Immune-Related Adverse Events in Patients with Melanoma Treated with B-RAF/MEK Target Therapy: Occurrence and Circulating Immune Cell Analysis
Simple Summary
Abstract
1. Introduction
2. Materials and Methods
3. Results
3.1. Clinical Characteristics of the Enrolled Patients
3.2. iBRAF/iMEK-Mediated Toxicity in Patients with Melanoma
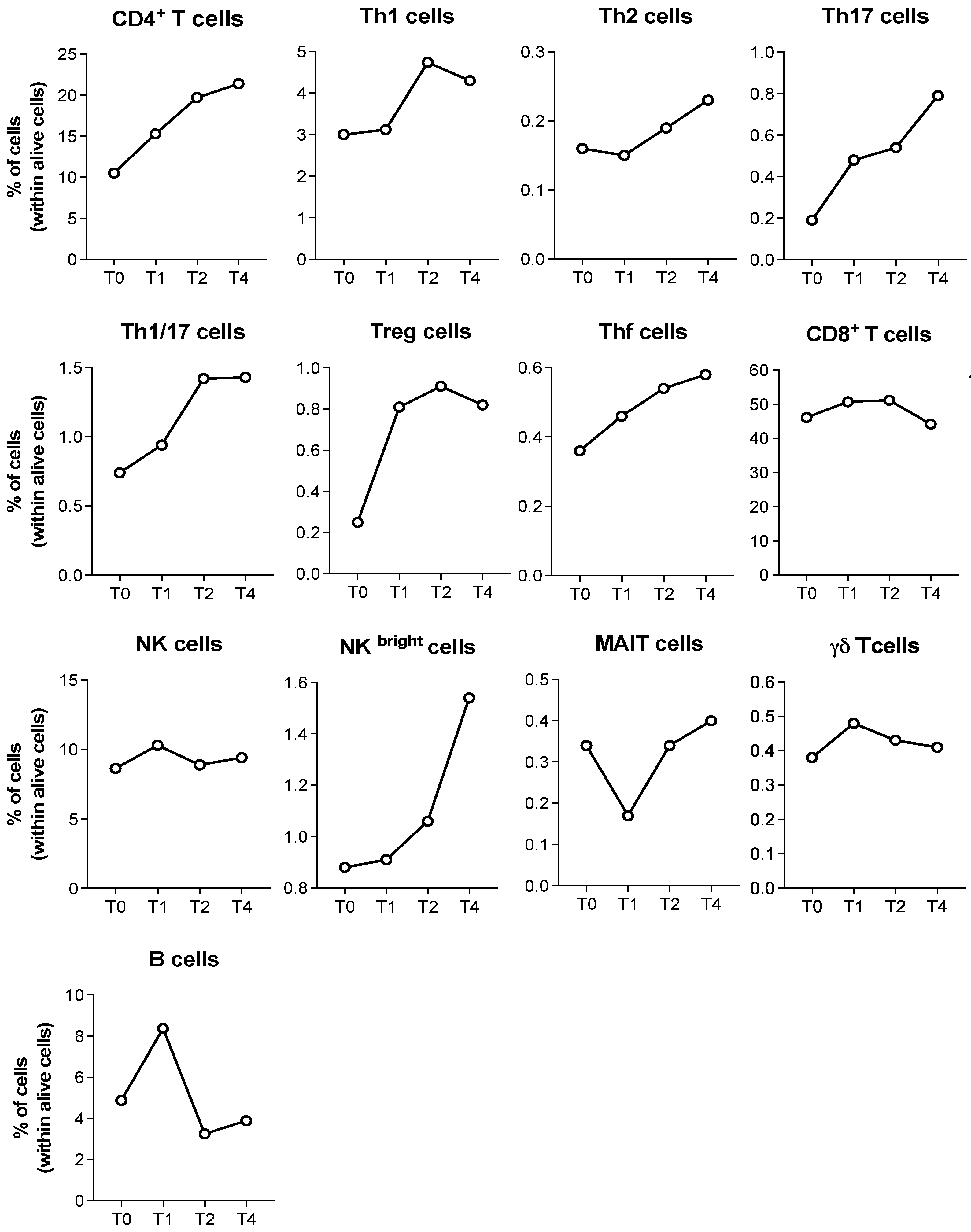
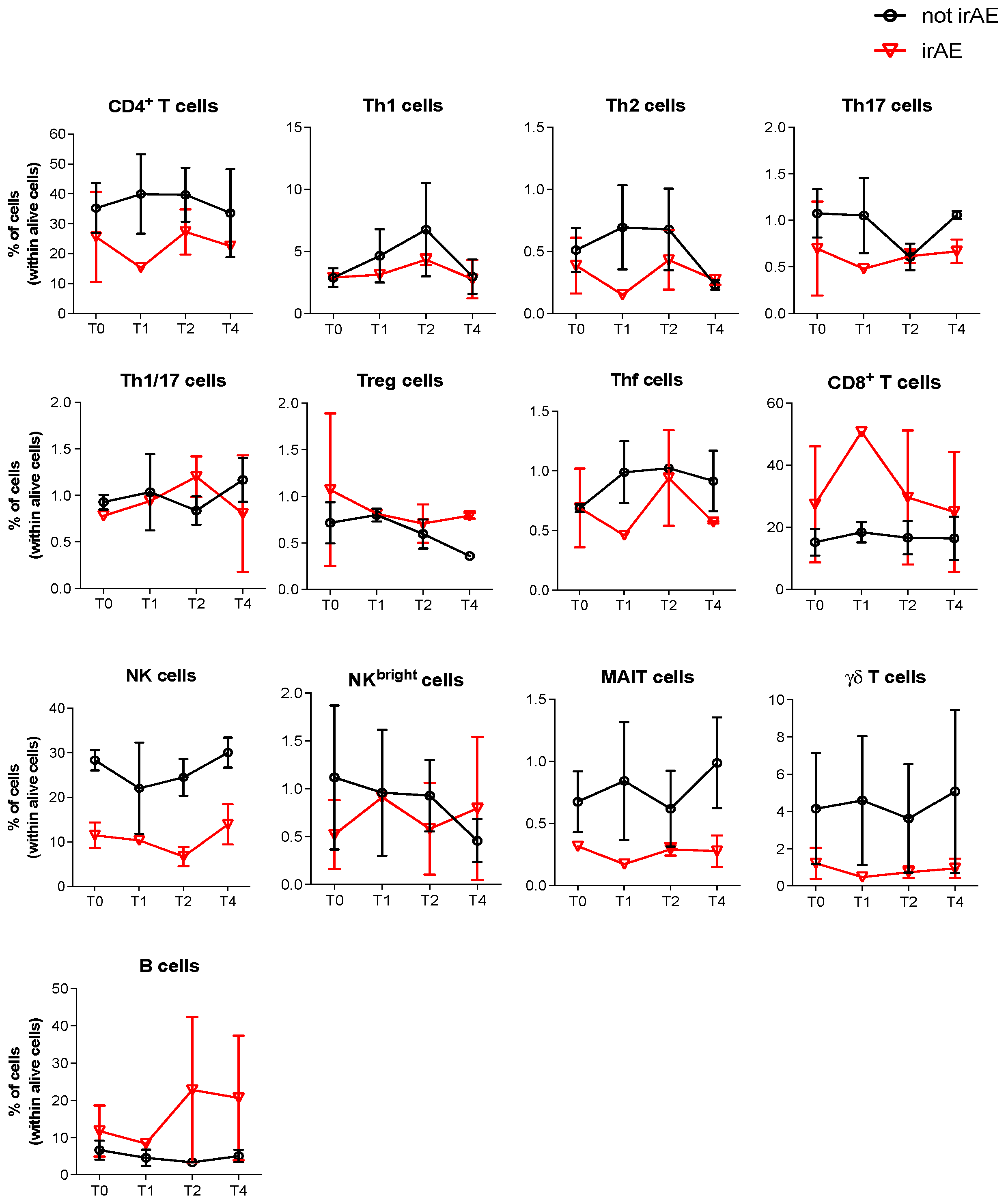
3.3. Analyses of the Circulating Immune Cell Subsets in iBRAF/iMEK-Treated Patients with irAEs
4. Discussion
5. Conclusions
Supplementary Materials
Author Contributions
Funding
Institutional Review Board Statement
Informed Consent Statement
Data Availability Statement
Acknowledgments
Conflicts of Interest
Abbreviations
| MEK | Mitogen-Activated Protein Kinase |
| PD1 | Programmed Death-1 Protein |
| CTLA-4 | Cytotoxic T-Lymphocyte-Associated Protein 4 |
References
- Joshi, U.M.; Kashani-Sabet, M.; Kirkwood, J.M. Cutaneous Melanoma: A Review. JAMA 2025, 334, 2113–2125. [Google Scholar] [CrossRef] [PubMed]
- Imani, S.; Roozitalab, G.; Emadi, M.; Moradi, A.; Behzadi, P.; Jabbarzadeh Kaboli, P. The evolution of BRAF-targeted therapies in melanoma: Overcoming hurdles and unleashing novel strategies. Front. Oncol. 2024, 14, 1504142. [Google Scholar] [CrossRef]
- Patel, M.; Eckburg, A.; Gantiwala, S.; Hart, Z.; Dein, J.; Lam, K.; Puri, N. Resistance to Molecularly Targeted Therapies in Melanoma. Cancers 2021, 13, 1115. [Google Scholar] [CrossRef] [PubMed]
- Long, G.V.; Stroyakovskiy, D.; Gogas, H.; Levchenko, E.; de Braud, F.; Larkin, J.; Garbe, C.; Jouary, T.; Hauschild, A.; Grob, J.J.; et al. Combined BRAF and MEK inhibition versus BRAF inhibition alone in melanoma. N. Engl. J. Med. 2014, 371, 1877–1888. [Google Scholar] [CrossRef] [PubMed]
- Robert, C.; Karaszewska, B.; Schachter, J.; Rutkowski, P.; Mackiewicz, A.; Stroiakovski, D.; Lichinitser, M.; Dummer, R.; Grange, F.; Mortier, L.; et al. Improved overall survival in melanoma with combined dabrafenib and trametinib. N. Engl. J. Med. 2015, 372, 30–39. [Google Scholar] [CrossRef]
- Dummer, R.; Ascierto, P.A.; Gogas, H.J.; Arance, A.; Mandala, M.; Liszkay, G.; Garbe, C.; Schadendorf, D.; Krajsova, I.; Gutzmer, R.; et al. Encorafenib plus binimetinib versus vemurafenib or encorafenib in patients with BRAF-mutant melanoma (COLUMBUS): A multicentre, open-label, randomised phase 3 trial. Lancet. Oncol. 2018, 19, 603–615. [Google Scholar] [CrossRef]
- Robert, C.; Grob, J.J.; Stroyakovskiy, D.; Karaszewska, B.; Hauschild, A.; Levchenko, E.; Chiarion Sileni, V.; Schachter, J.; Garbe, C.; Bondarenko, I.; et al. Five-Year Outcomes with Dabrafenib plus Trametinib in Metastatic Melanoma. N. Engl. J. Med. 2019, 381, 626–636. [Google Scholar] [CrossRef]
- Goodman, R.S.; Di Guardo, L.; Maurichi, A.; Kirwin, B.; Khattak, A.; Vanella, V.; Lee, J.; Lawless, A.; Czapla, J.; Spagnoletti, A.; et al. Long-term outcomes and persistent toxicities following BRAF/MEK inhibitor therapy for advanced melanoma. Eur. J. Cancer 2023, 194, 113354. [Google Scholar] [CrossRef]
- Mullins, K.R.; Guo, J.J. Trends of adverse event reports associated with BRAF and MEK inhibitors and combinations: A retrospective disproportionality analysis using the FDA adverse event reporting system database from 2012 to 2021. Melanoma Res. 2026, 36, 58–63. [Google Scholar] [CrossRef]
- Mezi, S.; Botticelli, A.; Scagnoli, S.; Pomati, G.; Fiscon, G.; De Galitiis, F.; Di Pietro, F.R.; Verkhovskaia, S.; Amirhassankhani, S.; Pisegna, S.; et al. The Impact of Drug-Drug Interactions on the Toxicity Profile of Combined Treatment with BRAF and MEK Inhibitors in Patients with BRAF-Mutated Metastatic Melanoma. Cancers 2023, 15, 4587. [Google Scholar] [CrossRef]
- Meirson, T.; Asher, N.; Bomze, D.; Markel, G. Safety of BRAF + MEK Inhibitor Combinations: Severe Adverse Event Evaluation. Cancers 2020, 12, 1650. [Google Scholar] [CrossRef]
- Long, G.V.; Hauschild, A.; Santinami, M.; Atkinson, V.; Mandalà, M.; Chiarion-Sileni, V.; Larkin, J.; Nyakas, M.; Dutriaux, C.; Haydon, A.; et al. Adjuvant Dabrafenib plus Trametinib in Stage III BRAF-Mutated Melanoma. N. Engl. J. Med. 2017, 377, 1813–1823. [Google Scholar] [CrossRef]
- Manzano, J.L.; Martin-Liberal, J.; Fernández-Morales, L.A.; Benítez, G.; Medina Martínez, J.; Quindós, M.; García-Castaño, A.; Fernández, O.; Simo, R.V.; Majem, M.; et al. Adjuvant dabrafenib and trametinib for patients with resected BRAF -mutated melanoma: DESCRIBE-AD real-world retrospective observational study. Melanoma Res. 2023, 33, 388–397. [Google Scholar] [CrossRef]
- Ben-Betzalel, G.; Baruch, E.N.; Boursi, B.; Steinberg-Silman, Y.; Asher, N.; Shapira-Frommer, R.; Schachter, J.; Markel, G. Possible immune adverse events as predictors of durable response to BRAF inhibitors in patients with BRAF V600-mutant metastatic melanoma. Eur. J. Cancer 2018, 101, 229–235. [Google Scholar] [CrossRef]
