Role of Bioimpedance Phase Angle and Hand Grip Strength in Predicting 12-Month Mortality in Patients Admitted with Haematologic Cancer
Simple Summary
Abstract
1. