The Impact of Paratracheal Lymphadenectomy on Survival After Esophagectomy: A Nationwide Propensity Score Matched Analysis
Simple Summary
Abstract
1. Introduction
2. Methods
2.1. Study Design
2.2. DUCA Data and Survival Data Collection
2.3. Patient Population
2.4. Outcome Measures
2.5. Statistical Analyses
3. Results
3.1. Patient Population
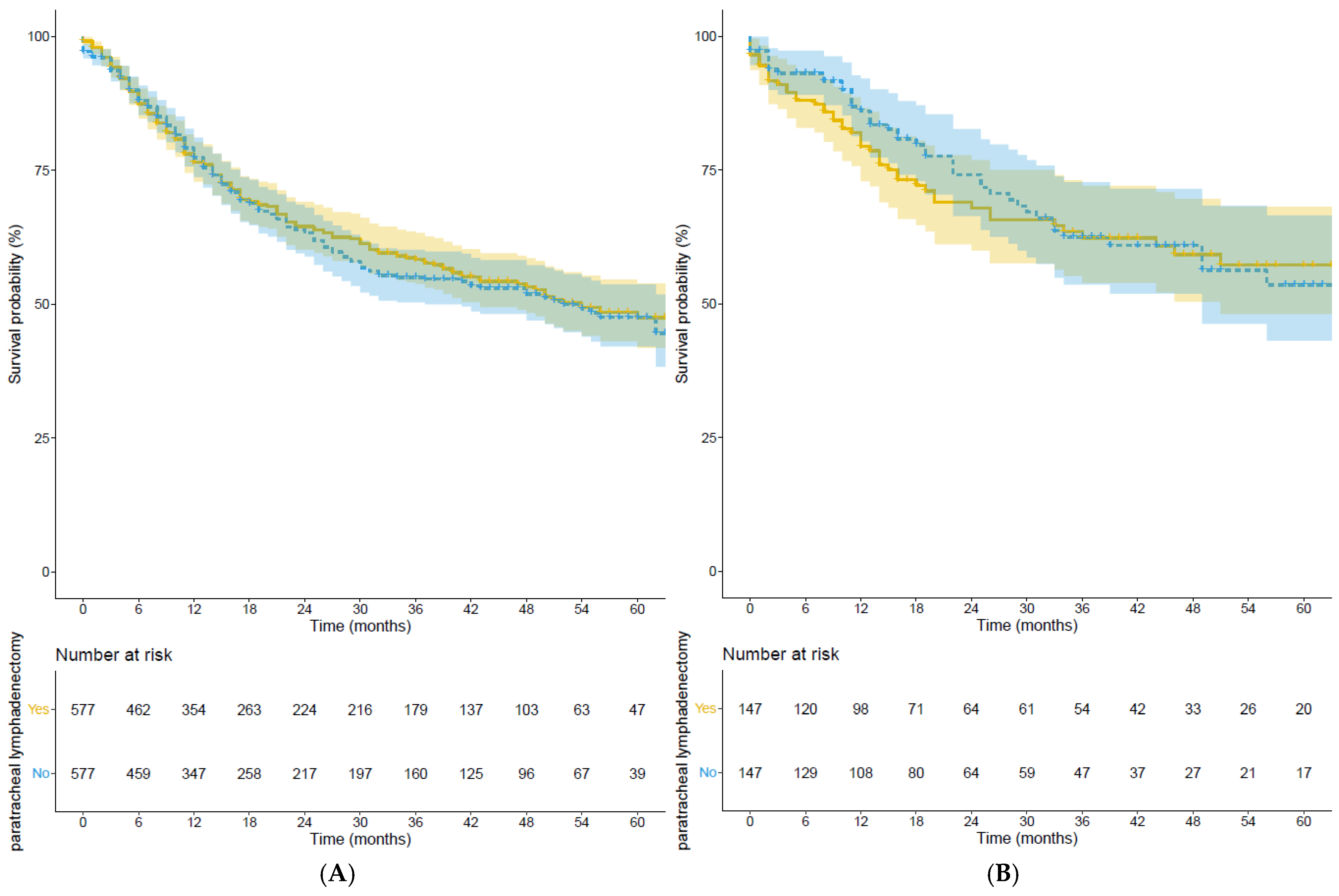
3.2. Adenocarcinoma
3.3. Squamous Cell Carcinoma
4. Discussion
5. Conclusions
Author Contributions
Funding
Institutional Review Board Statement
Informed Consent Statement
Data Availability Statement
Conflicts of Interest
References
- Lordick, F.; Mariette, C.; Haustermans, K.; Obermannová, R.; Arnold, D. Oesophageal cancer: ESMO Clinical Practice Guidelines for diagnosis, treatment and follow-up. Ann. Oncol. 2016, 27, v50–v57. [Google Scholar] [CrossRef] [PubMed]
- Obermannová, R.; Alsina, M.; Cervantes, A.; Leong, T.; Lordick, F.; Nilsson, M.; van Grieken, N.; Vogel, A.; Smyth, E.C.; ESMO Guidelines Committee. Oesophageal cancer: ESMO Clinical Practice Guideline for diagnosis, treatment and follow-up. Ann. Oncol. 2022, 33, 992–1004. [Google Scholar] [CrossRef]
- Ng, C.B.; Chiu, C.-H.; Yeh, C.-J.; Chang, Y.-C.; Hou, M.-M.; Tseng, C.-K.; Liu, Y.-H.; Chao, Y.-K. Temporal Trends in Survival Outcomes for Patients with Esophageal Cancer Following Neoadjuvant Chemoradiotherapy: A 14-Year Analysis. Ann. Surg. Oncol. 2024, 31, 6652–6661. [Google Scholar] [CrossRef] [PubMed]
- Biere, S.S.; van Berge Henegouwen, M.I.; Maas, K.W.; Bonavina, L.; Rosman, C.; Garcia, J.R.; Gisbertz, S.S.; Klinkenbijl, J.H.; Hollmann, M.W.; de Lange, E.S.; et al. Minimally invasive versus open oesophagectomy for patients with oesophageal cancer: A multicentre, open-label, randomised controlled trial. Lancet 2012, 379, 1887–1892. [Google Scholar] [CrossRef]
- Shapiro, J.; van Lanschot, J.J.B.; Hulshof, M.C.C.M.; van Hagen, P.; van Berge Henegouwen, M.I.; Wijnhoven, B.P.L.; van Laarhoven, H.W.M.; Nieuwenhuijzen, G.A.P.; Hospers, G.A.P.; Bonenkamp, J.J.; et al. Neoadjuvant chemoradiotherapy plus surgery versus surgery alone for oesophageal or junctional cancer (CROSS): Long-term results of a randomised controlled trial. Lancet Oncol. 2015, 16, 1090–1098. [Google Scholar] [CrossRef] [PubMed]
