Combinatorial Analysis of CD4+Tregs, CD8+Teffs, and Inflammatory Indices Predict Response to ICI in ES-SCLC Patients
Simple Summary
Abstract
1. Introduction
2. Materials and Methods
2.1. Patients and Blood Collection
2.2. Lymphocyte Isolation and Flow Cytometry Analysis
2.3. Statistical Analysis
3. Results
3.1. CD8+ T Effectors and CD4+ Tregs in the Peripheral Blood of SCLC Patients
3.2. Correlation of CD8+ T Effectors and CD4+ Tregs with Clinical Outcome
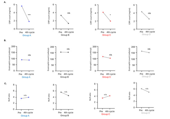
3.3. Correlation of Inflammatory Signatures with Immunotherapy Response in SCLC Patients
4. Discussion
5. Conclusions
Supplementary Materials
Author Contributions
Funding
Institutional Review Board Statement
Informed Consent Statement
Data Availability Statement
Acknowledgments
Conflicts of Interest
Abbreviations
| APC | Antigen-presenting cell |
| BD | Becton Dickinson |
| CD | Cluster of differentiation |
| CRP | C-reactive protein |
| CTLA-4 | Cytotoxic T-lymphocyte-associated protein 4 |
| DMSO | Dimethyl sulfoxide |
| EDTA | Ethylenediaminetetraacetic acid |
| ES-SCLC | Extensive-stage small-cell lung cancer |
| FACS | Fluorescence-activated cell sorting |
| FBS | Fetal bovine serum |
| FITC | Fluorescein isothiocyanate |
| FMO | Fluorescence minus one |
| FoxP3 | Forkhead box P3 |
| ICI | Immune checkpoint inhibitor |
| LDH | Lactate dehydrogenase |
| NLR | Neutrophil-to-lymphocyte ratio |
| NSCLC | Non-small-cell lung cancer |
| OS | Overall survival |
| PBMCs | Peripheral blood mononuclear cells |
| PBS | Phosphate-buffered saline |
| PFS | Progression-free survival |
| PLR | Platelet-to-lymphocyte ratio |
| PS | Performance status |
| RECIST | Response evaluation criteria in solid tumors |
| ROC | Receiver operating characteristic |
| SCLC | Small-cell lung cancer |
| TMB | Tumor mutational burden |
| Tregs | Regulatory T cells |
References
- American Cancer Society. Cancer Facts & Figures 2024. Available online: https://www.cancer.org/content/dam/cancer-org/research/cancer-facts-and-statistics/annual-cancer-facts-and-figures/2024/2024-cancer-facts-and-figures-acs.pdf (accessed on 4 January 2026).
- Hong, X.; Cui, B.; Wang, M.; Yang, Z.; Wang, L.; Xu, Q. Systemic Immune-inflammation Index, Based on Platelet Counts and Neutrophil-Lymphocyte Ratio, Is Useful for Predicting Prognosis in Small Cell Lung Cancer. Tohoku J. Exp. Med. 2015, 236, 297–304. [Google Scholar] [CrossRef]
- Bremnes, R.M.; Sundstrom, S.; Aasebo, U.; Kaasa, S.; Hatlevoll, R.; Aamdal, S.; Norweigian Lung Cancer Study, G. The value of prognostic factors in small cell lung cancer: Results from a randomised multicenter study with minimum 5 year follow-up. Lung Cancer 2003, 39, 303–313. [Google Scholar] [CrossRef]
- Osterlind, K. Factors confounding evaluation of treatment effect in lung cancer. Lung Cancer 1994, 10, S97–S103. [Google Scholar] [CrossRef]
- Mantovani, A.; Allavena, P.; Sica, A.; Balkwill, F. Cancer-related inflammation. Nature 2008, 454, 436–444. [Google Scholar] [CrossRef]
- Liu, D.; Huang, Y.; Li, L.; Song, J.; Zhang, L.; Li, W. High neutrophil-to-lymphocyte ratios confer poor prognoses in patients with small cell lung cancer. BMC Cancer 2017, 17, 882. [Google Scholar] [CrossRef]
- Kang, M.H.; Go, S.I.; Song, H.N.; Lee, A.; Kim, S.H.; Kang, J.H.; Jeong, B.K.; Kang, K.M.; Ling, H.; Lee, G.W. The prognostic impact of the neutrophil-to-lymphocyte ratio in patients with small-cell lung cancer. Br. J. Cancer 2014, 111, 452–460. [Google Scholar] [CrossRef] [PubMed]
- Crumley, A.B.; McMillan, D.C.; McKernan, M.; McDonald, A.C.; Stuart, R.C. Evaluation of an inflammation-based prognostic score in patients with inoperable gastro-oesophageal cancer. Br. J. Cancer 2006, 94, 637–641. [Google Scholar] [CrossRef] [PubMed]
- Kim, D.K.; Oh, S.Y.; Kwon, H.C.; Lee, S.; Kwon, K.A.; Kim, B.G.; Kim, S.G.; Kim, S.H.; Jang, J.S.; Kim, M.C.; et al. Clinical significances of preoperative serum interleukin-6 and C-reactive protein level in operable gastric cancer. BMC Cancer 2009, 9, 155. [Google Scholar] [CrossRef] [PubMed]
- Kishi, Y.; Kopetz, S.; Chun, Y.S.; Palavecino, M.; Abdalla, E.K.; Vauthey, J.N. Blood neutrophil-to-lymphocyte ratio predicts survival in patients with colorectal liver metastases treated with systemic chemotherapy. Ann. Surg. Oncol. 2009, 16, 614–622. [Google Scholar] [CrossRef]
- Smith, R.A.; Bosonnet, L.; Raraty, M.; Sutton, R.; Neoptolemos, J.P.; Campbell, F.; Ghaneh, P. Preoperative platelet-lymphocyte ratio is an independent significant prognostic marker in resected pancreatic ductal adenocarcinoma. Am. J. Surg. 2009, 197, 466–472. [Google Scholar] [CrossRef]
- Ravindranathan, D.; Master, V.A.; Bilen, M.A. Inflammatory Markers in Cancer Immunotherapy. Biology 2021, 10, 325. [Google Scholar] [CrossRef]
- Negrao, M.V.; Lam, V.K.; Reuben, A.; Rubin, M.L.; Landry, L.L.; Roarty, E.B.; Rinsurongkawong, W.; Lewis, J.; Roth, J.A.; Swisher, S.G.; et al. PD-L1 Expression, Tumor Mutational Burden, and Cancer Gene Mutations Are Stronger Predictors of Benefit from Immune Checkpoint Blockade than HLA Class I Genotype in Non-Small Cell Lung Cancer. J. Thorac. Oncol. 2019, 14, 1021–1031. [Google Scholar] [CrossRef]
- Iglesias-Escudero, M.; Arias-Gonzalez, N.; Martinez-Caceres, E. Regulatory cells and the effect of cancer immunotherapy. Mol. Cancer 2023, 22, 26. [Google Scholar] [CrossRef] [PubMed]
- Valero, C.; Zanoni, D.K.; McGill, M.R.; Ganly, I.; Morris, L.G.T.; Quer, M.; Shah, J.P.; Wong, R.J.; Leon, X.; Patel, S.G. Pretreatment peripheral blood leukocytes are independent predictors of survival in oral cavity cancer. Cancer 2020, 126, 994–1003. [Google Scholar] [CrossRef] [PubMed]
- Templeton, A.J.; McNamara, M.G.; Seruga, B.; Vera-Badillo, F.E.; Aneja, P.; Ocana, A.; Leibowitz-Amit, R.; Sonpavde, G.; Knox, J.J.; Tran, B.; et al. Prognostic role of neutrophil-to-lymphocyte ratio in solid tumors: A systematic review and meta-analysis. J. Natl. Cancer Inst. 2014, 106, dju124. [Google Scholar] [CrossRef]
- Xagara, A.; Goulielmaki, M.; Fortis, S.P.; Kokkalis, A.; Chantzara, E.; Christodoulopoulos, G.; Samaras, I.; Saloustros, E.; Tsapakidis, K.; Papadopoulos, V.; et al. Pre-Existing Immunity Predicts Response to First-Line Immunotherapy in Non-Small Cell Lung Cancer Patients. Cancers 2024, 16, 2393. [Google Scholar] [CrossRef] [PubMed]
- An, N.; Wang, H.; Jia, W.; Jing, W.; Liu, C.; Zhu, H.; Yu, J. The prognostic role of circulating CD8+ T cell proliferation in patients with untreated extensive stage small cell lung cancer. J. Transl. Med. 2019, 17, 402. [Google Scholar] [CrossRef]
- Hori, S.; Nomura, T.; Sakaguchi, S. Control of regulatory T cell development by the transcription factor Foxp3. Science 2003, 299, 1057–1061. [Google Scholar] [CrossRef]
- Takeuchi, Y.; Nishikawa, H. Roles of regulatory T cells in cancer immunity. Int. Immunol. 2016, 28, 401–409. [Google Scholar] [CrossRef]
- Wan, Y.Y. Regulatory T cells: Immune suppression and beyond. Cell Mol. Immunol. 2010, 7, 204–210. [Google Scholar] [CrossRef]
- Ge, X.; Zhao, Y.; Chen, C.; Wang, J.; Sun, L. Cancer Immunotherapies Targeting Tumor-Associated Regulatory T Cells. Onco Targets Ther. 2019, 12, 11033–11044. [Google Scholar] [CrossRef]
- Saleh, R.; Elkord, E. FoxP3+ T regulatory cells in cancer: Prognostic biomarkers and therapeutic targets. Cancer Lett. 2020, 490, 174–185. [Google Scholar] [CrossRef]
- Kotsakis, A.; Koinis, F.; Katsarou, A.; Gioulbasani, M.; Aggouraki, D.; Kentepozidis, N.; Georgoulias, V.; Vetsika, E.K. Prognostic value of circulating regulatory T cell subsets in untreated non-small cell lung cancer patients. Sci. Rep. 2016, 6, 39247. [Google Scholar] [CrossRef]
- Wang, W.; Hodkinson, P.; McLaren, F.; MacKinnon, A.; Wallace, W.; Howie, S.; Sethi, T. Small cell lung cancer tumour cells induce regulatory T lymphocytes, and patient survival correlates negatively with FOXP3+ cells in tumour infiltrate. Int. J. Cancer 2012, 131, E928–E937. [Google Scholar] [CrossRef] [PubMed]
- Hathcock, K.S.; Kaech, S.M.; Ahmed, R.; Hodes, R.J. Induction of telomerase activity and maintenance of telomere length in virus-specific effector and memory CD8+ T cells. J. Immunol. 2003, 170, 147–152. [Google Scholar] [CrossRef] [PubMed]
- Sallusto, F.; Lenig, D.; Forster, R.; Lipp, M.; Lanzavecchia, A. Two subsets of memory T lymphocytes with distinct homing potentials and effector functions. Nature 1999, 401, 708–712. [Google Scholar] [CrossRef]
- Chow, A.; Perica, K.; Klebanoff, C.A.; Wolchok, J.D. Clinical implications of T cell exhaustion for cancer immunotherapy. Nat. Rev. Clin. Oncol. 2022, 19, 775–790. [Google Scholar] [CrossRef] [PubMed]
- Roychoudhuri, R.; Eil, R.L.; Restifo, N.P. The interplay of effector and regulatory T cells in cancer. Curr. Opin. Immunol. 2015, 33, 101–111. [Google Scholar] [CrossRef]
- Koyama, K.; Kagamu, H.; Miura, S.; Hiura, T.; Miyabayashi, T.; Itoh, R.; Kuriyama, H.; Tanaka, H.; Tanaka, J.; Yoshizawa, H.; et al. Reciprocal CD4+ T-cell balance of effector CD62Llow CD4+ and CD62LhighCD25+ CD4+ regulatory T cells in small cell lung cancer reflects disease stage. Clin. Cancer Res. 2008, 14, 6770–6779. [Google Scholar] [CrossRef]
- Wu, G.; Yang, T.; Gholami, S.; DePeralta, D.; Weiss, M.; Deng, M.; Wang, P.; Huang, H. Regulatory T cells in liver metastases: Emerging and divergent roles in tumour progression. eGastroenterology 2025, 3, e100257. [Google Scholar] [CrossRef]
- Li, C.; Jiang, P.; Wei, S.; Xu, X.; Wang, J. Regulatory T cells in tumor microenvironment: New mechanisms, potential therapeutic strategies and future prospects. Mol. Cancer 2020, 19, 116. [Google Scholar] [CrossRef]
- Sobhani, N.; Tardiel-Cyril, D.R.; Davtyan, A.; Generali, D.; Roudi, R.; Li, Y. CTLA-4 in Regulatory T Cells for Cancer Immunotherapy. Cancers 2021, 13, 1440. [Google Scholar] [CrossRef]
- Whiteside, T.L. Human regulatory T cells (Treg) and their response to cancer. Expert. Rev. Precis. Med. Drug Dev. 2019, 4, 215–228. [Google Scholar] [CrossRef] [PubMed]
- Glare, P. Clinical predictors of survival in advanced cancer. J. Support. Oncol. 2005, 3, 331–339. [Google Scholar] [PubMed]
- Saal, J.; Bald, T.; Eckstein, M.; Ritter, M.; Brossart, P.; Ellinger, J.; Holzel, M.; Klumper, N. Early C-reactive protein kinetics predicts immunotherapy response in non-small cell lung cancer in the phase III OAK trial. JNCI Cancer Spectr. 2023, 7, pkad027. [Google Scholar] [CrossRef] [PubMed]





| Characteristic | Patients (%) |
|---|---|
| Age (median) | 70 (44–84) |
| Sex | |
| Men | 42 (82.3%) |
| Women | 9 (17.7%) |
