Pathological Stage and Grade Determine the Impact of Focal Versus Extensive Positive Surgical Margins After Radical Prostatectomy
Simple Summary
Abstract
1. Introduction
2. Patients and Methods
Statistical Analyses
3. Results
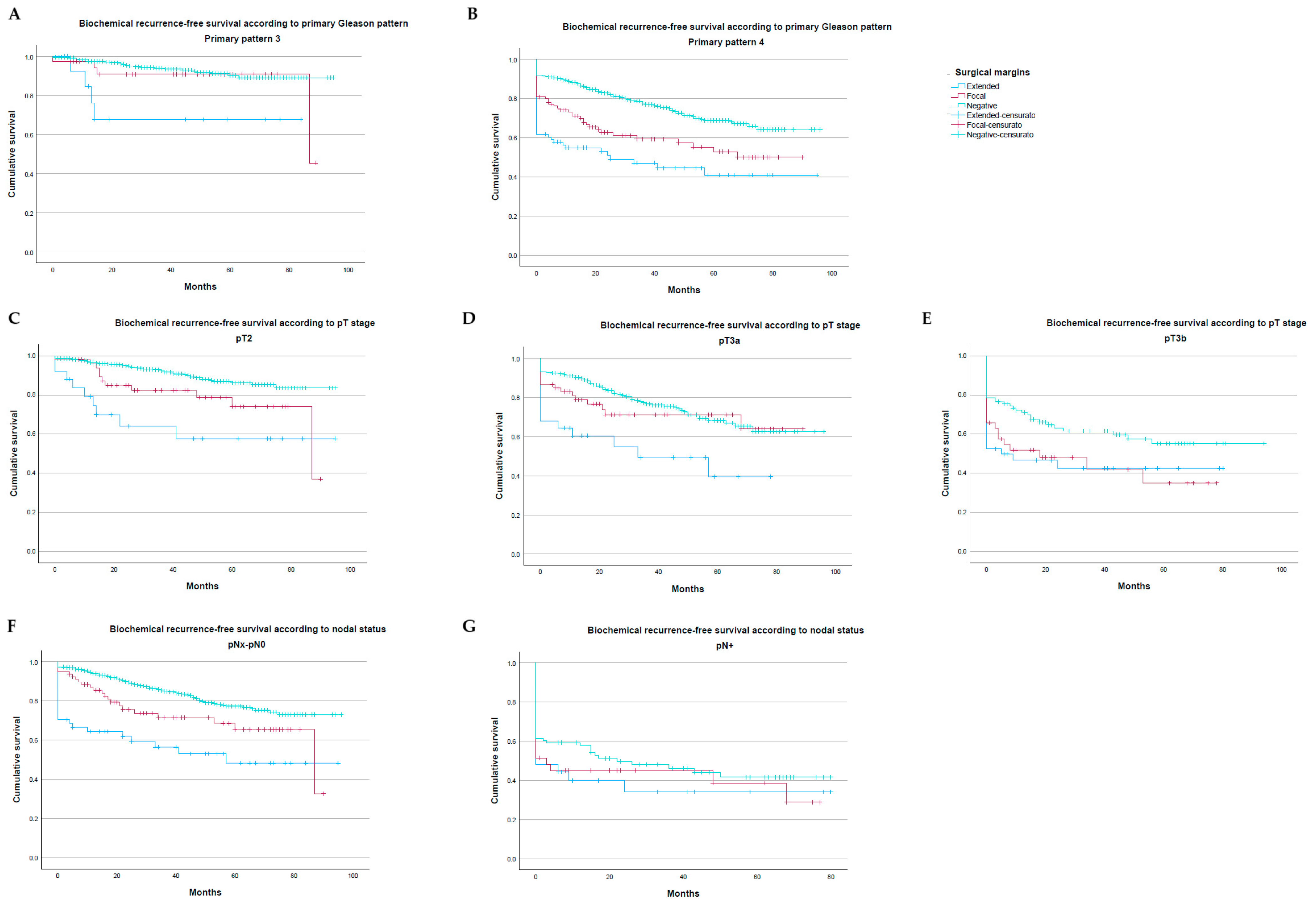
3.1. Kaplan–Meier Analyses: Effect Modification by Grade and Stage
3.2. Cox Regression Analyses: Predictors of BCR
4. Discussion
5. Conclusions
Supplementary Materials
Author Contributions
Funding
Institutional Review Board Statement
Informed Consent Statement
Data Availability Statement
Conflicts of Interest
References
- Dason, S.; Vertosick, E.A.; Udo, K.; Sjoberg, D.D.; Vickers, A.J.; Al-Ahmadie, H.; Chen, Y.; Gopalan, A.; Sirintrapun, S.J.; Tickoo, S.K.; et al. Clinical utility of subclassifying positive surgical margins at radical prostatectomy. BJU Int. 2022, 129, 194–200. [Google Scholar] [CrossRef] [PubMed]
- Martini, A.; Gandaglia, G.; Fossati, N.; Scuderi, S.; Bravi, C.A.; Mazzone, E.; Stabile, A.; Scarcella, S.; Robesti, D.; Barletta, F.; et al. Defining Clinically Meaningful Positive Surgical Margins in Patients Undergoing Radical Prostatectomy for Localised Prostate Cancer. Eur. Urol. Oncol. 2021, 4, 42–48. [Google Scholar] [CrossRef] [PubMed]
- Beckmann, K.R.; O’Callaghan, M.E.; Vincent, A.D.; Moretti, K.L.; Brook, N.R. Clinical outcomes for men with positive surgical margins after radical prostatectomy—Results from the South Australian Prostate Cancer Clinical Outcomes Collaborative community-based registry. Asian J. Urol. 2023, 10, 502–511. [Google Scholar] [CrossRef] [PubMed]
- Matti, B.; Reeves, F.; Prouse, M.; Zargar-Shoshtari, K. The impact of the extent and location of positive surgical margins on the risk of biochemical recurrence following radical prostatectomy in men with Gleason 7 prostate cancers. Prostate 2021, 81, 1428–1434. [Google Scholar] [CrossRef] [PubMed]
- Oderda, M.; Marquis, A.; Sasia, A.; Calleris, G.; Dematteis, A.; D’Agate, D.; Falcone, M.; Lavagno, F.; Marra, G.; Montefusco, G.; et al. Lateral versus anterior approach for bladder neck dissection during robot-assisted radical prostatectomy: A pair-matched analysis to evaluate urinary continence and surgical margins. Minim. Invasive Ther. Allied Technol. 2025, 34, 8–14. [Google Scholar] [CrossRef] [PubMed]