- Morgese, F.; Cognigni, V.; Scortichini, L.; Ranallo, N.; Lunerti, V.; Migliore, A.; Tronconi, F.; Berardi, R. Potential immune-related adverse events during dabrafenib and trametinib treatment: A case series of patients with BRAF V600E melanoma. Mol. Clin. Oncol. 2022, 18, 2. [Google Scholar] [CrossRef]
- Kuske, M.; Westphal, D.; Wehner, R.; Schmitz, M.; Beissert, S.; Praetorius, C.; Meier, F. Immunomodulatory effects of BRAF and MEK inhibitors: Implications for Melanoma therapy. Pharmacol. Res. 2018, 136, 151–159. [Google Scholar] [CrossRef]
- Boni, A.; Cogdill, A.P.; Dang, P.; Udayakumar, D.; Njauw, C.N.J.; Sloss, C.M.; Ferrone, C.R.; Flaherty, K.T.; Lawrence, D.P.; Fisher, D.E.; et al. Selective BRAFV600E inhibition enhances T-cell recognition of melanoma without affecting lymphocyte function. Cancer Res. 2010, 70, 5213–5219. [Google Scholar] [CrossRef]
- Atay, C.; Kwak, T.; Lavilla-Alonso, S.; Donthireddy, L.; Richards, A.; Moberg, V.; Pilon-Thomas, S.; Schell, M.; Messina, J.L.; Rebecca, V.W.; et al. BRAF Targeting Sensitizes Resistant Melanoma to Cytotoxic T Cells. Clin. Cancer Res. 2019, 25, 2783–2794. [Google Scholar] [CrossRef] [PubMed]
- Callahan, M.K.; Masters, G.; Pratilas, C.A.; Ariyan, C.; Katz, J.; Kitano, S.; Russell, V.; Gordon, R.A.; Vyas, S.; Yuan, J.; et al. Paradoxical activation of T cells via augmented ERK signaling mediated by a RAF inhibitor. Cancer Immunol. Res. 2014, 2, 70–79. [Google Scholar] [CrossRef] [PubMed]
- Wang, M.; Zadeh, S.; Pizzolla, A.; Thia, K.; Gyorki, D.E.; McArthur, G.A.; Scolyer, R.A.; Long, G.; Wilmott, J.S.; Andrews, M.C.; et al. Characterization of the treatment-naive immune microenvironment in melanoma with BRAF mutation. J. Immunother. Cancer 2022, 10, e004095. [Google Scholar] [CrossRef] [PubMed]
- Gershenwald, J.E.; Scolyer, R.A. Melanoma Staging: American Joint Committee on Cancer (AJCC) 8th Edition and Beyond. Ann. Surg. Oncol. 2018, 25, 2105–2110. [Google Scholar] [CrossRef] [PubMed]
- National Cancer Institute. Common Terminology Criteria for Adverse Events (CTCAE) Common Terminology Criteria for Adverse Events (CTCAE) v5.0; U.S. Department of Health and Human Services: Washington, DC, USA, 2017. [Google Scholar]
- Carbone, M.L.; Capone, A.; Guercio, M.; Reddel, S.; Silvestris, D.A.; Lulli, D.; Ramondino, C.; Peluso, D.; Quintarelli, C.; Volpe, E.; et al. Insight into immune profile associated with vitiligo onset and anti-tumoral response in melanoma patients receiving anti-PD-1 immunotherapy. Front. Immunol. 2023, 14, 1197630. [Google Scholar] [CrossRef] [PubMed]
- Bernhardt, M.; Rech, A.; Berthold, M.; Lappe, M.; Herbel, J.N.; Erhard, F.; Paschen, A.; Schilling, B.; Schlosser, A. SILAC-based quantification reveals modulation of the immunopeptidome in BRAF and MEK inhibitor sensitive and resistant melanoma cells. Front. Immunol. 2025, 15, 1490821. [Google Scholar] [CrossRef] [PubMed]
- Shen, C.; Fu, Q. Follicular helper T cells (Tfh): Heterogeneity in spatial distribution and phenotypic characteristics. Front. Immunol. 2025, 16, 1686687. [Google Scholar] [CrossRef]
- Christodoulou, M.; Moysidou, E.; Lioulios, G.; Stai, S.; Lazarou, C.; Xochelli, A.; Fylaktou, A.; Stangou, M. T-Follicular Helper Cells and Their Role in Autoimmune Diseases. Life 2025, 15, 666. [Google Scholar] [CrossRef]
- Knochelmann, H.M.; Ware, M.B.; Rali, A.; Linderman, S.; Shantha, J.G.; Lawson, D.H.; Yushak, M.; Swerlick, R.; Paulos, C.M.; Yeh, S.; et al. Case Report: Delayed Onset Multi-Organ Toxicities in a Melanoma Patient Achieving Complete Response to BRAF/MEK Inhibition. Front. Oncol. 2022, 12, 836845. [Google Scholar] [CrossRef]
- Brase, J.C.; Walter, R.F.H.; Savchenko, A.; Gusenleitner, D.; Garrett, J.; Schimming, T.; Varaljai, R.; Castelletti, D.; Kim, J.; Dakappagari, N.; et al. Role of Tumor-Infiltrating B Cells in Clinical Outcome of Patients with Melanoma Treated with Dabrafenib Plus Trametinib. Clin. Cancer Res. 2021, 27, 4500–4510. [Google Scholar] [CrossRef]
- Griss, J.; Bauer, W.; Wagner, C.; Simon, M.; Chen, M.; Grabmeier-Pfistershammer, K.; Maurer-Granofszky, M.; Roka, F.; Penz, T.; Bock, C.; et al. B cells sustain inflammation and predict response to immune checkpoint blockade in human melanoma. Nat. Commun. 2019, 10, 4186. [Google Scholar] [CrossRef]
- Cabrita, R.; Lauss, M.; Sanna, A.; Donia, M.; Skaarup Larsen, M.; Mitra, S.; Johansson, I.; Phung, B.; Harbst, K.; Vallon-Christersson, J.; et al. Tertiary lymphoid structures improve immunotherapy and survival in melanoma. Nature 2020, 577, 561–565. [Google Scholar] [CrossRef]
- Ascierto, P.A.; Mandalà, M.; Ferrucci, P.F.; Guidoboni, M.; Rutkowski, P.; Ferraresi, V.; Arance, A.; Guida, M.; Maiello, E.; Gogas, H.; et al. Sequencing of Ipilimumab Plus Nivolumab and Encorafenib Plus Binimetinib for Untreated BRAF-Mutated Metastatic Melanoma (SECOMBIT): A Randomized, Three-Arm, Open-Label Phase II Trial. J. Clin. Oncol. 2023, 41, 212–221. [Google Scholar] [CrossRef]
- Livingstone, E.; Gogas, H.; Kandolf-Sekulovic, L.; Meier, F.; Eigentler, T.K.; Ziemer, M.; Terheyden, P.A.M.; Gesierich, A.H.; Herbst, R.A.; Kähler, K.C.; et al. Early switch from run-in treatment with vemurafenib plus cobimetinib to atezolizumab after 3 months leads to rapid loss of tumour control in patients with advanced BRAFV600-positive melanoma: The ImmunoCobiVem phase 2 randomised trial. Eur. J. Cancer 2023, 190, 112941. [Google Scholar] [CrossRef] [PubMed]
- Ascierto, P.A.; Stroyakovskiy, D.; Gogas, H.; Robert, C.; Lewis, K.; Protsenko, S.; Pereira, R.P.; Eigentler, T.; Rutkowski, P.; Demidov, L.; et al. Overall survival with first-line atezolizumab in combination with vemurafenib and cobimetinib in BRAFV600 mutation-positive advanced melanoma (IMspire150): Second interim analysis of a multicentre, randomised, phase 3 study. Lancet. Oncol. 2023, 24, 33–44. [Google Scholar] [CrossRef] [PubMed]
- Atkins, M.B.; Lee, S.J.; Chmielowski, B.; Tarhini, A.A.; Cohen, G.I.; Truong, T.G.; Moon, H.H.; Davar, D.; O’Rourke, M.; Stephenson, J.J.; et al. Combination Dabrafenib and Trametinib Versus Combination Nivolumab and Ipilimumab for Patients with Advanced BRAF-Mutant Melanoma: The DREAMseq Trial-ECOG-ACRIN EA6134. J. Clin. Oncol. 2023, 41, 186–197. [Google Scholar] [CrossRef] [PubMed]
- Sun, C.; España, S.; Richarz, N.; Solé-Blanch, C.; Boada, A.; Martinez-Cardús, A.; Chu, A.; Liu, Z.; Manzano, J.L. Targeted therapy or immunotherapy in BRAF-mutated metastatic melanoma: A Spanish center’s decade of experience. Front. Oncol. 2024, 14, 1322116. [Google Scholar] [CrossRef]
- Pavlick, A.C.; Zhao, R.; Lee, C.H.; Ritchings, C.; Rao, S. First-line immunotherapy versus targeted therapy in patients with BRAF-mutant advanced melanoma: A real-world analysis. Future Oncol. 2021, 17, 689–699. [Google Scholar] [CrossRef]
- Chamseddine, S.; Harris, E.M.; Chou, J. T follicular helper cells in primary immune regulatory disorders. J. Allergy Clin. Immunol. 2025, 156, 1465–1476. [Google Scholar] [CrossRef]