| Race | |
| Caucasian | 51 (100%) |
| Metastatic sites | |
| Lung | 15 (29.4%) |
| Brain | 13 (25.5%) |
| Liver | 18 (35.3%) |
| Bones | 9 (17.6%) |
| Adrenal gland | 6 (11.7%) |
| LNs | 8 (15.7%) |
| Pleural | 16 (31.4%) |
| other | 1 (1.9%) |
| Best response | |
| PR | 31 (60.7%) |
| SD | 7 (13.7%) |
| Mixed | 2 (3.9%) |
| N/A | 11 (21.7%) |
| PFS | OS | |||||||
|---|---|---|---|---|---|---|---|---|
| T-Cell Populations | ROC Cut-Off | Median (Days) | 95% HR CI | p-Value | Median (Days) | 95% HR CI | p-Value | |
| CD3+CD8+ | 31 | High | 172 | 0.475 to 1.852 | 0.851 | 385 | 0.259 to 1.282 | 0.144 |
| Low | 169 | 246 | ||||||
| CD8+ Teffs | 44 | High | 210 | 0.231 to 0.998 | 0.018 | 412 | 0.182 to 0.977 | 0.012 |
| Low | 161 | 232 | ||||||
| FOXP3+ Tregs | 29 | High | 171 | 0.500 to 1.819 | 0.884 | 266 | 0.672 to 2.896 | 0.362 |
| Low | 167 | 261 | ||||||
| FOXP3+CTLA4+ Tregs | 39 | High | 164 | 0.644 to 2.367 | 0.512 | 261 | 0.772 to 3.514 | 0.149 |
| Low | 167 | 385 | ||||||
| CD4+ Tregs | |||
|---|---|---|---|
| T Cells | FOXP3+ | FOXP3+CTLA4+ | |
| CD8+ | Spearman r | −0.363 | −0.067 |
| p -value | 0.0181 | 0.684 | |
| 95% CI | −0.606 to −0.057 | −0.383 to 0.262 | |
| CD8+ Teffs | Spearman r | −0.086 | −0.365 |
| p -value | 0.597 | 0.021 | |
| 95% CI | −0.395 to 0.240 | −0.613 to −0.0503 | |
Disclaimer/Publisher’s Note: The statements, opinions and data contained in all publications are solely those of the individual author(s) and contributor(s) and not of MDPI and/or the editor(s). MDPI and/or the editor(s) disclaim responsibility for any injury to people or property resulting from any ideas, methods, instructions or products referred to in the content. |
© 2026 by the authors. Licensee MDPI, Basel, Switzerland. This article is an open access article distributed under the terms and conditions of the Creative Commons Attribution (CC BY) license.
Share and Cite
Xagara, A.; Tsapakidis, K.; Papadopoulos, V.; Kokkalis, A.; Chantzara, E.; Aidarinis, C.; Lazarou, A.; Christodoulopoulos, G.; Perifanou-Sotiri, M.; Verveniotis, D.; et al. Combinatorial Analysis of CD4+Tregs, CD8+Teffs, and Inflammatory Indices Predict Response to ICI in ES-SCLC Patients. Cancers 2026, 18, 192. https://doi.org/10.3390/cancers18020192
Xagara A, Tsapakidis K, Papadopoulos V, Kokkalis A, Chantzara E, Aidarinis C, Lazarou A, Christodoulopoulos G, Perifanou-Sotiri M, Verveniotis D, et al. Combinatorial Analysis of CD4+Tregs, CD8+Teffs, and Inflammatory Indices Predict Response to ICI in ES-SCLC Patients. Cancers. 2026; 18(2):192. https://doi.org/10.3390/cancers18020192
Chicago/Turabian StyleXagara, Anastasia, Konstantinos Tsapakidis, Vassileios Papadopoulos, Alexandros Kokkalis, Evangelia Chantzara, Chryssovalantis Aidarinis, Alexandros Lazarou, George Christodoulopoulos, Matina Perifanou-Sotiri, Dimitris Verveniotis, and et al. 2026. "Combinatorial Analysis of CD4+Tregs, CD8+Teffs, and Inflammatory Indices Predict Response to ICI in ES-SCLC Patients" Cancers 18, no. 2: 192. https://doi.org/10.3390/cancers18020192
APA StyleXagara, A., Tsapakidis, K., Papadopoulos, V., Kokkalis, A., Chantzara, E., Aidarinis, C., Lazarou, A., Christodoulopoulos, G., Perifanou-Sotiri, M., Verveniotis, D., Rammou, V., Vlachou, M. S., Kallergi, G., Markou, A., Samaras, I., Koinis, F., Saloustros, E., & Kotsakis, A. (2026). Combinatorial Analysis of CD4+Tregs, CD8+Teffs, and Inflammatory Indices Predict Response to ICI in ES-SCLC Patients. Cancers, 18(2), 192. https://doi.org/10.3390/cancers18020192