- Low, D.E.; Kuppusamy, M.K.; Alderson, D.; Cecconello, I.; Chang, A.C.; Darling, G.; Davies, A.; D’journo, X.B.; Gisbertz, S.S.; Griffin, S.M.; et al. Benchmarking Complications Associated with Esophagectomy. Ann. Surg. 2019, 269, 291–298. [Google Scholar] [CrossRef]
- Xia, L.; Shi, W.; Cai, Y.; Liao, Z.M.; Huang, Z.; Qiu, H.; Wang, J.; Chen, Y. Comparison of long-term survival of neoadjuvant therapy plus surgery versus upfront surgery and the role of adjuvant therapy for T1b-2N0-1 esophageal cancer: A population study of the SEER database and Chinese cohort. Int. J. Surg. 2024, 111, 70–79. [Google Scholar] [CrossRef]
- Gupta, V.; Coburn, N.; Kidane, B.; Hess, K.R.; Compton, C.; Ringash, J.; Darling, G.; Mahar, A.L. Survival prediction tools for esophageal and gastroesophageal junction cancer: A systematic review. J. Thorac. Cardiovasc. Surg. 2018, 156, 847–856. [Google Scholar] [CrossRef]
- Yamasaki, M.; Miyata, H.; Miyazaki, Y.; Takahashi, T.; Kurokawa, Y.; Nakajima, K.; Takiguchi, S.; Mori, M.; Doki, Y. Evaluation of the nodal status in the 7th edition of the UICC-TNM classification for esophageal squamous cell carcinoma: Proposed modifications for improved survival stratification: Impact of lymph node metastases on overall survival after esophagectomy. Ann. Surg. Oncol. 2014, 21, 2850–2856. [Google Scholar] [CrossRef]
- Miyata, H.; Sugimura, K.; Yamasaki, M.; Makino, T.; Tanaka, K.; Morii, E.; Omori, T.; Yamamoto, K.; Yanagimoto, Y.; Yano, M.; et al. Clinical Impact of the Location of Lymph Node Metastases After Neoadjuvant Chemotherapy for Middle and Lower Thoracic Esophageal Cancer. Ann. Surg. Oncol. 2018, 26, 200–208. [Google Scholar] [CrossRef]
- Phillips, A.W.; Lagarde, S.M.; Navidi, M.; Disep, B.; Griffin, S.M. Impact of Extent of Lymphadenectomy on Survival, Post Neoadjuvant Chemotherapy and Transthoracic Esophagectomy. Ann. Surg. 2017, 265, 750–756. [Google Scholar] [CrossRef] [PubMed]
- DICA Jaarrapportage 2018 [Internet]. Available online: https://dica.nl/ (accessed on 1 January 2019).
