Central Adiposity, Obesity, Metabolic Syndrome, and the Risk of Thyroid Cancer in Adults Aged ≥75 Years: A Nationwide Korean Cohort Study
Simple Summary
Abstract
1. Introduction
2. Materials and Methods
2.1. Data Source Study Population
2.2. Health Examination and Covariate Assessment
2.3. Statistical Analysis
3. Results
3.1. Characteristics of the Cohort
3.2. Metabolic Syndrome and Obesity
3.3. Combined Effects of MetS and Obesity
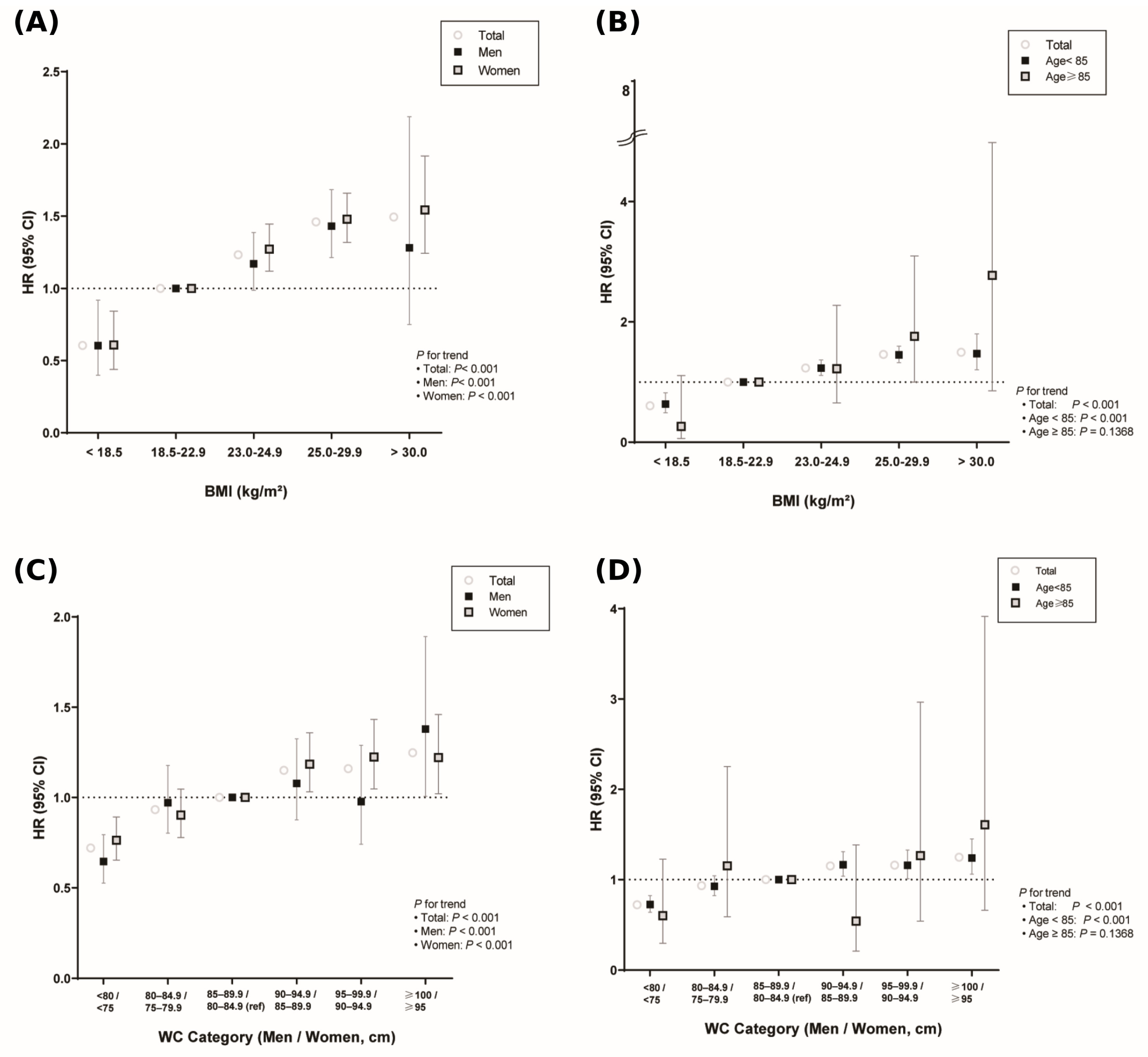
3.4. Dose–Response Relationships
3.5. Individual MetS Components
4. Discussion
4.1. Summary of Principal Findings
4.2. Comparison with Prior Literature
4.3. Biological Plausibility
4.4. Age-Specific Findings
4.5. Sex Differences
4.6. Clinical Implications
4.7. Strengths and Limitations
5. Conclusions
Author Contributions
Funding
Institutional Review Board Statement
Informed Consent Statement
Data Availability Statement
Conflicts of Interest
Abbreviations
| BMI | Body mass index |
| MetS | Metabolic syndrome |
| WC | Waist circumference |
| NHIS | National Health Insurance Service |
| HDL-C | High-density lipoprotein cholesterol |
| LDL-C | Low-density lipoprotein cholesterol |
| SD | Standard deviation |
| PY | Person-years |
| HRs | Hazard ratios |
| CIs | Confidence intervals |
| SHBG | Sex hormone-binding globulin |
| ER | Estrogen receptor |
| GPER | G-protein-coupled estrogen receptor |
Appendix A
| Component | Category | n | Events | PY | IR per 1000 PY | Model 1 HR (95% CI) | Model 2 HR (95% CI) | Model 3 HR (95% CI) | Model 4 HR (95% CI) |
|---|---|---|---|---|---|---|---|---|---|
| High WC | No | 775,724 | 1562 | 5,301,181.69 | 0.29 | 1.00 (ref.) | 1.00 (ref.) | 1.00 (ref.) | 1.00 (ref.) |
| Yes | 388,983 | 1083 | 2,737,384.05 | 0.40 | 1.39 (1.29–1.50) | 1.31 (1.21–1.42) | 1.31 (1.21–1.42) | 1.31 (1.21–1.42) | |
| p | <0.001 | <0.001 | <0.001 | <0.001 | |||||
| High TG | No | 827,441 | 1860 | 5,683,789.07 | 0.33 | 1.00 (ref.) | 1.00 (ref.) | 1.00 (ref.) | 1.00 (ref.) |
| Yes | 337,266 | 785 | 2,354,776.68 | 0.33 | 1.03 (0.95–1.12) | 1.00 (0.92–1.08) | 1.00 (0.92–1.09) | 1.00 (0.92–1.09) | |
| p | 0.438 | 0.908 | 0.994 | 0.988 | |||||
| High BP | No | 482,140 | 1019 | 3,289,713.31 | 0.31 | 1.00 (ref.) | 1.00 (ref.) | 1.00 (ref.) | 1.00 (ref.) |
| Yes | 682,567 | 1626 | 4,748,852.44 | 0.34 | 1.13 (1.04–1.22) | 1.12 (1.03–1.21) | 1.12 (1.04–1.21) | 1.09 (1.01–1.18) | |
| p | 0.003 | 0.005 | 0.004 | 0.049 | |||||
| High Glucose | No | 611,797 | 1411 | 4,269,520.39 | 0.33 | 1.00 (ref.) | 1.00 (ref.) | 1.00 (ref.) | 1.00 (ref.) |
| Yes | 552,910 | 1234 | 3,769,045.36 | 0.33 | 0.98 (0.91–1.05) | 0.98 (0.91–1.05) | 0.98 (0.91–1.05) | 0.99 (0.91–1.08) | |
| p | 0.454 | 0.540 | 0.546 | 0.844 | |||||
| Low HDL | No | 730,917 | 1575 | 5,077,612.75 | 0.31 | 1.00 (ref.) | 1.00 (ref.) | 1.00 (ref.) | 1.00 (ref.) |
| Yes | 433,790 | 1070 | 2,960,953.00 | 0.36 | 1.15 (1.06–1.24) | 1.09 (1.01–1.18) | 1.09 (1.01–1.19) | 1.10 (1.02–1.19) | |
| p | 0.001 | 0.030 | 0.028 | 0.019 |
| Component | Category | n | Events | PY | IR per 1000 PY | Model 1 HR (95% CI) | Model 2 HR (95% CI) | Model 3 HR (95% CI) | Model 4 HR (95% CI) | |
|---|---|---|---|---|---|---|---|---|---|---|
| Men | High WC | No | 335,206 | 579 | 2,182,318.23 | 0.27 | 1.00 (ref.) | 1.00 (ref.) | 1.00 (ref.) | 1.00 (ref.) |
| Yes | 127,740 | 274 | 853,644.16 | 0.32 | 1.25 (1.08–1.44) | 1.23 (1.06–1.41) | 1.23 (1.06–1.42) | 1.25 (1.08–1.45) | ||
| p | 0.003 | 0.006 | 0.006 | 0.003 | ||||||
| High TG | No | 349,280 | 646 | 2,285,208.46 | 0.28 | 1.00 (ref.) | 1.00 (ref.) | 1.00 (ref.) | 1.00 (ref.) | |
| Yes | 113,666 | 207 | 750,753.92 | 0.28 | 0.99 (0.84–1.15) | 0.96 (0.82–1.13) | 0.97 (0.83–1.13) | 0.99 (0.84–1.15) | ||
| p | 0.845 | 0.636 | 0.678 | 0.852 | ||||||
| High BP | No | 200,219 | 358 | 1,303,388.91 | 0.27 | 1.00 (ref.) | 1.00 (ref.) | 1.00 (ref.) | 1.00 (ref.) | |
| Yes | 262,727 | 495 | 1,732,573.47 | 0.29 | 1.05 (0.92–1.21) | 1.05 (0.92–1.21) | 1.06 (0.92–1.21) | 1.01 (0.87–1.16) | ||
| p | 0.465 | 0.451 | 0.430 | 0.917 | ||||||
| High Glucose | No | 237,797 | 446 | 1,574,059.78 | 0.28 | 1.00 (ref.) | 1.00 (ref.) | 1.00 (ref.) | 1.00 (ref.) | |
| Yes | 225,149 | 407 | 1,461,902.61 | 0.28 | 0.97 (0.85–1.11) | 0.96 (0.84–1.10) | 0.96 (0.84–1.10) | 1.01 (0.87–1.16) | ||
| p | 0.564 | 0.561 | 0.936 | 0.564 | ||||||
| Low HDL | No | 354,030 | 646 | 2,345,839.70 | 0.28 | 1.00 (ref.) | 1.00 (ref.) | 1.00 (ref.) | 1.00 (ref.) | |
| Yes | 108,916 | 207 | 690,122.69 | 0.30 | 1.05 (0.89–1.22) | 1.05 (0.90–1.23) | 1.05 (0.89–1.23) | 1.06 (0.90–1.24) | ||
| p | 0.584 | 0.550 | 0.564 | 0.511 | ||||||
| Women | High WC | No | 440,518 | 983 | 3,118,863.47 | 0.32 | 1.00 (ref.) | 1.00 (ref.) | 1.00 (ref.) | 1.00 (ref.) |
| Yes | 261,243 | 809 | 1,883,739.89 | 0.43 | 1.40 (1.27–1.53) | 1.35 (1.23–1.48) | 1.35 (1.23–1.48) | 1.34 (1.22–1.47) | ||
| p | <0.001 | <0.001 | <0.001 | <0.001 | ||||||
| High TG | No | 478,161 | 1214 | 3,398,580.60 | 0.36 | 1.00 (ref.) | 1.00 (ref.) | 1.00 (ref.) | 1.00 (ref.) | |
| Yes | 223,600 | 578 | 1,604,022.76 | 0.36 | 1.02 (0.92–1.12) | 1.01 (0.92–1.12) | 1.02 (0.92–1.12) | 1.01 (0.91–1.12) | ||
| p | 0.764 | 0.814 | 0.735 | 0.849 | ||||||
| High BP | No | 281,921 | 661 | 1,986,324.40 | 0.33 | 1.00 (ref.) | 1.00 (ref.) | 1.00 (ref.) | 1.00 (ref.) | |
| Yes | 419,840 | 1131 | 3,016,278.96 | 0.37 | 1.15 (1.04–1.26) | 1.15 (1.05–1.27) | 1.15 (1.05–1.27) | 1.12 (1.02–1.24) | ||
| p | 0.005 | 0.004 | 0.003 | 0.023 | ||||||
| High Glucose | No | 374,000 | 965 | 2,695,460.61 | 0.36 | 1.00 (ref.) | 1.00 (ref.) | 1.00 (ref.) | 1.00 (ref.) | |
| Yes | 327,761 | 827 | 2,307,142.75 | 0.36 | 0.99 (0.90–1.08) | 0.99 (0.90–1.08) | 0.99 (0.90–1.08) | 0.98 (0.89–1.09) | ||
| p | 0.764 | 0.780 | 0.757 | 0.764 | ||||||
| Low HDL | No | 376,887 | 929 | 2,731,773.05 | 0.34 | 1.00 (ref.) | 1.00 (ref.) | 1.00 (ref.) | 1.00 (ref.) | |
| Yes | 324,874 | 863 | 2,270,830.31 | 0.38 | 1.08 (0.98–1.18) | 1.11 (1.01–1.22) | 1.11 (1.02–1.22) | 1.13 (1.03–1.24) | ||
| p | 0.111 | 0.028 | 0.024 | 0.014 | ||||||
| Age < 85 | High WC | No | 714,703 | 1514 | 5,003,212.39 | 0.3 | 1.00 (ref.) | 1.00 (ref.) | 1.00 (ref.) | 1.00 (ref.) |
| Yes | 366,131 | 1,062 | 2,612,341.30 | 0.41 | 1.38 (1.27–1.49) | 1.31 (1.22–1.42) | 1.32 (1.22–1.42) | 1.32 (1.22–1.43) | ||
| p | <0.001 | <0.001 | <0.001 | <0.001 | ||||||
| High TG | No | 765,431 | 1,806 | 5,376,589.48 | 0.34 | 1.00 (ref.) | 1.00 (ref.) | 1.00 (ref.) | 1.00 (ref.) | |