- Carbonara, U.; Adamou, C.; Carbin, D.D.; Papadopoulos, D.; Fragkoulis, G.; Whiting, D.; Kusuma, M.; Hicks, J.; Moschonas, D.; Patil, K.; et al. Predictors of biochemical recurrence after robot-assisted radical prostatectomy: Single-centre analysis. Cent. Eur. J. Urol. 2024, 77, 189–195. [Google Scholar] [CrossRef]
- Blas, L.; Shiota, M.; Takamatsu, D.; Kinoshita, F.; Matsumoto, T.; Lee, K.; Monji, K.; Kashiwagi, E.; Inokuchi, J.; Eto, M. Novel nomogram to predict biochemical recurrence-free survival after radical prostatectomy. World J. Urol. 2023, 41, 43–50. [Google Scholar] [CrossRef] [PubMed]
- Remmers, S.; Hollemans, E.; Nieboer, D.; Luiting, H.B.; van Leenders, G.J.L.H.; Helleman, J.; Roobol, M.J. Improving the prediction of biochemical recurrence after radical prostatectomy with the addition of detailed pathology of the positive surgical margin and cribriform growth. Ann. Diagn. Pathol. 2022, 56, 151842. [Google Scholar] [CrossRef] [PubMed]
- Guo, H.; Zhang, L.; Shao, Y.; An, K.; Hu, C.; Liang, X.; Wang, D. The impact of positive surgical margin parameters and pathological stage on biochemical recurrence after radical prostatectomy: A systematic review and meta-analysis. PLoS ONE 2024, 19, e0301653. [Google Scholar] [CrossRef] [PubMed]
- Falagario, U.G.; Abbadi, A.; Remmers, S.; Björnebo, L.; Bogdanovic, D.; Martini, A.; Valdman, A.; Carrieri, G.; Menon, M.; Akre, O.; et al. Biochemical Recurrence and Risk of Mortality Following Radiotherapy or Radical Prostatectomy. JAMA Netw. Open 2023, 6, e2332900. [Google Scholar] [CrossRef] [PubMed]
- Hoeh, B.; Preisser, F.; Zattoni, F.; Kretschmer, A.; Westhofen, T.; Olivier, J.; Soeterik, T.F.; van den Bergh, R.C.; Mandel, P.; Graefen, M.; et al. Risk of Biochemical Recurrence and Metastasis in Prostate Cancer Patients Treated with Radical Prostatectomy After a 10-year Disease-free Interval. Eur. Urol. Oncol. 2025, 8, 372–379. [Google Scholar] [CrossRef] [PubMed]
- Vale, C.L.; Fisher, D.; Kneebone, A.; Parker, C.; Pearse, M.; Richaud, P.; Sargos, P.; Sydes, M.R.; Brawley, C.; Brihoum, M.; et al. Adjuvant or early salvage radiotherapy for the treatment of localised and locally advanced prostate cancer: A prospectively planned systematic review and meta-analysis of aggregate data. Lancet 2020, 396, 1422–1431. [Google Scholar] [CrossRef] [PubMed]