- Verkhovskaia, S.; Di Pietro, F.R.; Mastroeni, S.; Carbone, M.L.; Abeni, D.; Morese, R.; Morelli, F.M.; D’Atri, S.; Marchetti, P.; De Galitiis, F.; et al. Vitiligo-like leukoderma as an indicator of clinical response to immune checkpoint inhibitors in late-stage melanoma patients. J. Cancer Res. Clin. Oncol. 2021, 148, 2529–2538. [Google Scholar] [CrossRef]
- Teulings, H.E.; Limpens, J.; Jansen, S.N.; Zwinderman, A.H.; Reitsma, J.B.; Spuls, P.I.; Luiten, R.M. Vitiligo-like depigmentation in patients with stage III–IV melanoma receiving immunotherapy and its association with survival: A systematic review and meta-analysis. J. Clin. Oncol. 2015, 33, 773–781. [Google Scholar] [CrossRef]
- Liu, N.; Tarafdar, N.; Georgakopoulos, J.R.; Maliyar, K.; Sachdeva, M.; Lytvyn, Y.; Mufti, A.; Yeung, J. Development of Vitiligo in Patients Treated with BRAF/MEK Inhibitors: A Systematic Review. J. Cutan. Med. Surg. 2024, 28, 200–201. [Google Scholar] [CrossRef]
- Saray, S.; Hızlı, P. Case report: Drug-induced vitiligo during treatment with BRAF/MEK inhibitors in a patient with metastatic conjunctival melanoma. J. Oncol. Pharm. Pract. 2025, 31, 670–673. [Google Scholar] [CrossRef]
- Failla, C.M.; Carbone, M.L.; Fortes, C.; Pagnanelli, G.; D’atri, S. Melanoma and vitiligo: In good company. Int. J. Mol. Sci. 2019, 20, 5735. [Google Scholar] [CrossRef]






| Characteristics | N. | % |
|---|---|---|
| Age at primary melanoma, y | ||
| Mean (SD) | 58.1 (15.5) | |
| Median (IQR) | 58 (47–70) | |
| Sex | ||
| Male | 94 | 59.5 |
| Female | 64 | 40.5 |
| Localization of primary | ||
| Skin | 131 | 82.9 |
| Nodular | 46 | 35.1 |
| Superficial spreading | 70 | 53.4 |
| Other | 15 | 11.5 |
| Mucosal | 1 | 0.6 |
| Unknown | 26 | 16.5 |
| Anatomic site | ||
| Head/neck | 17 | 10.8 |
| Upper limbs | 17 | 10.8 |
| Trunk | 84 | 53.2 |
| Lower limbs | 24 | 15.2 |
| Unknown | 16 | 10.1 |
| Breslow thickness, mm * | ||
| Mean (SD) | 4.3 (5.5) | |
| Median (IQR) | 3 (2–5) | |
| Ulceration * | ||
| Present | 71 | 54.2 |
| Absent | 47 | 35.9 |
| Unknown | 13 | 9.9 |
| Characteristics | N. | % |
|---|---|---|
| Age at iBRAF/iMEK therapy, years | ||
| Mean (SD) | 61.7 (14.3) | |
| Median (IQR) | 62 (52–73) | |
| Metastasis stage | ||
| M1a | 41 | 25.9 |
| M1b | 24 | 15.2 |
| M1c | 56 | 35.4 |
| M1d | 37 | 23.4 |
| Serum LDH | ||
| Normal | 58 | 36.7 |
| Elevated | 51 | 32.3 |
| Unknown | 49 | 31.0 |
| Drug | ||
| D + T | 118 | 74.7 |