- Park, S.Y.; Kim, D.J.; Son, T.; Lee, Y.C.; Lee, C.Y.; Lee, J.G.; Chung, K.Y. Extent of Mediastinal Lymphadenectomy and Survival in Superficial Esophageal Squamous Cell Carcinoma. J. Gastrointest. Surg. 2017, 21, 1584–1590. [Google Scholar] [CrossRef]
- Kingma, B.; Hagens, E.; van Berge Henegouwen, M.; Borggreve, A.; Ruurde, J.; Gisbertz, S.; van Hillegersberg, R. The impact of paratracheal lymphadenectomy on nodal yield and clinical outcomes in esophagectomy for cancer: A nation-wide propensity score-matched analysis. Dig. Surg. 2023, 40, 58–68. [Google Scholar] [CrossRef]
- Vectis. Vektis [Internet]. Available online: https://www.vektis.nl/ (accessed on 1 July 2024).
- Lonjon, G.; Porcher, R.; Ergina, P.; Fouet, M.; Boutron, I. Potential Pitfalls of Reporting and Bias in Observational Studies with Propensity Score Analysis Assessing a Surgical Procedure: A Methodological Systematic Review. Ann. Surg. 2017, 265, 901–909. [Google Scholar] [CrossRef] [PubMed]
- Visser, E.; Markar, S.R.; Ruurda, J.P.; Hanna, G.B.; van Hillegersberg, R. Prognostic Value of Lymph Node Yield on Overall Survival in Esophageal Cancer Patients: A Systematic Review and Meta-analysis. Ann Surg. 2019, 269, 261–268. [Google Scholar] [CrossRef]
- Voeten, D.M.; Busweiler, L.A.D.; van der Werf, L.R.; Wijnhoven, B.P.L.; Verhoeven, R.H.A.; van Sandick, J.W.; van Hillegersberg, R.; van Berge Henegouwen, M.I.; Dutch Upper Gastrointestinal Cancer Audit (DUCA) Group. Outcomes of Esophagogastric Cancer Surgery During Eight Years of Surgical Auditing by the Dutch Upper Gastrointestinal Cancer Audit (DUCA). Ann Surg. 2021, 274, 866–873. [Google Scholar] [CrossRef]
- Visser, E.; van Rossum, P.S.N.; Ruurda, J.P.; van Hillegersberg, R. Impact of Lymph Node Yield on Overall Survival in Patients Treated with Neoadjuvant Chemoradiotherapy Followed by Esophagectomy for Cancer. Ann. Surg. 2017, 266, 863–869. [Google Scholar] [CrossRef]
- The Registration Committee for Esophageal Cancer of the Japan Esophageal Society; Tachimori, Y.; Ozawa, S.; Numasaki, H.; Matsubara, H.; Shinoda, M.; Toh, Y.; Udagawa, H.; Fujishiro, M.; Oyama, T.; et al. Efficacy of lymph node dissection by node zones according to tumor location for esophageal squamous cell carcinoma. Esophagus 2015, 13, 1–7. [Google Scholar] [CrossRef]
- Kosugi, S.-I.; Ichikawa, H.; Hanyu, T.; Ishikawa, T.; Wakai, T. Appropriate extent of lymphadenectomy for squamous cell carcinoma of the esophagogastric junction. Int. J. Surg. 2017, 44, 339–343. [Google Scholar] [CrossRef]
- Harada, K.; Hwang, H.; Wang, X.; Abdelhakeem, A.; Iwatsuki, M.; Murphy, M.A.B.; Maru, D.M.; Weston, B.; Lee, J.H.; Rogers, J.E.; et al. Frequency and Implications of Paratracheal Lymph Node Metastases in Resectable Esophageal or Gastroesophageal Junction Adenocarcinoma. Ann. Surg. 2019, 273, 751–757. [Google Scholar] [CrossRef]
