Metabolic Dysfunction-Associated Steatotic Liver Disease (MASLD) and Risk of Gynecologic Cancer: A Nationwide Cohort Study
Simple Summary
Abstract
1. Introduction
2. Materials and Methods
2.1. Data Source and Study Population
2.2. Classification of Study Population
2.3. Covariates
2.4. Statistical Analysis
3. Results
3.1. Baseline Characteristics
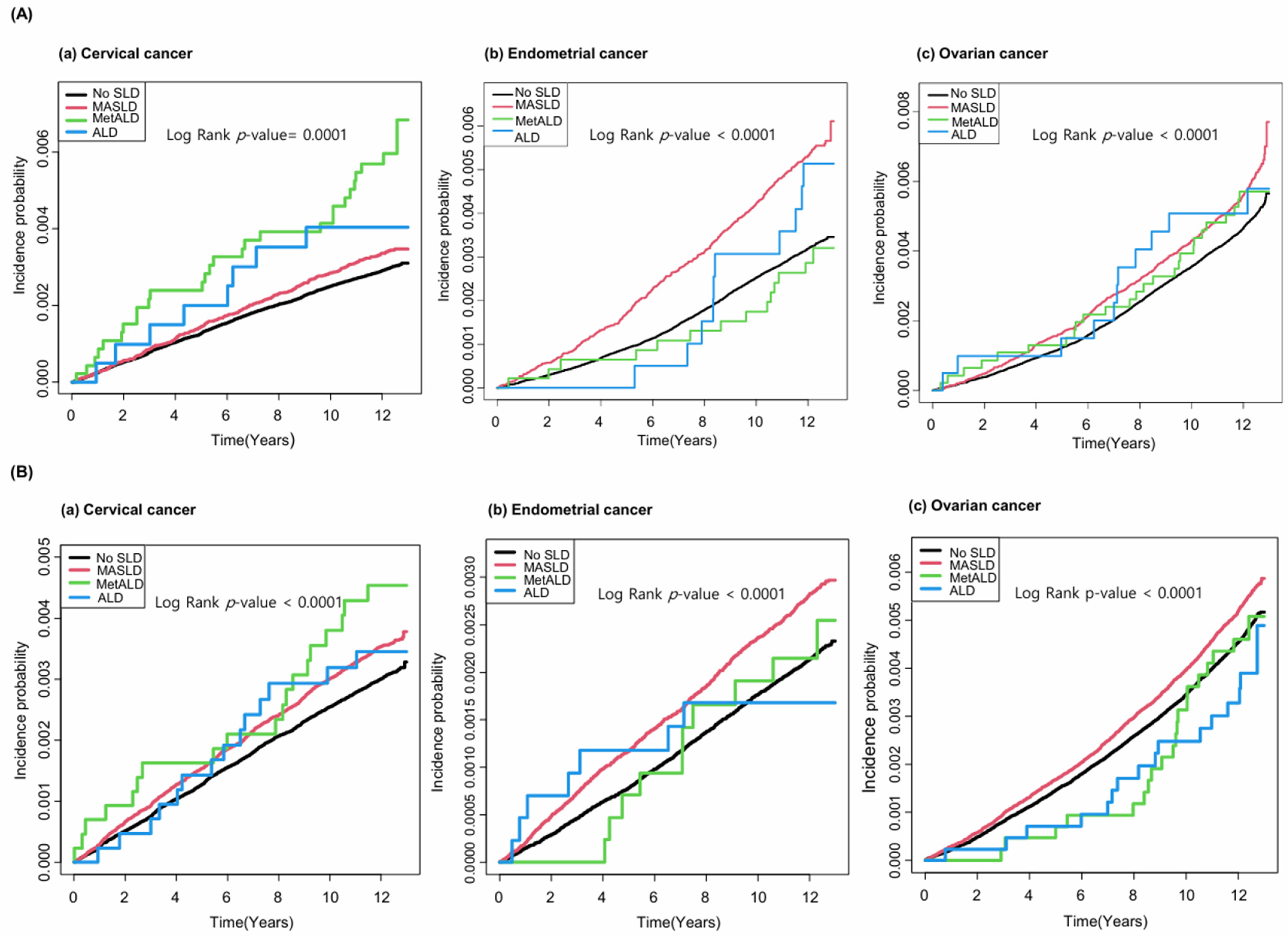
3.2. Association Between MASLD and Gynecologic Cancer Risk: Comparison Across SLD Subtypes
3.3. Subgroup Analysis
3.4. Sensitivity Analysis
4. Discussion
5. Conclusions
Supplementary Materials
Author Contributions
Funding
Institutional Review Board Statement
Informed Consent Statement
Data Availability Statement
Conflicts of Interest
Abbreviations
| SLD | Steatotic liver disease |
| MASLD | Metabolic dysfunction-associated steatotic liver disease |
| MetALD | Metabolic alcohol-associated liver disease |
| ALD | Alcohol-related liver disease |
| aHR | Adjusted hazard ratios |
| CI | Confidence interval |
| PY | Person-years |
| IR | Incidence rate |
| HRT | Hormone replacement therapy |
| OC | Oral contraceptive |
References
- Celsa, C.; Pennisi, G.; Tulone, A.; Ciancimino, G.; Vaccaro, M.; Pecorella, F.; Di Maria, G.; Enea, M.; Midiri, F.; Mantovani, A.; et al. Risk of hepatic and extrahepatic outcomes associated with metabolic dysfunction-associated steatotic liver disease and metabolic dysfunction and alcohol-associated steatotic liver disease: A systematic review and meta-analysis. Lancet Gastroenterol. Hepatol. 2025, 10, 998–1012. [Google Scholar] [CrossRef]
- Issa, G.; Shang, Y.; Strandberg, R.; Hagström, H.; Wester, A. Cause-specific mortality in 13,099 patients with metabolic dysfunction-associated steatotic liver disease in Sweden. J. Hepatol. 2025, 83, 643–651. [Google Scholar] [CrossRef]
- Driessen, S.; Francque, S.M.; Anker, S.D.; Castro Cabezas, M.; Grobbee, D.E.; Tushuizen, M.E.; Holleboom, A.G. Metabolic dysfunction-associated steatotic liver disease and the heart. Hepatology 2025, 82, 487–503. [Google Scholar] [CrossRef] [PubMed]
- Younossi, Z.M.; Kalligeros, M.; Henry, L. Epidemiology of metabolic dysfunction-associated steatotic liver disease. Clin. Mol. Hepatol. 2025, 31, S32–S50. [Google Scholar] [CrossRef] [PubMed]
- Ren, H.; Hu, M.; Yan, Y.; Cheng, M.; Yang, C.; Yuan, G.; Du, T. Association of the metabolic dysfunction-associated steatotic liver disease with cardiovascular and kidney disease in patients with type 2 diabetes mellitus: A cross-sectional study. Diabetes Res. Clin. Pract. 2025, 229, 112927. [Google Scholar] [CrossRef] [PubMed]
- Kalligeros, M.; Henry, L.; Younossi, Z.M. Metabolic dysfunction-associated steatotic liver disease and its link to cancer. Metabolism 2024, 160, 156004. [Google Scholar] [CrossRef]
- Liu, Z.; Lin, C.; Suo, C.; Zhao, R.; Jin, L.; Zhang, T.; Chen, X. Metabolic dysfunction-associated fatty liver disease and the risk of 24 specific cancers. Metabolism 2022, 127, 154955. [Google Scholar] [CrossRef]
- Lee, J.; Kwak, J.; Kim, M.H.; Lee, S.H.; Cho, J.H.; Lim, D.J.; Lee, J.M.; Chang, S.A.; Kim, H.S. Association between metabolic dysfunction-associated steatotic liver disease and the risk of thyroid cancer: A nationwide cohort study. Korean J. Intern. Med. 2025, 40, 813–822. [Google Scholar] [CrossRef]
- Jeon, Y.J.; Han, K.; Lee, S.W.; Lee, J.E.; Park, J.; Cho, I.Y.; Cho, J.H.; Shin, D.W. Metabolic dysfunction-associated steatotic liver disease and risk of esophageal cancer in patients with diabetes mellitus: A nationwide cohort study. Dis. Esophagus 2024, 37, doae029. [Google Scholar] [CrossRef]