| D | 8 | 5.1 |
| V + C | 19 | 12.0 |
| V | 12 | 7.6 |
| C | 1 | 0.6 |
| N. | % | |
|---|---|---|
| Toxicity after iBRAF/iMEK | ||
| No | 57 | 36.1% |
| Yes | 101 | 63.9% |
| Types of toxicity | ||
| Cutaneous only | 12 | 11.9% |
| Non-cutaneous only | 50 | 49.5% |
| Cutaneous and non-cutaneous | 39 | 38.6% |
| irAE * | 3 | 3.0% |
| Toxicity | No Toxicity | ||||
|---|---|---|---|---|---|
| N = 101 | N = 57 | ||||
| Characteristics: | N. * | % | N. * | % | p Value ** |
| Age at iBRAF + iMEK therapy, y | |||||
| Mean (SD) | 61.9 (13.8) | 61.5 (14.9) | |||
| Median (Range) | 63 (52–72) | 61 (52–72) | 0.981 *** | ||
| Sex | |||||
| Male | 59 | 58.4 | 35 | 61.4 | |
| Female | 42 | 41.6 | 22 | 38.6 | 0.739 |
| Metastatic stage | |||||
| 1a | 26 | 25.7 | 15 | 26.3 | |
| 1b | 15 | 14.9 | 9 | 15.8 | |
| 1c | 35 | 34.6 | 21 | 36.8 | |
| 1d | 25 | 24.8 | 12 | 21.1 | 0.964 |
| Serum LDH | |||||
| Normal | 42 | 41.6 | 16 | 28.1 | |
| Elevated | 32 | 31.7 | 19 | 33.3 | |
| Unknown | 27 | 26.7 | 22 | 38.6 | 0.182 |
| iBRAF/iMEK line of treatment | |||||
| First-line | 87 | 86.1 | 42 | 76.4 | |
| Second-line | 14 | 13.9 | 13 | 23.6 | 0.129 |
| Patient | BRAF57 | BRAF84 | BRAF16 | BRAF11 | BRAF27 | BRAF73 |
|---|---|---|---|---|---|---|
| Sex a | M | M | F | M | M | M |
| Age b | 57 | 55 | 52 | 71 | 75 | 55 |
| Stage c | M1c | M1d | M1d | M1c | M1d | M1c |
| Drug | Dabrafenib + Trametinib | Dabrafenib + Trametinib | Dabrafenib + Trametinib | Dabrafenib + Trametinib | Dabrafenib + Trametinib | Dabrafenib + Trametinib |
| Concomitant medications | None | Anti-hypertensive drugs | Oral steroids | Anti-hypertensive drugs; ASA; statin; glibomet | Anti-hypertensive drugs; ASA; statin | None |
| Prior autoimmune disease | No | No | No | No | No | No |
| Line of therapy | 1°L | 1°L | 1°L | 1°L | 1°L | 1°L |
| Prior ICI exposure | No | No | No | No | No | No |
| BOR d | PR | PR | SD | CR | PR | PR |
| OR (6 mo) | PD | PR | SD | PR | PR | PR |
| PFS (mo) | 6 | 11 | 12 | 48 | 11 | 14 |
| OS (mo) | 6 | 12 | 13 | 78 | 12 | 20 |
| Anatomic site | Trunk | Trunk | Trunk | Head/neck | Trunk | Trunk |
| Time to irAE onset (mo) | 4 | 8 | 2 | - | - | - |
| irAE | Uveitis | Vitiligo | Para- psoriasis | - | - | - |
| Grading e | G2 | G1 | G2 | - | - | - |
| Management | Topical treatment with steroid and anti-inflammatory eye drops | Nothing | Topical treatment | - | - | - |
