.19 | 1992.44 | |
| 38.78 | 72.12 | 297.23 | 641.12 | 944.55 | 3603.70 | 5117.84 | |
| 46.36 | 173.71 | 614.38 | 1808.22 | 3627.43 | 1162.09 | 21,256.1 | |
| 67.97 | 254.89 | 1073.23 | 2630.99 | 6973.03 | 21,931.42 | 43,523.65 |
| 11.30 | 19.74 | 41.43 | 74.97 | 115.30 | 222.79 | 507.28 | |
| 37.26 | 107.95 | 231.27 | 417.43 | 688.12 | 1100.44 | 1997.72 | |
| 255.25 | 456.99 | 847.52 | 1383.48 | 2369.19 | 5254.35 | 12,277.65 | |
| 1900.31 | 3160.08 | 4914.20 | 10,821.52 | 22,088.32 | 46,589.28 | 73,665.23 | |
| 4155.29 | 7202.56 | 9949.18 | 21,533.01 | 36,724.32 | 83,311.76 | 161,840.42 | |
| 5152.08 | 10,340.62 | 20,460.15 | 34,144.78 | 87,300.42 | 154,495.97 | 201,126.33 |
| 7.16 | 11.74 | 23.08 | 39.26 | 58.30 | 119.10 | 187.09 | |
| 19.38 | 34.16 | 64.28 | 112.24 | 198.35 | 351.52 | 505.20 | |
| 93.09 | 167.41 | 288.08 | 410.98 | 722.98 | 1643.57 | 2250.46 | |
| 444.28 | 716.64 | 1332.91 | 2109.27 | 4136.47 | 9490.86 | 12,865.59 | |
| 811.68 | 1307.54 | 2820.18 | 4903.51 | 7762.40 | 22,874.94 | 32,506.24 | |
| 1215.34 | 2248.68 | 4520.36 | 9075.60 | 15,267.56 | 48,855.78 | 61,951.31 |
Publisher’s Note: MDPI stays neutral with regard to jurisdictional claims in published maps and institutional affiliations. |
© 2022 by the authors. Licensee MDPI, Basel, Switzerland. This article is an open access article distributed under the terms and conditions of the Creative Commons Attribution (CC BY) license (https://creativecommons.org/licenses/by/4.0/).
Share and Cite
Fadhil, D.; Oliveira, R. Estimation of 5G Core and RAN End-to-End Delay through Gaussian Mixture Models. Computers 2022, 11, 184. https://doi.org/10.3390/computers11120184
Fadhil D, Oliveira R. Estimation of 5G Core and RAN End-to-End Delay through Gaussian Mixture Models. Computers. 2022; 11(12):184. https://doi.org/10.3390/computers11120184
Chicago/Turabian StyleFadhil, Diyar, and Rodolfo Oliveira. 2022. "Estimation of 5G Core and RAN End-to-End Delay through Gaussian Mixture Models" Computers 11, no. 12: 184. https://doi.org/10.3390/computers11120184
APA StyleFadhil, D., & Oliveira, R. (2022). Estimation of 5G Core and RAN End-to-End Delay through Gaussian Mixture Models. Computers, 11(12), 184. https://doi.org/10.3390/computers11120184