- Rodriguez, L.A.; Schmittdiel, J.A.; Liu, L.; Macdonald, B.A.; Balasubramanian, S.; Chai, K.P.; Seo, S.I.; Mukhtar, N.; Levin, T.R.; Saxena, V. Hepatocellular Carcinoma in Metabolic Dysfunction-Associated Steatotic Liver Disease. JAMA Netw. Open 2024, 7, e2421019. [Google Scholar] [CrossRef] [PubMed]
- EASL; EASD; EASO. EASL-EASD-EASO Clinical Practice Guidelines on the management of metabolic dysfunction-associated steatotic liver disease (MASLD). J. Hepatol. 2024, 81, 492–542. [Google Scholar] [CrossRef]
- Eng, P.C.; Forlano, R.; Tan, T.; Manousou, P.; Dhillo, W.S.; Izzi-Engbeaya, C. Non-alcoholic fatty liver disease in women—Current knowledge and emerging concepts. JHEP Rep. 2023, 5, 100835. [Google Scholar] [CrossRef]
- Qiu, J.; Kuang, M.; He, S.; Yu, C.; Wang, C.; Huang, X.; Sheng, G.; Zou, Y. Gender perspective on the association between liver enzyme markers and non-alcoholic fatty liver disease: Insights from the general population. Front. Endocrinol. 2023, 14, 1302322. [Google Scholar] [CrossRef] [PubMed]
- Sung, H.; Ferlay, J.; Siegel, R.L.; Laversanne, M.; Soerjomataram, I.; Jemal, A.; Bray, F. Global Cancer Statistics 2020: GLOBOCAN Estimates of Incidence and Mortality Worldwide for 36 Cancers in 185 Countries. CA Cancer J. Clin. 2021, 71, 209–249. [Google Scholar] [CrossRef]
- Jancova, P.; Ismail, K.; Vistejnova, L. Relationship between MASLD and women’s health: A review. Womens Health 2025, 21, 17455057251376883. [Google Scholar] [CrossRef] [PubMed]
- Lin, X.; Chen, C.; Jiang, T.; Ma, J.; Huang, L.; Huang, L.; Lei, H.; Tong, Y.; Huang, G.; Mao, X.; et al. Metabolic Dysfunction-Associated Fatty Liver Disease (MAFLD) Is Associated with Cervical Stromal Involvement in Endometrial Cancer Patients: A Cross-Sectional Study in South China. Curr. Oncol. 2023, 30, 3787–3799. [Google Scholar] [CrossRef] [PubMed]
- Zhang, X.; Nguyen, M.H. Metabolic dysfunction-associated steatotic liver disease: A sexually dimorphic disease and breast and gynecological cancer. Metabolism 2025, 167, 156190. [Google Scholar] [CrossRef]
- Zhou, B.G.; Jiang, X.; She, Q.; Ding, Y.B. Association of MASLD with the risk of extrahepatic cancers: A systematic review and meta-analysis of 18 cohort studies. Eur. J. Clin. Investig. 2024, 54, e14276. [Google Scholar] [CrossRef] [PubMed]
- Peng, Y.; Wang, P.; Liu, F.; Wang, X.; Si, C.; Gong, J.; Zhou, H.; Gu, J.; Qin, A.; Song, W.; et al. Metabolic dysfunction-associated steatotic liver disease and cancer risk: A cohort study. Diabetes Obes. Metab. 2025, 27, 1940–1949. [Google Scholar] [CrossRef] [PubMed]
- Lim, S.J.; Jang, S.I. Leveraging National Health Insurance Service Data for Public Health Research in Korea: Structure, Applications, and Future Directions. J. Korean Med. Sci. 2025, 40, e111. [Google Scholar] [CrossRef] [PubMed]
- Kim, M.K.; Han, K.; Lee, S.H. Current Trends of Big Data Research Using the Korean National Health Information Database. Diabetes Metab. J. 2022, 46, 552–563. [Google Scholar] [CrossRef] [PubMed]
- Lee, J.; Lee, J.S.; Park, S.H.; Shin, S.A.; Kim, K. Cohort Profile: The National Health Insurance Service-National Sample Cohort (NHIS-NSC), South Korea. Int. J. Epidemiol. 2017, 46, e15. [Google Scholar] [CrossRef] [PubMed]
- Seong, S.C.; Kim, Y.Y.; Park, S.K.; Khang, Y.H.; Kim, H.C.; Park, J.H.; Kang, H.J.; Do, C.H.; Song, J.S.; Lee, E.J.; et al. Cohort profile: The National Health Insurance Service-National Health Screening Cohort (NHIS-HEALS) in Korea. BMJ Open 2017, 7, e016640. [Google Scholar] [CrossRef] [PubMed]
- Bedogni, G.; Bellentani, S.; Miglioli, L.; Masutti, F.; Passalacqua, M.; Castiglione, A.; Tiribelli, C. The Fatty Liver Index: A simple and accurate predictor of hepatic steatosis in the general population. BMC Gastroenterol. 2006, 6, 33. [Google Scholar] [CrossRef]
- Cho, E.J.; Jung, G.C.; Kwak, M.S.; Yang, J.I.; Yim, J.Y.; Yu, S.J.; Chung, G.E. Fatty Liver Index for Predicting Nonalcoholic Fatty Liver Disease in an Asymptomatic Korean Population. Diagnostics 2021, 11, 2233. [Google Scholar] [CrossRef]
- Nomura, T.; Ono, M.; Kobayashi, K.; Akaiwa, Y.; Ayaki, M.; Ogi, T.; Ogi, M.; Takahashi, H.; Ishikawa, K.; Morishita, A.; et al. Validation of fatty liver index as a predictor of hepatic steatosis in Asian populations: Impact of alcohol consumption and sex. Hepatol. Res. 2023, 53, 968–977. [Google Scholar] [CrossRef]
- Alberti, K.G.; Zimmet, P.; Shaw, J. Metabolic syndrome—A new world-wide definition. A Consensus Statement from the International Diabetes Federation. Diabet. Med. 2006, 23, 469–480. [Google Scholar] [CrossRef]
- Expert Panel on Detection, Evaluation, and Treatment of High Blood Cholesterol in Adults. Executive Summary of The Third Report of The National Cholesterol Education Program (NCEP) Expert Panel on Detection, Evaluation, And Treatment of High Blood Cholesterol In Adults (Adult Treatment Panel III). JAMA 2001, 285, 2486–2497. [Google Scholar] [CrossRef]
- Haam, J.H.; Kim, B.T.; Kim, E.M.; Kwon, H.; Kang, J.H.; Park, J.H.; Kim, K.K.; Rhee, S.Y.; Kim, Y.H.; Lee, K.Y. Diagnosis of Obesity: 2022 Update of Clinical Practice Guidelines for Obesity by the Korean Society for the Study of Obesity. J. Obes. Metab. Syndr. 2023, 32, 121–129. [Google Scholar] [CrossRef] [PubMed]
- Younossi, Z.M.; Zelber-Sagi, S.; Lazarus, J.V.; Wong, V.W.; Yilmaz, Y.; Duseja, A.; Eguchi, Y.; Castera, L.; Pessoa, M.G.; Oliveira, C.P.; et al. Global Consensus Recommendations for Metabolic Dysfunction-Associated Steatotic Liver Disease and Steatohepatitis. Gastroenterology 2025, 169, 1017–1032.e1012. [Google Scholar] [CrossRef] [PubMed]
- Katagiri, R.; Iwasaki, M.; Abe, S.K.; Islam, M.R.; Rahman, M.S.; Saito, E.; Merritt, M.A.; Choi, J.Y.; Shin, A.; Sawada, N.; et al. Reproductive Factors and Endometrial Cancer Risk Among Women. JAMA Netw. Open 2023, 6, e2332296. [Google Scholar] [CrossRef] [PubMed]
- Keyvani, V.; Kheradmand, N.; Navaei, Z.N.; Mollazadeh, S.; Esmaeili, S.A. Epidemiological trends and risk factors of gynecological cancers: An update. Med. Oncol. 2023, 40, 93. [Google Scholar] [CrossRef] [PubMed]
- Luvián-Morales, J.; Gutiérrez-Enríquez, S.O.; Granados-García, V.; Torres-Poveda, K. Risk factors for the development of cervical cancer: Analysis of the evidence. Front. Oncol. 2024, 14, 1378549. [Google Scholar] [CrossRef]
- Lee, C.O. Gynecologic cancers: Part. I—Risk factors. Clin. J. Oncol. Nurs. 2000, 4, 67–71. [Google Scholar]
- Stefan, N.; Yki-Järvinen, H.; Neuschwander-Tetri, B.A. Metabolic dysfunction-associated steatotic liver disease: Heterogeneous pathomechanisms and effectiveness of metabolism-based treatment. Lancet Diabetes Endocrinol. 2025, 13, 134–148. [Google Scholar] [CrossRef]
- Rinella, M.E.; Lazarus, J.V.; Ratziu, V.; Francque, S.M.; Sanyal, A.J.; Kanwal, F.; Romero, D.; Abdelmalek, M.F.; Anstee, Q.M.; Arab, J.P.; et al. A multisociety Delphi consensus statement on new fatty liver disease nomenclature. Ann. Hepatol. 2024, 29, 101133. [Google Scholar] [CrossRef]
- Xiao, Y.; Xu, S.; Hu, W.; Huang, J.; Jiang, D.; Na, R.; Yin, Z.; Zhang, J.; Chen, H. Metabolic dysfunction-associated steatotic liver disease and risk of four intrahepatic and extrahepatic diseases. Ann. Hepatol. 2025, 30, 101750. [Google Scholar] [CrossRef] [PubMed]
- Lin, F.; Hu, W.; Yang, C.; Cheng, B.; Chen, H.; Li, J.; Zhu, H.; Zhang, H.; Yuan, X.; Ren, X.; et al. Associations of combined lifestyle and metabolic risks with cancer incidence in the UK biobank study. BMC Cancer 2025, 25, 547. [Google Scholar] [CrossRef]
- Wu, E.; Ni, J.T.; Zhu, Z.H.; Xu, H.Q.; Tao, L.; Xie, T. Association of a Healthy Lifestyle with All-Cause, Cause-Specific Mortality and Incident Cancer among Individuals with Metabolic Syndrome: A Prospective Cohort Study in UK Biobank. Int. J. Environ. Res. Public Health 2022, 19, 9936. [Google Scholar] [CrossRef] [PubMed]
- Ang, B.H.; Teo, S.H.; Ho, W.K. Systematic Review and Meta-Analysis of Lifestyle and Reproductive Factors Associated with Risk of Breast Cancer in Asian Women. Cancer Epidemiol. Biomark. Prev. 2024, 33, 1273–1285. [Google Scholar] [CrossRef]
- Merritt, M.A.; Abe, S.K.; Islam, M.R.; Rahman, M.S.; Saito, E.; Katagiri, R.; Shin, A.; Choi, J.Y.; Le Marchand, L.; Killeen, J.L.; et al. Reproductive factors and risk of epithelial ovarian cancer: Results from the Asia Cohort Consortium. Br. J. Cancer 2025, 132, 361–370. [Google Scholar] [CrossRef] [PubMed]
- Le, P.; Tatar, M.; Dasarathy, S.; Alkhouri, N.; Herman, W.H.; Taksler, G.B.; Deshpande, A.; Ye, W.; Adekunle, O.A.; McCullough, A.; et al. Estimated Burden of Metabolic Dysfunction-Associated Steatotic Liver Disease in US Adults, 2020 to 2050. JAMA Netw. Open 2025, 8, e2454707. [Google Scholar] [CrossRef] [PubMed]
- Ma, Y.; Wang, J.; Xiao, W.; Fan, X. A review of MASLD-related hepatocellular carcinoma: Progress in pathogenesis, early detection, and therapeutic interventions. Front. Med. 2024, 11, 1410668. [Google Scholar] [CrossRef] [PubMed]
- Lin, Z.; Zhang, R.; Ren, S.; He, T.; Mi, H.; Jiang, W.; Su, C. Global burden of metabolic dysfunction-associated steatotic liver disease from 1990 to 2021 and the prediction for the next 10 years. Prev. Med. Rep. 2025, 59, 103248. [Google Scholar] [CrossRef] [PubMed]
- Xu, B.; Li, H.; Pi, Y.; Li, K. Global, regional and national burden of Metabolic dysfunction-associated steatotic liver disease in adolescents and adults aged 15-49 years from 1990 to 2021: Results from the 2021 Global Burden of Disease study. Front. Med. 2025, 12, 1568211. [Google Scholar] [CrossRef]
- Yang, Z.; Li, A.; Jiang, Y.; Maidaiti, X.; Wu, Y.; Jin, Y. Global burden of metabolic dysfunction-associated steatotic liver disease attributable to high fasting plasma glucose in 204 countries and territories from 1990 to 2021. Sci. Rep. 2024, 14, 22232. [Google Scholar] [CrossRef]


| In Pre-Menopause | In Post-Menopause | |||||||||||
|---|---|---|---|---|---|---|---|---|---|---|---|---|
| Characteristics | Total N = 870,624 | No SLD N = 753,210 | MASLD N = 110,782 | MetALD N = 4616 | ALD N = 2016 | p-Value | Total N = 1,217,674 | No SLD N = 844,974 | MASLD N = 364,097 |
MetALD N = 4313 | ALD N = 4290 | p-Value |
| Age (years) | 45.08 ± 4.23 | 44.92 ± 4.1 | 46.16 ± 4.86 | 45.53 ± 3.98 | 46.04 ± 4.33 | <1.0 × 10−13 | 61.68 ± 8.44 | 61.08 ± 8.56 | 63.12 ± 8 | 57.64 ± 7.05 | 61.04 ± 7.94 | <1.0 × 10−13 |
| Low-income status a | 215,926 (24.8) | 186,436 (24.75) | 27,628 (24.94) | 1269 (27.49) | 593 (29.41) | 9.81 × 10−9 | 262,391 (21.55) | 184,988 (21.89) | 75,270 (20.67) | 1148 (26.62) | 985 (22.96) | <1.0 × 10−13 |
| Smoking | <1.0 × 10−13 | <1.0 × 10−13 | ||||||||||
| Never Former Current | 827,813 (95.08) 13,749 (1.58) 29,062 (3.34) | 718,821 (95.43) 11,642 (1.55) 22,747 (3.02) | 104,563 (94.39) 1752 (1.58) 4467 (4.03) | 3050 (66.07) 268 (5.81) 1298 (28.12) | 1379 (68.4) 87 (4.32) 550 (27.28) | 1,172,692 (96.31) 12,634 (1.04) 32,348 (2.66) | 815,927 (96.56) 8261 (0.98) 20,786 (2.46) | 349,886 (96.1) 4064 (1.12) 10,147 (2.79) | 3181 (73.75) 210 (4.87) 922 (21.38) | 3698 (86.2) 99 (2.31) 493 (11.49) | ||
| Drinking b | <1.0 × 10−13 | <1.0 × 10−13 | ||||||||||
| Non Mild Heavy | 623,930 (71.66) 225,103 (25.86) 21,591 (2.48) | 541,978 (71.96) 195,354 (25.94) 15,878 (2.11) | 81,396 (73.47) 29,386 (26.53) 0 (0) | 0 (0) 0 (0) 4616 (100) | 556 (27.58) 363 (18.01) 1097 (54.41) | 1,067,081 (87.63) 137,789 (11.32) 12,804 (1.05) | 740,961 (87.69) 96,564 (11.43) 7449 (0.88) | 323,531 (88.86) 40,566 (11.14) 0 (0) | 0 (0) 0 (0) 4313 (100) | 2589 (60.35) 659 (15.36) 1042 (24.29) | ||
| Regular exercise c | 149,984 (17.23) | 132,050 (17.53) | 16,792 (15.16) | 808 (17.5) | 334 (16.57) | <1.0 × 10−13 | 222,252 (18.25) | 161,781 (19.15) | 58,943 (16.19) | 834 (19.34) | 694 (16.18) | <1.0 × 10−13 |
| DM | 30,451 (3.5) | 16,629 (2.21) | 13,078 (11.81) | 461 (9.99) | 283 (14.04) | <1.0 × 10−13 | 155,261 (12.75) | 75,846 (8.98) | 77,537 (21.3) | 741 (17.18) | 1137 (26.5) | <1.0 × 10−13 |
| HBP | 121,266 (13.93) | 82,109 (10.9) | 36,574 (33.01) | 1708 (37) | 875 (43.4) | <1.0 × 10−13 | 555,112 (45.59) | 322,462 (38.16) | 227,368 (62.45) | 2461 (57.06) | 2821 (65.76) | <1.0 × 10−13 |
| Dyslipidemia | 93,373 (10.72) | 64,251 (8.53) | 27,495 (24.82) | 1018 (22.05) | 609 (30.21) | <1.0 × 10−13 | 396,740 (32.58) | 231,528 (27.4) | 161,192 (44.27) | 1768 (40.99) | 2252 (52.49) | <1.0 × 10−13 |
| Age at menarche, years | 15.09 ± 1.68 | 15.07 ± 1.66 | 15.18 ± 1.8 | 15.42 ± 1.8 | 15.47 ± 1.78 | <1.0 × 10−13 | 16.46 ± 1.84 | 16.42 ± 1.85 | 16.55 ± 1.82 | 16.47 ± 1.87 | 16.6 ± 1.87 | <1.0 × 10−13 |
| Age at menarche | <1.0 × 10−13 | <1.0 × 10−13 | ||||||||||
| ≤12 ≤14 ≤16 >16 | 39,296 (4.51) 274,932 (31.58) 398,570 (45.78) 157,826 (18.13) | 33,077 (4.39) 240,195 (31.89) 347,412 (46.12) 132,526 (17.59) | 5948 (5.37) 33,066 (29.85) 48,167 (43.48) 23,601 (21.3) | 185 (4.01) 1189 (25.76) 2091 (45.3) 1151 (24.94) | 86 (4.27) 482 (23.91) 900 (44.64) 548 (27.18) | 11,733 (0.96) 147,637 (12.12) 471,657 (38.73) 586,647 (48.18) | 8459 (1) 106,119 (12.56) 331,947 (39.28) 398,449 (47.16) | 3156 (0.87) 40,525 (11.13) 136,492 (37.49) 183,924 (50.52) | 58 (1.34) 548 (12.71) 1632 (37.84) 2075 (48.11) | 60 (1.4) 445 (10.37) 1586 (36.97) 2199 (51.26) | ||
| OC | <1.0 × 10−13 | <1.0 × 10−13 | ||||||||||
| Non <1 year ≥1 year | 758,214 (87.09) 82,769 (9.51) 29,641 (3.4) | 658,270 (87.4) 70,730 (9.39) 24,210 (3.21) | 94,928 (85.69) 11,093 (10.01) 4761 (4.3) | 3468 (75.13) 675 (14.62) 473 (10.25) | 1548 (76.79) 271 (13.44) 197 (9.77) | 1,029,728 (84.57) 113,059 (9.28) 74,887 (6.15) | 718,133 (84.99) 77,879 (9.22) 48,962 (5.79) | 304,684 (83.68) 34,272 (9.41) 25,141 (6.91) | 3383 (78.44) 488 (11.31) 442 (10.25) | 3528 (82.24) 420 (9.79) 342 (7.97) | ||
| Parity | <1.0 × 10−13 | <1.0 × 10−13 | ||||||||||
| 0 1 ≥2 | 31,633 (3.63) 115,182 (13.23) 723,809 (83.14) | 27,851 (3.7) 99,797 (13.25) 625,562 (83.05) | 3446 (3.11) 14,257 (12.87) 93,079 (84.02) | 218 (4.72) 784 (16.98) 3614 (78.29) | 118 (5.85) 344 (17.06) 1554 (77.08) | 20,193 (1.66) 71,929 (5.91) 1,125,552 (92.43) | 15,267 (1.81) 54,768 (6.48) 774,939 (91.71) | 4686 (1.29) 16,407 (4.51) 343,004 (94.21) | 130 (3.01) 457 (10.6) 3726 (86.39) | 110 (2.56) 297 (6.92) 3883 (90.51) | ||
| Breast Feeding | <1.0 × 10−13 | <1.0 × 10−13 | ||||||||||
| No <6 months 6–12 months ≥12 months | 155,576 (17.87) 214,119 (24.59) 229,559 (26.37) 271,370 (31.17) | 135,475 (17.99) 191,909 (25.48) 200,971 (26.68) 224,855 (29.85) | 18,713 (16.89) 21,001 (18.96) 27,147 (24.5) 43,921 (39.65) | 934 (20.23) 872 (18.89) 1007 (21.82) 1803 (39.06) | 454 (22.52) 337 (16.72) 434 (21.53) 791 (39.24) | 77,322 (6.35) 75,813 (6.23) 206,547 (16.96) 857,992 (70.46) | 58,301 (6.9) 59,752 (7.07) 152,879 (18.09) 574,042 (67.94) | 18,247 (5.01) 15,608 (4.29) 52,408 (14.39) 277,834 (76.31) | 444 (10.29) 267 (6.19) 673 (15.6) 2929 (67.91) | 330 (7.69) 186 (4.34) 587 (13.68) 3187 (74.29) | ||
| Height (cm) | 157.51 ± 5.16 | 157.6 ± 5.13 | 156.91 ± 5.34 | 157.28 ± 5.2 | 157.19 ± 5.29 | <1.0 × 10−13 | 153.44 ± 5.73 | 153.56 ± 5.78 | 153.13 ± 5.6 | 154.66 ± 5.41 | 153.59 ± 5.59 | <1.0 × 10−13 |
| Weight (kg) | 57.61 ± 8.08 | 55.94 ± 6.54 | 68.44 ± 8.7 | 66.29 ± 8.82 | 65.72 ± 9.37 | <1.0 × 10−13 | 56.99 ± 8.28 | 54.12 ± 6.72 | 63.48 ± 7.81 | 63.51 ± 8.55 | 62.93 ± 8.35 | <1.0 × 10−13 |
| BMI (kg/m2) | 23.22 ± 3.06 | 22.51 ± 2.37 | 27.78 ± 3.12 | 26.79 ± 3.33 | 26.59 ± 3.55 | <1.0 × 10−13 | 24.18 ± 3.15 | 22.93 ± 2.36 | 27.05 ± 2.82 | 26.53 ± 3.11 | 26.65 ± 3.05 | <1.0 × 10−13 |
| Waist circumference (cm) | 75.19 ± 7.74 | 73.46 ± 6.23 | 86.37 ± 7.18 | 85.35 ± 7.61 | 84.99 ± 7.9 | <1.0 × 10−13 | 80.07 ± 8.28 | 76.7 ± 6.42 | 87.73 ± 6.81 | 86.47 ± 7.39 | 86.98 ± 7.35 | <1.0 × 10−13 |
| SBP (mmHg) | 117.28 ± 14.35 | 115.98 ± 13.74 | 125.54 ± 15.31 | 127.22 ± 15.79 | 126.18 ± 15.55 | <1.0 × 10−13 | 125.74 ± 16.19 | 123.7 ± 15.87 | 130.38 ± 15.94 | 130.79 ± 16.42 | 129.83 ± 16.05 | <1.0 × 10−13 |
| DBP (mmHg) | 73.18 ± 9.96 | 72.33 ± 9.62 | 78.52 ± 10.37 | 80.35 ± 10.87 | 79.63 ± 10.59 | <1.0 × 10−13 | 76.97 ± 10.17 | 75.88 ± 10.02 | 79.44 ± 10.05 | 80.86 ± 10.47 | 79.76 ± 10.24 | <1.0 × 10−13 |
| HDL-C (mg/dL) | 60 ± 30.07 | 60.58 ± 26.89 | 55.95 ± 45.6 | 62 ± 39.67 | 60.09 ± 36.64 | <1.0 × 10−13 | 57.57 ± 33.33 | 59 ± 32.13 | 54.22 ± 35.71 | 60.85 ± 31.77 | 57 ± 35.57 | <1.0 × 10−13 |
| LDL-C (mg/dL) | 113.15 ± 35.63 | 112.2 ± 34.37 | 119.92 ± 42.27 | 108.51 ± 39.42 | 108.1 ± 47.18 | <1.0 × 10−13 | 125.76 ± 38.33 | 125.75 ± 36.68 | 125.91 ± 41.83 | 122.61 ± 40.88 | 119.41 ± 42.2 | <1.0 × 10−13 |
| Fasting glucose (mg/dL) | 93.67 ± 17.85 | 92.24 ± 15.24 | 102.75 ± 27.91 | 103.43 ± 26.31 | 105.04 ± 28.7 | <1.0 × 10−13 | 99.68 ± 24.25 | 96.86 ± 20.92 | 106.01 ± 29.48 | 108.1 ± 29.75 | 109.03 ± 30.36 | <1.0 × 10−13 |
| Total cholesterol (mg/dL) | 192.05 ± 34 | 189.61 ± 32.69 | 207.84 ± 37.83 | 206.26 ± 36.78 | 205.12 ± 40.21 | <1.0 × 10−13 | 208.33 ± 38.71 | 205.09 ± 37.17 | 215.64 ± 41.02 | 220.58 ± 41.19 | 212.52 ± 42.98 | <1.0 × 10−13 |
| eGFR (mL/min/1.73 m2) d | 91.62 ± 18.18 | 91.83 ± 18.03 | 90.16 ± 19.13 | 92.19 ± 18.1 | 91.32 ± 19.28 | <1.0 × 10−13 | 79.99 ± 17.98 | 80.86 ± 17.7 | 77.94 ± 18.44 | 83.8 ± 17.8 | 79.52 ± 18.41 | <1.0 × 10−13 |
| FLI | 14.7 ± 16.14 | 9.34 ± 7 | 48.84 ± 15.75 | 52.18 ± 17.35 | 54.34 ± 17.63 | <1.0 × 10−13 | 24.46 ± 19.63 | 13.51 ± 7.74 | 49.19 ± 15.27 | 53.47 ± 17.31 | 53.71 ± 16.95 | <1.0 × 10−13 |