| Dose interruption/ reduction | Interruption of Trametinib | No | No | - | - | - |
| Outcome | Improvement (G1) | Stable | Stable | - | - | - |
| ClinR (2 mo) | PR | SD | SD | - | - | - |
| LDH (U/L) | - | - | - | |||
| baseline | - | 790 (↑) | 1100 (↑) | |||
| 2 mo | - | 632 | 251 |
Disclaimer/Publisher’s Note: The statements, opinions and data contained in all publications are solely those of the individual author(s) and contributor(s) and not of MDPI and/or the editor(s). MDPI and/or the editor(s) disclaim responsibility for any injury to people or property resulting from any ideas, methods, instructions or products referred to in the content. |
© 2026 by the authors. Licensee MDPI, Basel, Switzerland. This article is an open access article distributed under the terms and conditions of the Creative Commons Attribution (CC BY) license.
Share and Cite
Capone, A.; Carbone, M.L.; Mastroeni, S.; Di Pietro, F.R.; Verkhovskaia, S.; Morese, R.; Melo, N.; D’Atri, S.; De Galitiis, F.; Falcone, R.; et al. Immune-Related Adverse Events in Patients with Melanoma Treated with B-RAF/MEK Target Therapy: Occurrence and Circulating Immune Cell Analysis. Cancers 2026, 18, 1072. https://doi.org/10.3390/cancers18071072
Capone A, Carbone ML, Mastroeni S, Di Pietro FR, Verkhovskaia S, Morese R, Melo N, D’Atri S, De Galitiis F, Falcone R, et al. Immune-Related Adverse Events in Patients with Melanoma Treated with B-RAF/MEK Target Therapy: Occurrence and Circulating Immune Cell Analysis. Cancers. 2026; 18(7):1072. https://doi.org/10.3390/cancers18071072
Chicago/Turabian StyleCapone, Alessia, Maria Luigia Carbone, Simona Mastroeni, Francesca Romana Di Pietro, Sofia Verkhovskaia, Roberto Morese, Nidia Melo, Stefania D’Atri, Federica De Galitiis, Rosa Falcone, and et al. 2026. "Immune-Related Adverse Events in Patients with Melanoma Treated with B-RAF/MEK Target Therapy: Occurrence and Circulating Immune Cell Analysis" Cancers 18, no. 7: 1072. https://doi.org/10.3390/cancers18071072
APA StyleCapone, A., Carbone, M. L., Mastroeni, S., Di Pietro, F. R., Verkhovskaia, S., Morese, R., Melo, N., D’Atri, S., De Galitiis, F., Falcone, R., Fortes, C., Volpe, E., & Failla, C. M. (2026). Immune-Related Adverse Events in Patients with Melanoma Treated with B-RAF/MEK Target Therapy: Occurrence and Circulating Immune Cell Analysis. Cancers, 18(7), 1072. https://doi.org/10.3390/cancers18071072