- Kurokawa, Y.; Hiki, N.; Yoshikawa, T.; Kishi, K.; Ito, Y.; Ohi, M.; Wada, N.; Takiguchi, S.; Mine, S.; Hasegawa, S.; et al. Mediastinal lymph node metastasis and recurrence in adenocarcinoma of the esophagogastric junction. Surgery 2015, 157, 551–555. [Google Scholar] [CrossRef]
- KKurokawa, Y.; Takeuchi, H.; Doki, Y.; Mine, S.; Terashima, M.; Yasuda, T.; Yoshida, K.; Daiko, H.; Sakuramoto, S.; Yoshikawa, T.; et al. Mapping of Lymph Node Metastasis from Esophagogastric Junction Tumors: A Prospective Nationwide Multicenter Study. Ann. Surg. 2021, 274, 120–127. [Google Scholar] [CrossRef] [PubMed]
- Taniyama, Y.; Miyata, G.; Kamei, T.; Nakano, T.; Abe, S.; Katsura, K.; Sakurai, T.; Teshima, J.; Hikage, M.; Ohuchi, N. Complications following recurrent laryngeal nerve lymph node dissection in oesophageal cancer surgery. Interact. Cardiovasc. Thorac. Surg. 2014, 20, 41–46. [Google Scholar] [CrossRef] [PubMed]
- Tan, Z.; Ma, G.; Zhao, J.; Bella, A.E.; Rong, T.; Fu, J.; Meng, Y.; Luo, K.; Situ, D.; Lin, P. Impact of Thoracic Recurrent Laryngeal Node Dissection: 508 Patients with Tri-Incisional Esophagectomy. J. Gastrointest. Surg. 2014, 18, 187–193. [Google Scholar] [CrossRef] [PubMed]
- van Rijswijk, A.S.; Hagens, E.R.C.; van der Peet, D.L.; Henegouwen, M.I.V.B.; Gisbertz, S.S. Differences in Esophageal Cancer Surgery in Terms of Surgical Approach and Extent of Lymphadenectomy: Findings of an International Survey. Ann. Surg. Oncol. 2019, 26, 2063–2072. [Google Scholar] [CrossRef]
- Ketel, M.H.M.; van der Aa, D.C.; Henckens, S.P.G.; Rosman, C.; Henegouwen, M.I.v.B.; Klarenbeek, B.R.; Gisbertz, S.S.; DES Collaboration Group. Extent and Boundaries of Lymph Node Stations During Minimally Invasive Esophagectomy: A Survey Among Dutch Esophageal Surgeons. Ann. Surg. Oncol. 2024, 31, 5683–5696. [Google Scholar] [CrossRef]
- Van Heijl, M.; Van Wijngaarden, A.K.S.; Lagarde, S.M.; Busch, O.R.C.; Van Lanschot, J.J.B.; Van Berge Henegouwen, M.I. Intrathoracic manifestations of cervical anastomotic leaks after transhiatal and transthoracic oesophagectomy. Br. J. Surg. 2010, 97, 726–731. [Google Scholar] [CrossRef]


| Before Propensity Score Matching | After Propensity Score Matching | |||||||||
|---|---|---|---|---|---|---|---|---|---|---|
| Paratrachael Lymphadenectomy | Paratrachael Lymphadenectomy | |||||||||
| Yes (n = 959) | No (n = 748) | Yes (n = 577) | No (n = 577) | |||||||
| N | (%) | N | (%) | SMD | N | (%) | N | (%) | SMD | |
| Gender, female | 152 | (16) | 124 | (17) | 0.020 | 95 | (17) | 94 | (16) | 0.005 | 
| Age, mean (SD) | 64 | (10) | 64 | (9) | 0.088 | 64 | (10) | 65 | (9) | 0.090 | 
| BMI, mean (SD) | 26 | (4) | 27 | (4) | 0.078 | 27 | (4) | 27 | (4) | 0.074 | 
| Comorbidity | ||||||||||
| Pulmonary | 149 | (16) | 125 | (17) | 0.032 | 96 | (17) | 88 | (15) | 0.038 | 
| Cardiac | 201 | (21) | 162 | (22) | 0.017 | 118 | (21) | 134 | (23) | 0.067 | 
| Vascular | 348 | (36) | 247 | (33) | 0.069 | 193 | (33) | 190 | (33) | 0.011 | 
| Diabetes | 148 | (15) | 118 | (16) | 0.009 | 92 | (16) | 96 | (17) | 0.019 | 
| Neurological | 124 | (13) | 80 | (11) | 0.069 | 70 | (12) | 58 | (10) | 0.066 | 
| Previous thoracic or abdominal surgery | 296 | (31) | 206 | (28) | 0.073 | 171 | (30) | 158 | (27) | 0.050 | 
| ASA score | 0.145 | 0.098 | ||||||||
| I | 166 | (17) | 131 | (18) | 106 | (18) | 102 | (18) | ||
| II | 584 | (61) | 491 | (66) | 356 | (62) | 380 | (66) | ||
| III | 206 | (22) | 126 | (16) | 115 | (20) | 95 | (16) | ||
| IV | 3 | (<1) | 0 | 0 | 0 | |||||
| Tumor location | 0.100 | 0.045 | ||||||||
| Upper or Middle third | 67 | (7) | 37 | (5) | 31 | (5) | 36 | (6) | ||
| Distal third | 698 | (73) | 541 | (72) | 420 | (73) | 410 | (71) | ||
| GEJ | 194 | (20) | 170 | (23) | 126 | (22) | 131 | (23) | ||
| Year of surgery | 0.420 | 0.039 | ||||||||
| 2011–2012 | 318 | (33) | 122 | (16) | 104 | (18) | 108 | (19) | ||
| 2013–2014 | 349 | (36) | 294 | (39) | 239 | (41) | 228 | (39) | ||
| 2016–2017 | 292 | (31) | 332 | (45) | 234 | (41) | 241 | (42) | ||
| Location of anastomosis | 0.762 | 0.070 | ||||||||
| Cervical | 576 | (61) | 186 | (25) | 202 | (35) | 183 | (32) | ||
| Intrathoracic | 383 | (39) | 562 | (75) | 375 | (65) | 394 | (68) | ||
| Clinical T stage | 0.054 | 0.067 | ||||||||
| cT1 | 34 | (4) | 20 | (3) | 21 | (4) | 16 | (3) | ||
| cT2 | 173 | (18) | 131 | (17) | 107 | (18) | 98 | (17) | ||
| cT3 | 686 | (71) | 546 | (73) | 411 | (71) | 424 | (73) | ||
| cT4 | 66 | (7) | 51 | (7) | 38 | (7) | 39 | (7) | ||
| Clinical N stage | 0.153 | 0.067 | ||||||||
| cN0 | 313 | (33) | 275 | (37) | 211 | (37) | 202 | (35) | ||
| cN1 | 398 | (42) | 317 | (42) | 230 | (40) | 244 | (42) | ||
| cN2 | 209 | (21) | 141 | (19) | 123 | (21) | 118 | (21) | ||
| cN3 | 39 | (4) | 15 | (2) | 13 | (2) | 13 | (2) | ||
| Neoadjuvant treatment | 902 | (94) | 696 | (93) | 0.041 | 534 | (93) | 535 | (93) | 0.007 | 
| Paratrachael Lymphadenectomy | |||||
|---|---|---|---|---|---|
| Yes (n = 577) | No (n = 577) | ||||
| N | (%) | N | (%) | p-Value | |
| Lymph node yield, median [IQR] | |||||
| Total | 22 | (17–30) | 19 | (15–25) | <0.001 | 
| Tumor-positive | 0 | (0–2) | 0 | (0–2) | 0.169 | 
| pN stage | 0.373 | ||||
| N0 | 336 | (58) | 363 | (63) | |
| N1 | 125 | (22) | 105 | (18) | |
| N2 | 74 | (13) | 67 | (12) | |
| N3 | 42 | (7) | 42 | (7) | |
| Unknown | |||||
| Radicality | 0.395 | ||||
| R0 | 549 | (95) | 539 | (94) | |
| R1–2 | 26 | (5) | 37 | (6) | |
| Unknown | 2 | (<1) | 1 | (<1) | |
| Postoperative complications | |||||
| Yes, any | 350 | (61) | 347 | (60) | 0.857 | 
| Recurrent laryngeal nerve injury | 59 | (10) | 30 | (5) | 0.002 | 
| Anastomotic leakage | 146 | (25) | 145 | (25) | 0.946 | 
| Pulmonary complications | 185 | (32) | 199 | (35) | 0.417 | 
| Chylothorax | 55 | (10) | 31 | (5) | 0.010 | 
| Re-interventions | |||||