| Triglyceride (mg/dL) e | 86 (62–121) | 80 (60–107) | 156 (115–217) | 161 (117–227) | 166 (121–241) | <1.0 × 10−13 | 115 (82–162) | 99 (74–133) | 166 (124–227) | 163 (119–232) | 162 (121–229) | <1.0 × 10−13 |
| GGT (IU/L) e | 16 (12–22) | 15 (12–20) | 27 (20–42) | 42 (28–70) | 49 (29–90) | <1.0 × 10−13 | 19 (14–27) | 17 (13–22) | 27 (20–40) | 44 (29–75) | 39 (26–73) | <1.0 × 10−13 |
| ALT (IU/L) e | 16 (12–21) | 15 (12–19) | 23 (17–33) | 22 (17–31) | 25 (18–37) | <1.0 × 10−13 | 19 (15–26) | 18 (14–23) | 23 (18–32) | 24 (18–33) | 26 (19–38) | <1.0 × 10−13 |
| AST (IU/L) e | 20 (17–24) | 19 (17–23) | 23 (19–29) | 24 (20–30) | 26 (20–35) | <1.0 × 10−13 | 23 (20–28) | 23 (19–27) | 25 (20–31) | 26 (22–33) | 27 (22–36) | <1.0 × 10−13 |
| CCI Score | 0.77 ± 1.11 | 0.73 ± 1.07 | 0.99 ± 1.3 | 0.98 ± 1.24 | 1.84 ± 1.64 | <1.0 × 10−13 | 1.42 ± 1.57 | 1.29 ± 1.49 | 1.7 ± 1.71 | 1.3 ± 1.44 | 2.87 ± 2.03 | <1.0 × 10−13 |
| Characteristics | Total N = 870,624 | No SLD N = 753,210 | MASLD N = 110,782 | MetALD N = 4616 | ALD N = 2016 | p-Value |
|---|---|---|---|---|---|---|
| Age at menopause (years) | 49.97 ± 3.97 | 49.94 ± 3.88 | 50.05 ± 4.17 | 49.92 ± 4.19 | 49.97 ± 4.21 | <0.0001 |
| Age at menopause | <0.0001 | |||||
| <40 40–44 45–49 50–54 ≥55 | 21,362 (1.75) 70,629 (5.8) 332,852 (27.34) 665,815 (54.68) 127,016 (10.43) | 13,915 (1.65) 47,762 (5.65) 235,587 (27.88) 466,831 (55.25) 80,879 (9.57) | 7268 (2) 22,288 (6.12) 94,886 (26.06) 194,518 (53.42) 45,137 (12.4) | 92 (2.13) 284 (6.58) 1241 (28.77) 2231 (51.73) 465 (10.78) | 87 (2.03) 295 (6.88) 1138 (26.53) 2235 (52.1) 535 (12.47) | |
| Total reproductive span | <0.0001 | |||||
| <30 30–34 35–39 ≥40 | 170,579 (14.01) 510,225 (41.9) 461,974 (37.94) 74,896 (6.15) | 115,443 (13.66) 357,581 (42.32) 323,787 (38.32) 48,163 (5.7) | 53,855 (14.79) 149,080 (40.95) 135,026 (37.09) 26,136 (7.18) | 639 (14.82) 1773 (41.11) 1602 (37.14) 299 (6.93) | 642 (14.97) 1791 (41.75) 1559 (36.34) 298 (6.95) | |
| HRT duration | <0.0001 | |||||
| Non <2 years 2–5 years ≥5 years | 1,024,053 (84.1) 112,739 (9.26) 45,989 (3.78) 34,893 (2.87) | 697,052 (82.49) 84,357 (9.98) 36,136 (4.28) 27,429 (3.25) | 319,838 (87.84) 27,528 (7.56) 9519 (2.61) 7212 (1.98) | 3527 (81.78) 467 (10.83) 183 (4.24) 136 (3.15) | 3636 (84.76) 387 (9.02) 151 (3.52) 116 (2.7) |
| (A) In premenopause | ||||||||
| Cancer Type | SLD Group | Participants, No. | Events No. | Duration, PY | IR a, 1000 PY | HR (95% CI) | ||
| Model 1 b | Model 2 b | Model 3 b | ||||||
| Cervical Cancer | No SLD | 753,210 | 2240 | 9,237,032.48 | 0.24 | 1 (ref.) | 1 (ref.) | 1 (ref.) |
| MASLD | 110,782 | 376 | 1,355,047.71 | 0.28 | 1.14 (1.03, 1.28) | 1.14 (1.03, 1.28) | 1.13 (1.01, 1.26) | |
| MetALD | 4616 | 28 | 56,187.35 | 0.50 | 2.06 (1.42, 2.99) | 2.06 (1.42, 2.98) | 1.87 (1.29, 2.73) | |
| ALD | 2016 | 8 | 24,369.68 | 0.33 | 1.35 (0.68, 2.71) | 1.35 (0.68, 2.71) | 1.24 (0.62, 2.49) | |
| p-value | 0.0002 c | 0.0002 c | 0.0019 c | |||||
| Endometrial Cancer | No SLD | 753,210 | 2474 | 9,238,231.51 | 0.27 | 1 (ref.) | 1 (ref.) | 1 (ref.) |
| MASLD | 110,782 | 605 | 1,354,056.38 | 0.45 | 1.67 (1.53, 1.82) | 1.61 (1.47, 1.76) | 1.63 (1.50, 1.79) | |
| MetALD | 4616 | 15 | 56,294.31 | 0.27 | 0.99 (0.60, 1.65) | 0.98 (0.59, 1.63) | 1.12 (0.67, 1.87) | |
| ALD | 2016 | 10 | 24,389.65 | 0.41 | 1.53 (0.82, 2.86) | 1.49 (0.80, 2.77) | 1.67 (0.90, 3.11) | |
| p-value | <0.0001 | <0.0001 | <0.0001 | |||||
| Ovarian Cancer | No SLD | 753,210 | 3704 | 9,234,548.06 | 0.40 | 1 (ref.) | 1 (ref.) | 1 (ref.) |
| MASLD | 110,782 | 663 | 1,354,322.13 | 0.49 | 1.22 (1.12, 1.33) | 1.22 (1.12, 1.32) | 1.22 (1.12, 1.33) | |
| MetALD | 4616 | 26 | 56,245.90 | 0.46 | 1.15 (0.78, 1.70) | 1.15 (0.78, 1.69) | 1.17 (0.79, 1.72) | |
| ALD | 2016 | 11 | 24,356.21 | 0.45 | 1.12 (0.62, 2.03) | 1.12 (0.62, 2.03) | 1.13 (0.62, 2.04) | |
| p-value | <0.0001 | <0.0001 | <0.0001 | |||||
| (B) In postmenopause | ||||||||
| Cancer type | SLD group | Participants, No. | Events No. | Duration, PY | IR a, 1000 PY | HR (95% CI) | ||
| Model 1 b | Model 2 b | Model 3 b | ||||||
| Cervical Cancer | No SLD | 844,974 | 2521 | 10,074,004.15 | 0.25 | 1 (ref.) | 1 (ref.) | 1 (ref.) |
| MASLD | 364,097 | 1254 | 4,303,481.77 | 0.29 | 1.16 (1.09, 1.25) | 1.14 (1.07, 1.22) | 1.12 (1.05, 1.20) | |
| MetALD | 4313 | 19 | 51,860.00 | 0.37 | 1.47 (0.93, 2.30) | 1.51 (0.96, 2.37) | 1.38 (0.88, 2.17) | |
| ALD | 4290 | 14 | 49,986.73 | 0.28 | 1.12 (0.66, 1.89) | 1.12 (0.66, 1.89) | 1.06 (0.63, 1.79) | |
| p-value | <0.0001 c | 0.0006 c | 0.0068 c | |||||
| Endometrial Cancer | No SLD | 844,974 | 1803 | 10,077,950.13 | 0.18 | 1 (ref.) | 1 (ref.) | 1 (ref.) |
| MASLD | 364,097 | 1007 | 4,304,761.84 | 0.23 | 1.31 (1.21, 1.41) | 1.40 (1.29, 1.52) | 1.42 (1.32, 1.54) | |
| MetALD | 4313 | 10 | 51,919.29 | 0.19 | 1.08 (0.58, 2.00) | 0.98 (0.53, 1.83) | 1.04 (0.56, 1.93) | |
| ALD | 4290 | 7 | 50,002.92 | 0.14 | 0.78 (0.37, 1.65) | 0.79 (0.38, 1.65) | 0.82 (0.39, 1.71) | |
| p-value | <0.0001 | <0.0001 | <0.0001 | |||||
| Ovarian Cancer | No SLD | 844,974 | 3909 | 10,072,991.40 | 0.39 | 1 (ref.) | 1 (ref.) | 1 (ref.) |
| MASLD | 364,097 | 1895 | 4,303,366.77 | 0.44 | 1.14 (1.08, 1.20) | 1.13 (1.07, 1.19) | 1.14 (1.08, 1.20) | |
| MetALD | 4313 | 20 | 51,919.04 | 0.39 | 0.99 (0.64, 1.54) | 1.01 (0.65, 1.56) | 0.98 (0.63, 1.52) | |
| ALD | 4290 | 16 | 50,022.85 | 0.32 | 0.83 (0.51, 1.35) | 0.83 (0.51, 1.35) | 0.82 (0.50, 1.34) | |
| p-value | <0.0001 | 0.0003 | <0.0001 | |||||
Disclaimer/Publisher’s Note: The statements, opinions and data contained in all publications are solely those of the individual author(s) and contributor(s) and not of MDPI and/or the editor(s). MDPI and/or the editor(s) disclaim responsibility for any injury to people or property resulting from any ideas, methods, instructions or products referred to in the content. |
© 2026 by the authors. Licensee MDPI, Basel, Switzerland. This article is an open access article distributed under the terms and conditions of the Creative Commons Attribution (CC BY) license.
Share and Cite
Jeong, M.J.; Lee, Y.S.; Choi, Y.J.; Han, K.D. Metabolic Dysfunction-Associated Steatotic Liver Disease (MASLD) and Risk of Gynecologic Cancer: A Nationwide Cohort Study. Cancers 2026, 18, 894. https://doi.org/10.3390/cancers18060894
Jeong MJ, Lee YS, Choi YJ, Han KD. Metabolic Dysfunction-Associated Steatotic Liver Disease (MASLD) and Risk of Gynecologic Cancer: A Nationwide Cohort Study. Cancers. 2026; 18(6):894. https://doi.org/10.3390/cancers18060894
Chicago/Turabian StyleJeong, Min Jin, Yong Seok Lee, Youn Jin Choi, and Kyung Do Han. 2026. "Metabolic Dysfunction-Associated Steatotic Liver Disease (MASLD) and Risk of Gynecologic Cancer: A Nationwide Cohort Study" Cancers 18, no. 6: 894. https://doi.org/10.3390/cancers18060894
APA StyleJeong, M. J., Lee, Y. S., Choi, Y. J., & Han, K. D. (2026). Metabolic Dysfunction-Associated Steatotic Liver Disease (MASLD) and Risk of Gynecologic Cancer: A Nationwide Cohort Study. Cancers, 18(6), 894. https://doi.org/10.3390/cancers18060894