- Tilki, D.; Chen, M.-H.; Wu, J.; Huland, H.; Graefen, M.; Wiegel, T.; Böhmer, D.; Mohamad, O.; Cowan, J.E.; Feng, F.Y.; et al. Adjuvant Versus Early Salvage Radiation Therapy for Men at High Risk for Recurrence Following Radical Prostatectomy for Prostate Cancer and the Risk of Death. J. Clin. Oncol. 2021, 39, 2284–2293. [Google Scholar] [CrossRef] [PubMed]

| Characteristic | Overall | Focal PSM | Extensive PSM | Negative Surgical Margins | p |
|---|---|---|---|---|---|
| Number of patients | 1258 | 147 (11.7%) | 91 (7.2%) | 1020 (81.2%) | - |
| Age at surgery, yr, median (IQR) | 68 (63–73) | 69 (64–73) | 68 (63–74) | 68 (63–73) | 0.76 |
| Preoperative PSA, ng/mL, median (IQR) | 6.9 (5.1–10.0) | 8.0 (5.8–13.6) | 9.6 (6.0–17.0) | 6.7 (5.0–9.4) | <0.001 |
| Prostate volume, cc, median (IQR) | 41.0 (30.5–55.3) | 40.1 (30.0–53.0) | 42.0 (29.0–56.7) | 41.0 (30.6–56.0) | 0.58 |
| Positive DRE, n (%) | 602 (47.9) | 74 (50.3) | 55 (60.4) | 473 (46.4) | 0.03 |
| Extracapsular extension at MRI, n (%) | 319 (28.1) | 30 (24.0) | 27 (35.5) | 262 (28.1) | 0.21 |
| Seminal vesicle involvement at MRI, n (%) | 191 (16.8) | 18 (14.4) | 18 (23.7) | 155 (16.6) | 0.21 |
| cN+ at preoperative imaging, n (%) | 54 (4.8) | 9 (7.2) | 10 (13.2) | 35 (3.7) | <0.001 |
| Biopsy ISUP grade, n (%) | <0.001 | ||||
| -1 | 100 (7.9) | 10 (6.8) | 9 (9.9) | 81 (7.9) | |
| -2 | 522 (41.5) | 52 (35.4) | 20 (22) | 450 (44.1) | |
| -3 | 377 (30.0) | 46 (31.3) | 28 (30.8) | 303 (29.7) | |
| -4 | 181 (14.4) | 32 (21.8) | 14 (15.4) | 135 (13.2) | |
| -5 | 78 (6.2) | 7 (4.8) | 20 (22) | 51 (5.0) | |
| Neoadjuvant therapy, n (%) | 48 (3.8) | 10 (6.8) | 7 (7.8) | 31 (3.1) | 0.01 |
| Characteristic | Overall | Focal PSM | Extensive PSM | Negative Surgical Margins | p |
|---|---|---|---|---|---|
| Number of patients | 1258 | 147 (11.7%) | 91 (7.2%) | 1020 (81.2%) | - |
| Nerve sparing, n (%) | <0.001 | ||||
| -Monolateral | 443 (35.2) | 42 (28.6) | 22 (24.2) | 379 (37.2) | |
| -Bilateral | 424 (33.7) | 37 (25.2) | 22 (24.2) | 365 (35.8) | |
| Pathologic ISUP grade, n (%) | <0.001 | ||||
| -1 | 10 (0.8) | 2 (1.4) | 0 (0) | 8 (0.8) | |
| -2 | 485 (38.6) | 35 (23.8) | 15 (16.5) | 435 (42.7) | |
| -3 | 521 (41.4) | 69 (46.9) | 34 (37.4) | 418 (41.0) | |
| -4 | 141 (11.2) | 24 (16.3) | 16 (17.6) | 101 (9.9) | |
| -5 | 100 (8.0) | 17 (11.6) | 26 (28.6) | 57 (5.6) | |
| Pathologic stage, n (%) | <0.001 | ||||
| -pT2 | 709 (56.4) | 50 (34.0) | 25 (27.5) | 634 (62.2) | |
| -pT3a | 375 (29.8) | 59 (40.1) | 28 (30.8) | 288 (28.2) | |
| -pT3b | 174 (13.8) | 38 (25.9) | 38 (41.8) | 98 (9.6) | |
| Pelvic lymph node dissection, n (%) | 866 (68.8) | 112 (76.2) | 78 (85.7) | 676 (66.2) | <0.001 |
| pN1, n (%) * | 146 (16.6) | 33 (29.5) | 27 (34.6) | 86 (12.5) | <0.001 |
| Nodes removed, n, median (IQR) * | 20 (14–26) | 20 (15–27) | 20 (14–27) | 20 (14–25) | 0.53 |
| Nodes positive, n, median (IQR) * | 0 (0–0) | 0 (0–1) | 0 (0–1) | 0 (0–0) | <0.001 |
| Oncological outcomes | |||||
| Biochemical persistence, n (%) | 101 (8.0) | 22 (15.0) | 29 (31.9) | 50 (4.9) | <0.001 |
| Biochemical recurrence, n (%) | 255 (20.3) | 48 (32.7) | 44 (48.4) | 163 (16.0) | <0.001 |
| Biochemical recurrence-free survival, mean, months (95% CI) | 74.9 (72.5–77.2) | 60.6 (53.9–67.2) | 48.5 (38.7–58.2) | 79.2 (76.8–81.5) | <0.001 |
| Cancer-specific mortality, n (%) | 13 (1.0) | 6 (4.1) | 3 (3.3) | 4 (0.4) | <0.001 |
| Cancer specific survival, mean, months (95%CI) | 94.6 (93.7–95.5) | 86.0 (82.8–89.1) | 91.4 (87.4–95.4) | 95.2 (94.3–96.1) | <0.001 |
| Follow-up, months, median (IQR) | 39 (17–60) | 39 (19–68) | 41 (17–63) | 39 (16–59) | 0.92 |
| Postoperative treatments | |||||
| Adjuvant RT, n (%) | 95 (7.6) | 26 (17.9) | 24 (26.4) | 45 (4.4) | <0.001 |
| Adjuvant ADT, n (%) | 110 (8.8) | 23 (16.0) | 24 (26.7) | 63 (6.2) | |
| Salvage RT, n (%) | 120 (9.6) | 24 (16.6) | 17 (18.7) | 79 (7.7) | <0.001 |
| Salvage ADT, n (%) | 63 (5.0) | 13 (9.0) | 14 (15.6) | 36 (3.5) | |
| Univariate Analysis | Multivariate Analysis Model 1 | Multivariate Analysis Model 2 | ||||
|---|---|---|---|---|---|---|
| Variable | HR (95%CI) | p | HR (95%CI) | p | HR (95%CI) | p |
| Age | 1.02 (1.00–1.04) | 0.02 | 1.02 (1.00–1.05) | 0.053 | - | - |
| PSA | 1.01 (1.01–1.01) | <0.001 | 1.00 (0.99–1.02) | 0.16 | - | - |
| ISUP grade | ||||||
| -<3 | Ref. | Ref. | Ref. | |||
| -≥3 | 4.39 (3.08–6.24) | <0.001 | 1.46 (0.84–2.56) | 0.17 | 1.70 (1.04–2.77) | 0.03 |
| pT stage | ||||||
| -pT2 | Ref. | Ref. | Ref. | |||
| -pT3a | 2.66 (1.97–3.60) | <0.001 | 1.46 (0.84–2.56) | 0.07 | 1.92 (1.35–2.74) | <0.001 |
| -pT3b | 5.65 (4.12–7.76) | <0.001 | 1.41 (0.83–2.40) | 0.20 | 2.20 (1.44–3.34) | <0.001 |
| PSM | ||||||
| -negative | Ref. | Ref. | Ref. | |||