| Yes, any | 152 | (26) | 142 | (25) | 0.543 | 
| Radiological | 58 | (10) | 61 | (11) | 0.847 | 
| Endoscopic | 67 | (12) | 54 | (9) | 0.933 | 
| Re-operation | 81 | (14) | 82 | (14) | 0.933 | 
| Length of hospital stay, median [IQR] | 13 | (10–22) | 13 | (9–19) | 0.515 | 
| Mortality (in-hospital or within 30 days after surgery) | 12 | (2) | 20 | (4) | 0.289 | 
| Before Propensity Score Matching | After Propensity Score Matching | |||||||||
|---|---|---|---|---|---|---|---|---|---|---|
| Paratrachael Lymphadenectomy | Paratrachael Lymphadenectomy | |||||||||
| Yes (n = 363) | No (n = 165) | Yes (n = 147) | No (n = 147) | |||||||
| N | (%) | N | (%) | SMD | N | (%) | N | (%) | SMD | |
| Gender, female | 189 | (52) | 78 | (47) | 0.096 | 78 | (53) | 71 | (48) | 0.095 | 
| Age, mean (SD) | 64 | (9) | 64 | (10) | 0.001 | 64 | (9) | 61 | (10) | 0.025 | 
| BMI, mean (SD) | 23 | (4) | 23 | (4) | 0.020 | 23 | (4) | 23 | (4) | 0.035 | 
| Previous thoracic or abdominal surgery | 119 | (33) | 54 | (33) | 0.001 | 46 | (31) | 44 | (30) | 0.030 | 
| ASA score | 0.099 | 0.069 | ||||||||
| I | 58 | (16) | 30 | (18) | 30 | (20) | 29 | (20) | ||
| II | 221 | (61) | 103 | (63) | 91 | (62) | 88 | (60) | ||
| III | 84 | (23) | 32 | (19) | 26 | (18) | 30 | (20) | ||
| Tumor location | 0.335 | 0.054 | ||||||||
| Upper or Middle third | 229 | (73) | 77 | (47) | 70 | (48) | 74 | (50) | ||
| Distal third—GEJ | 134 | (37) | 88 | (53) | 77 | (52) | 73 | (50) | ||
| Year of surgery | 0.434 | 0.066 | ||||||||
| 2011–2012 | 130 | (36) | 37 | (22) | 39 | (26) | 35 | (24) | ||
| 2013–2014 | 139 | (38) | 53 | (32) | 48 | (33) | 51 | (34) | ||
| 2016–2017 | 94 | (26) | 75 | (46) | 60 | (41) | 61 | (42) | ||
| Location of anastomosis | 0.648 | 0.042 | ||||||||
| Cervical | 305 | (84) | 92 | (56) | 95 | (65) | 92 | (63) | ||
| Intrathoracic | 58 | (16) | 73 | (44) | 52 | (35) | 55 | (37) | ||
| Clinical T stage | 0.111 | 0.069 | ||||||||
| cT1–2 | 87 | (24) | 32 | (19) | 26 | (17) | 30 | (20) | ||
| cT3–4 | 276 | (76) | 133 | (81) | 121 | (83) | 117 | (80) | ||
| Clinical N stage | 0.015 | 0.059 | ||||||||
| cN0 | 114 | (31) | 53 | (32) | 44 | (30) | 48 | (33) | ||
| cN+ | 249 | (69) | 112 | (68) | 103 | (70) | 99 | (67) | ||
| Neoadjuvant treatment | 339 | (93) | 154 | (93) | 0.002 | 137 | (93) | 136 | (93) | 0.026 | 
| Paratrachael Lymphadenectomy | |||||
|---|---|---|---|---|---|
| Yes (n = 147) | No (n = 147) | ||||
| N | (%) | N | (%) | p-Value | |
| Lymph node yield, median [IQR] | |||||
| Total | 22 | (16–30) | 19 | (13–26) | 0.010 | 
| Tumor-positive | 0 | (0–1) | 0 | (0–1) | 0.867 | 
| pN stage | 0.965 | ||||
| N0 | 103 | (70) | 101 | (69) | |
| N1 | 32 | (22) | 34 | (23) | |
| N2 | 8 | (5) | 9 | (6) | |
| N3 | 4 | (3) | 3 | (2) | |
| Radicality | 0.574 | ||||
| R0 | 142 | (97) | 142 | (97) | |
| R1–2 | 5 | (3) | 4 | (3) | |
| Unknown | 0 | 1 | (<1) | ||
| Postoperative complications | |||||