| Yes | 315,403 | 770 | 2,238,964.21 | 0.34 | 1.03 (0.95–1.12) | 1.00 (0.92–1.09) | 1.01 (0.93–1.10) | 1.01 (0.93–1.10) | ||
| p | 0.455 | 0.976 | 0.882 | 0.868 | ||||||
| High BP | No | 446,288 | 995 | 3,118,852.19 | 0.32 | 1.00 (ref.) | 1.00 (ref.) | 1.00 (ref.) | 1.00 (ref.) | |
| Yes | 634,546 | 1581 | 4,496,701.50 | 0.35 | 1.12 (1.03–1.21) | 1.11 (1.03–1.21) | 1.12 (1.03–1.21) | 1.08 (1.00–1.18) | ||
| p | 0.007 | 0.009 | 0.007 | 0.063 | ||||||
| High Glucose | No | 567,289 | 1376 | 4,045,532.82 | 0.34 | 1.00 (ref.) | 1.00 (ref.) | 1.00 (ref.) | 1.00 (ref.) | |
| Yes | 513,545 | 1200 | 3,570,020.87 | 0.34 | 0.97 (0.90–1.05) | 0.97 (0.90–1.05) | 0.97 (0.90–1.05) | 0.99 (0.91–1.08) | ||
| p | 0.397 | 0.502 | 0.512 | 0.791 | ||||||
| Low HDL | No | 683,986 | 1534 | 4,831,468.17 | 0.32 | 1.00 (ref.) | 1.00 (ref.) | 1.00 (ref.) | 1.00 (ref.) | |
| Yes | 396,848 | 1042 | 2,784,085.52 | 0.37 | 1.17 (1.08–1.27) | 1.10 (1.01–1.19) | 1.10 (1.02–1.20) | 1.11 (1.02–1.20) | ||
| p | <0.001 | 0.022 | 0.021 | 0.015 | ||||||
| Age ≥ 85 | High WC | No | 61,021 | 48 | 297,969.31 | 0.16 | 1.00 (ref.) | 1.00 (ref.) | 1.00 (ref.) | 1.00 (ref.) |
| Yes | 22,852 | 21 | 125,042.75 | 0.17 | 1.17 (0.70–1.95) | 1.15 (0.69–1.92) | 1.13 (0.68–1.88) | 1.08 (0.65–1.81) | ||
| p | 0.548 | 0.598 | 0.650 | 0.767 | ||||||
| High TG | No | 62,010 | 54 | 307,199.59 | 0.18 | 1.00 (ref.) | 1.00 (ref.) | 1.00 (ref.) | 1.00 (ref.) | |
| Yes | 21,863 | 15 | 115,812.47 | 0.13 | 0.79 (0.45–1.40) | 0.77 (0.44–1.38) | 0.78 (0.44–1.39) | 0.76 (0.43–1.36) | ||
| p | 0.4136 | 0.3825 | 0.3937 | 0.3597 | ||||||
| High BP | No | 35,852 | 24 | 170,861.12 | 0.14 | 1.00 (ref.) | 1.00 (ref.) | 1.00 (ref.) | 1.00 (ref.) | |
| Yes | 48,021 | 45 | 252,150.94 | 0.18 | 1.40 (0.85–2.30) | 1.38 (0.84–2.26) | 1.36 (0.83–2.24) | 1.24 (0.75–2.03) | ||
| p | 0.185 | 0.211 | 0.224 | 0.406 | ||||||
| High Glucose | No | 44,508 | 35 | 223,987.57 | 0.16 | 1.00 (ref.) | 1.00 (ref.) | 1.00 (ref.) | 1.00 (ref.) | |
| Yes | 39,365 | 34 | 199,024.49 | 0.17 | 1.10 (0.69–1.76) | 1.09 (0.68–1.76) | 1.08 (0.68–1.73) | 1.12 (0.67–1.89) | ||
| p | 0.695 | 0.730 | 0.751 | 0.661 | ||||||
| Low HDL | No | 46,931 | 41 | 246,144.58 | 0.17 | 1.00 (ref.) | 1.00 (ref.) | 1.00 (ref.) | 1.00 (ref.) | |
| Yes | 36,942 | 28 | 176,867.48 | 0.16 | 0.87 (0.54–1.41) | 0.89 (0.54–1.48) | 0.92 (0.55–1.53) | 0.94 (0.56–1.57) | ||
| p | 0.568 | 0.656 | 0.737 | 0.808 |
References
- Wang, C.; Wu, Z.; Lei, L.; Dong, X.; Cao, W.; Luo, Z.; Zheng, Y.; Wang, F.; Xu, Y.; Zhao, L.; et al. Geographic Disparities in Trends of Thyroid Cancer Incidence and Mortality from 1990 to 2019 and a Projection to 2030 across Income-Classified Countries and Territories. J. Glob. Health 2023, 13, 04108. [Google Scholar] [CrossRef]
- Lyu, Z.; Zhang, Y.; Sheng, C.; Huang, Y.; Zhang, Q.; Chen, K. Global Burden of Thyroid Cancer in 2022: Incidence and Mortality Estimates from GLOBOCAN. Chin. Med. J. 2024, 137, 2567. [Google Scholar] [CrossRef]
- Vaccarella, S.; Franceschi, S.; Bray, F.; Wild, C.P.; Plummer, M.; Dal Maso, L. Worldwide Thyroid-Cancer Epidemic? The Increasing Impact of Overdiagnosis. N. Engl. J. Med. 2016, 375, 614–617. [Google Scholar] [CrossRef] [PubMed]