| -focal | 2.22 (1.61–3.07) | <0.001 | 1.13 (0.72–1.78) | 0.58 | 1.44 (1.01–2.04) | 0.04 |
| -extensive | 3.86 (2.76–5.39) | <0.001 | 2.22 (1.35–3.65) | 0.002 | 1.94 (1.34–2.81) | <0.001 |
| pN stage | ||||||
| -pNx-N0 | Ref. | Ref. | Ref. | |||
| -pN1 | 4.03 (3.06–5.30) | <0.001 | 3.40 (2.23–5.19) | <0.001 | 2.45 (1.78–3.37) | <0.001 |
| Largest tumour diameter at MRI | 1.06 (1.04–1.07) | <0.001 | 1.01 (0.99–1.04) | 0.14 | - | - |
Disclaimer/Publisher’s Note: The statements, opinions and data contained in all publications are solely those of the individual author(s) and contributor(s) and not of MDPI and/or the editor(s). MDPI and/or the editor(s) disclaim responsibility for any injury to people or property resulting from any ideas, methods, instructions or products referred to in the content. |
© 2026 by the authors. Licensee MDPI, Basel, Switzerland. This article is an open access article distributed under the terms and conditions of the Creative Commons Attribution (CC BY) license.
Share and Cite
Oderda, M.; Calvo, D.; Calleris, G.; Iorio, G.C.; Marquis, A.; Marra, G.; Merani, U.; Sasia, A.; Venturi, A.; Gontero, P. Pathological Stage and Grade Determine the Impact of Focal Versus Extensive Positive Surgical Margins After Radical Prostatectomy. Cancers 2026, 18, 1123. https://doi.org/10.3390/cancers18071123
Oderda M, Calvo D, Calleris G, Iorio GC, Marquis A, Marra G, Merani U, Sasia A, Venturi A, Gontero P. Pathological Stage and Grade Determine the Impact of Focal Versus Extensive Positive Surgical Margins After Radical Prostatectomy. Cancers. 2026; 18(7):1123. https://doi.org/10.3390/cancers18071123
Chicago/Turabian StyleOderda, Marco, Daniele Calvo, Giorgio Calleris, Giuseppe Carlo Iorio, Alessandro Marquis, Giancarlo Marra, Umberto Merani, Alberto Sasia, Alessio Venturi, and Paolo Gontero. 2026. "Pathological Stage and Grade Determine the Impact of Focal Versus Extensive Positive Surgical Margins After Radical Prostatectomy" Cancers 18, no. 7: 1123. https://doi.org/10.3390/cancers18071123
APA StyleOderda, M., Calvo, D., Calleris, G., Iorio, G. C., Marquis, A., Marra, G., Merani, U., Sasia, A., Venturi, A., & Gontero, P. (2026). Pathological Stage and Grade Determine the Impact of Focal Versus Extensive Positive Surgical Margins After Radical Prostatectomy. Cancers, 18(7), 1123. https://doi.org/10.3390/cancers18071123