| Yes, any | 97 | (66) | 90 | (61) | 0.396 | 
| Recurrent laryngeal nerve injury | 8 | (5) | 11 | (8) | 0.477 | 
| Anastomotic leakage | 62 | (42) | 41 | (27) | 0.014 | 
| Pulmonary complications | 51 | (35) | 50 | (34) | 0.902 | 
| Chylothorax | 19 | (13) | 13 | (9) | 0.261 | 
| Re-interventions | |||||
| Yes, any | 42 | (29) | 28 | (19) | 0.075 | 
| Radiological | 16 | (11) | 11 | (8) | 0.420 | 
| Endoscopic | 15 | (10) | 9 | (6) | 0.287 | 
| Re-operation | 20 | (14) | 13 | (9) | 0.267 | 
| Length of hospital stay, median [IQR] | 14 | (10–26) | 12 | (9–17) | 0.004 | 
| Mortality (in-hospital or within 30 days after surgery) | 7 | (5) | 4 | (3) | 0.541 | 
| Disclaimer/Publisher’s Note: The statements, opinions and data contained in all publications are solely those of the individual author(s) and contributor(s) and not of MDPI and/or the editor(s). MDPI and/or the editor(s) disclaim responsibility for any injury to people or property resulting from any ideas, methods, instructions or products referred to in the content. | 
© 2025 by the authors. Licensee MDPI, Basel, Switzerland. This article is an open access article distributed under the terms and conditions of the Creative Commons Attribution (CC BY) license (https://creativecommons.org/licenses/by/4.0/).
Share and Cite
Hagens, E.R.C.; Kingma, B.F.; van Berge Henegouwen, M.I.; Borggreve, A.S.; Ruurda, J.P.; van Hillegersberg, R.; Gisbertz, S.S., on behalf of the Dutch Upper Gastrointestinal Cancer Audit. The Impact of Paratracheal Lymphadenectomy on Survival After Esophagectomy: A Nationwide Propensity Score Matched Analysis. Cancers 2025, 17, 888. https://doi.org/10.3390/cancers17050888
Hagens ERC, Kingma BF, van Berge Henegouwen MI, Borggreve AS, Ruurda JP, van Hillegersberg R, Gisbertz SS on behalf of the Dutch Upper Gastrointestinal Cancer Audit. The Impact of Paratracheal Lymphadenectomy on Survival After Esophagectomy: A Nationwide Propensity Score Matched Analysis. Cancers. 2025; 17(5):888. https://doi.org/10.3390/cancers17050888
Chicago/Turabian StyleHagens, Eliza R. C., B. Feike Kingma, Mark I. van Berge Henegouwen, Alicia S. Borggreve, Jelle P. Ruurda, Richard van Hillegersberg, and Suzanne S. Gisbertz on behalf of the Dutch Upper Gastrointestinal Cancer Audit. 2025. "The Impact of Paratracheal Lymphadenectomy on Survival After Esophagectomy: A Nationwide Propensity Score Matched Analysis" Cancers 17, no. 5: 888. https://doi.org/10.3390/cancers17050888
APA StyleHagens, E. R. C., Kingma, B. F., van Berge Henegouwen, M. I., Borggreve, A. S., Ruurda, J. P., van Hillegersberg, R., & Gisbertz, S. S., on behalf of the Dutch Upper Gastrointestinal Cancer Audit. (2025). The Impact of Paratracheal Lymphadenectomy on Survival After Esophagectomy: A Nationwide Propensity Score Matched Analysis. Cancers, 17(5), 888. https://doi.org/10.3390/cancers17050888
 
        




 
       