- Lim, H.; Devesa, S.S.; Sosa, J.A.; Check, D.; Kitahara, C.M. Trends in Thyroid Cancer Incidence and Mortality in the United States, 1974–2013. JAMA 2017, 317, 1338–1348. [Google Scholar] [CrossRef]
- Yan, K.L.; Li, S.; Tseng, C.-H.; Kim, J.; Nguyen, D.T.; Dawood, N.B.; Livhits, M.J.; Yeh, M.W.; Leung, A.M. Rising Incidence and Incidence-Based Mortality of Thyroid Cancer in California, 2000–2017. J. Clin. Endocrinol. Metab. 2020, 105, dgaa121. [Google Scholar] [CrossRef] [PubMed]
- Kitahara, C.M.; McCullough, M.L.; Franceschi, S.; Rinaldi, S.; Wolk, A.; Neta, G.; Olov Adami, H.; Anderson, K.; Andreotti, G.; Beane Freeman, L.E.; et al. Anthropometric Factors and Thyroid Cancer Risk by Histological Subtype: Pooled Analysis of 22 Prospective Studies. Thyroid 2016, 26, 306–318. [Google Scholar] [CrossRef]
- Hisan, U.K.; Myung, S.-K.; Nguyen, G.V. Associations Between Obesity and Risk of Thyroid Cancer: A Meta-Analysis of Cohort Studies. Nutr. Cancer 2025, 77, 288–298. [Google Scholar] [CrossRef] [PubMed]
- Park, J.-H.; Choi, M.; Kim, J.-H.; Kim, J.; Han, K.; Kim, B.; Kim, D.-H.; Park, Y.-G. Metabolic Syndrome and the Risk of Thyroid Cancer: A Nationwide Population-Based Cohort Study. Thyroid 2020, 30, 1496–1504. [Google Scholar] [CrossRef]
- Shi, L.-Y.; Liu, J.; Yu, L.-J.; Lei, Y.-M.; Leng, S.X.; Zhang, H.-Y. Clinic-Pathologic Features and Prognostic Analysis of Thyroid Cancer in the Older Adult: A SEER Based Study. J. Cancer 2018, 9, 2744–2750. [Google Scholar] [CrossRef]
- Toniato, A.; Bernardi, C.; Piotto, A.; Rubello, D.; Pelizzo, M.R. Features of Papillary Thyroid Carcinoma in Patients Older than 75 Years. Updates Surg. 2011, 63, 115–118. [Google Scholar] [CrossRef]
- Park, J.; Cho, H.; Yoon, J. Thyroid Cancer in Patients with Metabolic Syndrome or Its Components: A Nationwide Population-Based Cohort Study. Cancers 2022, 14, 4106. [Google Scholar] [CrossRef]
- Song, S.O.; Jung, C.H.; Song, Y.D.; Park, C.-Y.; Kwon, H.-S.; Cha, B.S.; Park, J.-Y.; Lee, K.-U.; Ko, K.S.; Lee, B.-W. Background and Data Configuration Process of a Nationwide Population-Based Study Using the Korean National Health Insurance System. Diabetes Metab. J. 2014, 38, 395. [Google Scholar] [CrossRef]
- Yang, M.S.; Park, M.; Back, J.H.; Lee, G.H.; Shin, J.H.; Kim, K.; Seo, H.J.; Kim, Y.A. Validation of Cancer Diagnosis Based on the National Health Insurance Service Database versus the National Cancer Registry Database in Korea. Cancer Res. Treat. 2022, 54, 352–361. [Google Scholar] [CrossRef]
- Haam, J.-H.; Kim, B.T.; Kim, E.M.; Kwon, H.; Kang, J.-H.; Park, J.H.; Kim, K.-K.; Rhee, S.Y.; Kim, Y.-H.; Lee, K.Y. Diagnosis of Obesity: 2022 Update of Clinical Practice Guidelines for Obesity by the Korean Society for the Study of Obesity. J. Obes. Metab. Syndr. 2023, 32, 121. [Google Scholar] [CrossRef]
- Grundy, S.M.; Cleeman, J.I.; Daniels, S.R.; Donato, K.A.; Eckel, R.H.; Franklin, B.A.; Gordon, D.J.; Krauss, R.M.; Savage, P.J.; Smith, S.C.; et al. Diagnosis and Management of the Metabolic Syndrome. Circulation 2005, 112, 2735–2752. [Google Scholar] [CrossRef] [PubMed]
- Schmid, D.; Ricci, C.; Behrens, G.; Leitzmann, M.F. Adiposity and Risk of Thyroid Cancer: A Systematic Review and Meta-Analysis. Obes. Rev. 2015, 16, 1042–1054. [Google Scholar] [CrossRef] [PubMed]
- Almquist, M.; Johansen, D.; Björge, T.; Ulmer, H.; Lindkvist, B.; Stocks, T.; Hallmans, G.; Engeland, A.; Rapp, K.; Jonsson, H.; et al. Metabolic Factors and Risk of Thyroid Cancer in the Metabolic Syndrome and Cancer Project (Me-Can). Cancer Causes Control 2011, 22, 743–751. [Google Scholar] [CrossRef]
- Manzella, L.; Massimino, M.; Stella, S.; Tirrò, E.; Pennisi, M.S.; Martorana, F.; Motta, G.; Vitale, S.R.; Puma, A.; Romano, C.; et al. Activation of the IGF Axis in Thyroid Cancer: Implications for Tumorigenesis and Treatment. Int. J. Mol. Sci. 2019, 20, 3258. [Google Scholar] [CrossRef]
- Pazaitou-Panayiotou, K.; Polyzos, S.A.; Mantzoros, C.S. Obesity and Thyroid Cancer: Epidemiologic Associations and Underlying Mechanisms. Obes. Rev. 2013, 14, 1006–1022. [Google Scholar] [CrossRef]
- Saji, M.; Ringel, M.D. The PI3K-Akt-mTOR pathway in initiation and progression of thyroid tumors. Mol. Cell. Endocrinol. 2010, 321, 20–28. [Google Scholar] [CrossRef] [PubMed]
- Pathophysiology of Human Visceral Obesity: An Update|Physiological Reviews|American Physiological Society. Available online: https://journals.physiology.org/doi/full/10.1152/physrev.00033.2011?url_ver=Z39.88-2003 (accessed on 13 September 2025).
- Boelaert, K. The Association between Serum TSH Concentration and Thyroid Cancer. Endocr.-Relat. Cancer 2009, 16, 1065–1072. [Google Scholar] [CrossRef] [PubMed]
- Banack, H.R.; Kaufman, J.S.; Wactawski-Wende, J.; Troen, B.R.; Stovitz, S.D. Investigating and Remediating Selection Bias in Geriatrics Research: The Selection Bias Toolkit. J. Am. Geriatr. Soc. 2019, 67, 1970–1976. [Google Scholar] [CrossRef] [PubMed]
- Ospina, N.S.; Papaleontiou, M. Thyroid Nodule Evaluation and Management in Older Adults: A Review of Practical Considerations for Clinical Endocrinologists. Endocr. Pract. 2021, 27, 261–268. [Google Scholar] [CrossRef]
- Holt, P.R.; Altayar, O.; Alpers, D.H. Height with Age Affects Body Mass Index (BMI) Assessment of Chronic Disease Risk. Nutrients 2023, 15, 4694. [Google Scholar] [CrossRef]
- Austin, P.C.; Fine, J.P. Practical Recommendations for Reporting Fine-Gray Model Analyses for Competing Risk Data. Stat. Med. 2017, 36, 4391–4400. [Google Scholar] [CrossRef]
- Simpson, E.R. Sources of Estrogen and Their Importance. J. Steroid Biochem. Mol. Biol. 2003, 86, 225–230. [Google Scholar] [CrossRef] [PubMed]
- Gong, Z.; Yang, S.; Wei, M.; Vlantis, A.C.; Chan, J.Y.K.; van Hasselt, C.A.; Li, D.; Zeng, X.; Xue, L.; Tong, M.C.F.; et al. The Isoforms of Estrogen Receptor Alpha and Beta in Thyroid Cancer. Front. Oncol. 2022, 12, 916804. [Google Scholar] [CrossRef]
- Maggio, M.; Lauretani, F.; Ceda, G.P.; Bandinelli, S.; Basaria, S.; Paolisso, G.; Ble, A.; Egan, J.M.; Metter, E.J.; Abbatecola, A.M.; et al. Association of Hormonal Dysregulation with Metabolic Syndrome in Older Women: Data from the InCHIANTI Study. Am. J. Physiol. Endocrinol. Metab. 2007, 292, E353–E358. [Google Scholar] [CrossRef]


| No Thyroid Cancer | Thyroid Cancer | p | |
|---|---|---|---|
| (n = 1,162,062) | (n = 2645) | ||
| Age group | <0.001 | ||
| 75–84 years | 1,078,258 (92.8%) | 2576 (97.4%) | |
| ≥85 years | 83,804 (7.2%) | 69 (2.6%) | |
| Sex, male | 462,093 (39.8%) | 853 (32.3%) | <0.001 |
| BMI | <0.001 | ||
| <18.5 kg/m2 | 63,002 (5.4%) | 63 (2.4%) | |
| 18.5–22.9 kg/m2 | 445,969 (38.4%) | 819 (31.0%) | |
| 23.0–24.9 kg/m2 | 284,414 (24.5%) | 676 (25.6%) | |
| 25.0–29.9 kg/m2 | 333,112 (28.7%) | 975 (36.9%) | |
| ≥30.0 kg/m2 | 35,565 (3.1%) | 112 (4.2%) | |
| Waist Circumference | <0.001 | ||
| <80/75 cm | 268,619 (23.1%) | 424 (16.0%) | |
| 80/75–84/79 cm | 237,476 (20.4%) | 508 (19.2%) | |
| 85/80–89/84 cm | 268,067 (23.1%) | 630 (23.8%) | |
| 90/85–94/89 cm | 200,358 (17.2%) | 546 (20.6%) | |
| 95/90–99/94 cm | 114,357 (9.8%) | 318 (12.0%) | |
| ≥100/95 cm | 73,185 (6.3%) | 219 (8.3%) | |
| Smoking status | <0.001 | ||
| Non-smoker | 904,894 (77.9%) | 2158 (81.6%) | |
| Ex-smoker | 171,878 (14.8%) | 318 (12.0%) | |
| Current smoker | 85,290 (7.3%) | 169 (6.4%) | |
| Drinking status | 0.009 | ||
| Non-drinker | 967,623 (83.3%) | 2260 (85.4%) | |
| Mild drinker | 163,707 (14.1%) | 329 (12.4%) | |
| Heavy drinker | 30,732 (2.6%) | 56 (2.1%) | |
| Regular exercise | 168,984 (14.5%) | 422 (16.0%) | 0.04 |
| Diabetes mellitus | 276,479 (23.8%) | 602 (22.8%) | 0.213 |
| Hypertension | 838,385 (72.2%) | 1986 (75.1%) | 0.001 |
| Dyslipidemia | 449,518 (38.7%) | 1090 (41.2%) | 0.008 |
| CKD | 324,167 (27.9%) | 643 (24.3%) | <0.001 |
| Age (years) | 78.7 ± 3.6 | 77.7 ± 2.7 | <0.001 |
| BMI (kg/m2) | 23.5 ± 3.3 | 24.3 ± 3.1 | <0.001 |
| WC (cm) | 82.9 ± 8.9 | 84.3 ± 8.5 | <0.001 |
| Systolic BP (mmHg) | 130.8 ± 16.0 | 131.7 ± 15.9 | 0.005 |
| Diastolic BP (mmHg) | 77.1 ± 10.0 | 77.8 ± 10.1 | <0.001 |
| HDL-C (mg/dL) | 52.2 ± 14.1 | 51.6 ± 13.0 | 0.041 |
| LDL-C (mg/dL) | 111.4 ± 35.5 | 110.8 ± 35.0 | 0.379 |
| Fasting glucose (mg/dL) | 104.9 ± 27.2 | 104.1 ± 24.7 | 0.122 |
| Total cholesterol (mg/dL) | 189.8 ± 39.3 | 188.7 ± 37.9 | 0.145 |
| Triglycerides (mg/dL) * | 116.7 (116.6–116.8) | 117.0 (115.0–119.1) | <0.001 |
| Subgroup | Variable | n | Events | IR per 1000 PY | Model 1 HR (95% CI) | Model 2 HR (95% CI) | Model 3 HR (95% CI) | Model 4 HR (95% CI) |
|---|---|---|---|---|---|---|---|---|
| Total | MetS− | 757,931 | 1598 | 0.31 | 1.00 (ref.) | 1.00 (ref.) | 1.00 (ref.) | 1.00 (ref.) |
| MetS+ | 406,776 | 1047 | 0.37 | 1.22 (1.13, 1.32) | 1.17 (1.08, 1.26) | 1.17 (1.08, 1.26) | 1.18 (1.09, 1.28) | |
| p | <0.001 | <0.001 | <0.001 | <0.001 | ||||
| BMI < 25.0 kg/m2 | 794,943 | 1558 | 0.29 | 1.00 (ref.) | 1.00 (ref.) | 1.00 (ref.) | 1.00 (ref.) | |
| BMI ≥ 25.0 kg/m2 | 369,764 | 1087 | 0.41 | 1.51 (1.40, 1.63) | 1.38 (1.27, 1.49) | 1.38 (1.27, 1.49) | 1.37 (1.27, 1.49) | |
| p | <0.001 | <0.001 | <0.001 | <0.001 | ||||
| Men | MetS− | 337,661 | 599 | 0.27 | 1.00 (ref.) | 1.00 (ref.) | 1.00 (ref.) | 1.00 (ref.) |
| MetS+ | 125,285 | 254 | 0.31 | 1.15 (0.99, 1.33) | 1.13 (0.97, 1.31) | 1.13 (0.98, 1.31) | 1.16 (1.00, 1.35) | |
| p | 0.068 | 0.106 | 0.101 | 0.049 | ||||
| BMI < 25.0 kg/m2 | 340,404 | 566 | 0.26 | 1.00 (ref.) | 1.00 (ref.) | 1.00 (ref.) | 1.00 (ref.) | |
| BMI ≥ 25.0 kg/m2 | 122,542 | 287 | 0.34 | 1.42 (1.23, 1.63) | 1.37 (1.19, 1.58) | 1.37 (1.19, 1.58) | 1.40 (1.21, 1.62) | |
| p | <0.001 | <0.001 | <0.001 | <0.001 | ||||
| Women | MetS− | 420,270 | 999 | 0.33 | 1.00 (ref.) | 1.00 (ref.) | 1.00 (ref.) | 1.00 (ref.) |
| MetS+ | 281,491 | 793 | 0.4 | 1.19 (1.08, 1.30) | 1.18 (1.08, 1.30) | 1.19 (1.08, 1.30) | 1.19 (1.08, 1.31) | |
| p | <0.001 | <0.001 | <0.001 | 0.001 | ||||
| BMI < 25.0 kg/m2 | 454,539 | 992 | 0.31 | 1.00 (ref.) | 1.00 (ref.) | 1.00 (ref.) | 1.00 (ref.) | |
| BMI ≥ 25.0 kg/m2 | 247,222 | 800 | 0.44 | 1.49 (1.36, 1.64) | 1.38 (1.26, 1.51) | 1.38 (1.26, 1.51) | 1.36 (1.24, 1.50) | |
| p | <0.001 | <0.001 | <0.001 | <0.001 | ||||
| Age 75–84 | MetS− | 701,522 | 1555 | 0.32 | 1.00 (ref.) | 1.00 (ref.) | 1.00 (ref.) | 1.00 (ref.) |
| MetS+ | 379,312 | 1021 | 0.38 | 1.22 (1.12, 1.32) | 1.16 (1.07, 1.26) | 1.17 (1.08, 1.26) | 1.18 (1.08, 1.28) | |
| p | <0.001 | <0.001 | <0.001 | <0.001 | ||||
| BMI < 25.0 kg/m2 | 727,495 | 1512 | 0.3 | 1.00 (ref.) | 1.00 (ref.) | 1.00 (ref.) | 1.00 (ref.) | |
| BMI ≥ 25.0 kg/m2 | 353,339 | 1064 | 0.42 | 1.46 (1.35, 1.58) | 1.37 (1.26, 1.48) | 1.37 (1.26, 1.48) | 1.36 (1.26, 1.48) | |
| p | <0.001 | <0.001 | <0.001 | <0.001 | ||||
| Age ≥ 85 | MetS− | 56,409 | 43 | 0.15 | 1.00 (ref.) | 1.00 (ref.) | 1.00 (ref.) | 1.00 (ref.) |
| MetS+ | 27,464 | 26 | 0.18 | 1.24 (0.76, 2.02) | 1.24 (0.75, 2.03) | 1.24 (0.75, 2.04) | 1.22 (0.73, 2.03) | |
| p | 0.380 | 0.406 | 0.402 | 0.454 | ||||
| BMI < 25.0 kg/m2 | 67,448 | 46 | 0.14 | 1.00 (ref.) | 1.00 (ref.) | 1.00 (ref.) | 1.00 (ref.) | |
| BMI ≥ 25.0 kg/m2 | 16,425 | 23 | 0.24 | 2.06 (1.25, 3.39) | 1.99 (1.22, 3.26) | 1.95 (1.19, 3.20) | 1.90 (1.13, 3.18) | |
| p | 0.005 | 0.006 | 0.008 | 0.015 |
| MetS and Obesity | n | Events | PY | IR per 1000 PY | Model 1 HR (95% CI) | Model 2 HR (95% CI) | Model 3 HR (95% CI) | Model 4 HR (95% CI) | |
|---|---|---|---|---|---|---|---|---|---|
| Total | (−) & (−) | 597,915 | 1111 | 4,054,226.80 | 0.27 | 1.00 (ref.) | 1.00 (ref.) | 1.00 (ref.) | 1.00 (ref.) |
| (−) & (+) | 160,016 | 487 | 1,159,306.59 | 0.42 | 1.65 (1.48–1.83) | 1.50 (1.35–1.67) | 1.50 (1.35–1.67) | 1.49 (1.34–1.66) | |
| (+) & (−) | 197,028 | 447 | 1,330,252.59 | 0.34 | 1.22 (1.10–1.36) | 1.19 (1.06–1.32) | 1.19 (1.07–1.33) | 1.21 (1.08–1.35) | |
| (+) & (+) | 209,748 | 600 | 1,494,779.76 | 0.40 | 1.55 (1.40–1.71) | 1.40 (1.27–1.55) | 1.40 (1.27–1.55) | 1.42 (1.28–1.58) | |
| p for trend | <0.0001 | <0.0001 | <0.0001 | <0.0001 | |||||
| Male | (−) & (−) | 278,328 | 456 | 1,803,270.40 | 0.25 | 1.00 (ref.) | 1.00 (ref.) | 1.00 (ref.) | 1.00 (ref.) |
| (−) & (+) | 59,333 | 143 | 411,302.23 | 0.35 | 1.48 (1.23–1.79) | 1.43 (1.18–1.72) | 1.43 (1.19–1.73) | 1.45 (1.20–1.75) | |
| (+) & (−) | 62,076 | 110 | 393,423.42 | 0.28 | 1.08 (0.88–1.34) | 1.08 (0.87–1.33) | 1.08 (0.88–1.33) | 1.12 (0.90–1.38) | |
| (+) & (+) | 63,209 | 144 | 427,966.35 | 0.34 | 1.40 (1.16–1.69) | 1.35 (1.12–1.63) | 1.36 (1.12–1.64) | 1.41 (1.17–1.72) | |
| p for trend | <0.0001 | 0.0002 | 0.0002 | <0.0001 | |||||
| Female | (−) & (−) | 319,587 | 655 | 2,250,956.41 | 0.29 | 1.00 (ref.) | 1.00 (ref.) | 1.00 (ref.) | 1.00 (ref.) |
| (−) & (+) | 100,683 | 344 | 748,004.36 | 0.46 | 1.68 (1.47–1.91) | 1.54 (1.35–1.76) | 1.54 (1.35–1.75) | 1.52 (1.33–1.73) | |
| (+) & (−) | 134,952 | 337 | 936,829.18 | 0.36 | 1.22 (1.07–1.39) | 1.24 (1.09–1.42) | 1.25 (1.09–1.42) | 1.26 (1.10–1.43) | |
| (+) & (+) | 146,539 | 456 | 1,066,813.41 | 0.43 | 1.53 (1.35–1.72) | 1.43 (1.27–1.62) | 1.44 (1.27–1.62) | 1.44 (1.27–1.63) | |
| p for trend | <0.0001 | <0.0001 | <0.0001 | <0.0001 | |||||
| Age < 85 | (−) & (−) | 548,177 | 1079 | 3,814,253.73 | 0.28 | 1.00 (ref.) | 1.00 (ref.) | 1.00 (ref.) | 1.00 (ref.) |
| (−) & (+) | 153,345 | 476 | 1,120,811.61 | 0.42 | 1.59 (1.42–1.77) | 1.48 (1.33–1.65) | 1.48 (1.33–1.65) | 1.47 (1.32–1.64) | |
| (+) & (−) | 179,318 | 433 | 1,241,706.65 | 0.35 | 1.23 (1.10–1.37) | 1.19 (1.06–1.33) | 1.19 (1.06–1.33) | 1.21 (1.08–1.35) | |
| (+) & (+) | 199,994 | 588 | 1,438,781.71 | 0.41 | 1.50 (1.36–1.66) | 1.39 (1.26–1.54) | 1.40 (1.26–1.54) | 1.42 (1.28–1.57) | |
| p | <0.0001 | <0.0001 | <0.0001 | <0.0001 | |||||
| Age ≥ 85 | (−) & (−) | 49,738 | 32 | 239,973.07 | 0.13 | 1.00 (ref.) | 1.00 (ref.) | 1.00 (ref.) | 1.00 (ref.) |
| (−) & (+) | 6671 | 11 | 38,494.99 | 0.29 | 2.57 (1.30–5.09) | 2.49 (1.26–4.93) | 2.44 (1.23–4.85) | 2.34 (1.16–4.69) | |
| (+) & (−) | 17,710 | 14 | 88,545.95 | 0.16 | 1.23 (0.66–2.31) | 1.24 (0.66–2.32) | 1.25 (0.67–2.33) | 1.24 (0.66–2.33) | |
| (+) & (+) | 9754 | 12 | 55,998.05 | 0.21 | 1.92 (0.99–3.72) | 1.86 (0.96–3.62) | 1.83 (0.94–3.56) | 1.80 (0.90–3.59) | |
| p for trend | 0.0289 | 0.0357 | 0.0453 | 0.0749 |
Disclaimer/Publisher’s Note: The statements, opinions and data contained in all publications are solely those of the individual author(s) and contributor(s) and not of MDPI and/or the editor(s). MDPI and/or the editor(s) disclaim responsibility for any injury to people or property resulting from any ideas, methods, instructions or products referred to in the content. |
© 2025 by the authors. Licensee MDPI, Basel, Switzerland. This article is an open access article distributed under the terms and conditions of the Creative Commons Attribution (CC BY) license.
Share and Cite
Han, K.D.; Jo, K.H.; Cho, Y.; Kwon, H.-S.; Han, J.-H.; Moon, S.-D.; Kim, E.S. Central Adiposity, Obesity, Metabolic Syndrome, and the Risk of Thyroid Cancer in Adults Aged ≥75 Years: A Nationwide Korean Cohort Study. Cancers 2026, 18, 49. https://doi.org/10.3390/cancers18010049
Han KD, Jo KH, Cho Y, Kwon H-S, Han J-H, Moon S-D, Kim ES. Central Adiposity, Obesity, Metabolic Syndrome, and the Risk of Thyroid Cancer in Adults Aged ≥75 Years: A Nationwide Korean Cohort Study. Cancers. 2026; 18(1):49. https://doi.org/10.3390/cancers18010049
Chicago/Turabian StyleHan, Kyung Do, Kwan Hoon Jo, Yunjung Cho, Hyuk-Sang Kwon, Je-Ho Han, Sung-Dae Moon, and Eun Sook Kim. 2026. "Central Adiposity, Obesity, Metabolic Syndrome, and the Risk of Thyroid Cancer in Adults Aged ≥75 Years: A Nationwide Korean Cohort Study" Cancers 18, no. 1: 49. https://doi.org/10.3390/cancers18010049
APA StyleHan, K. D., Jo, K. H., Cho, Y., Kwon, H.-S., Han, J.-H., Moon, S.-D., & Kim, E. S. (2026). Central Adiposity, Obesity, Metabolic Syndrome, and the Risk of Thyroid Cancer in Adults Aged ≥75 Years: A Nationwide Korean Cohort Study. Cancers, 18(1), 49. https://doi.org/10.3390/cancers18010049

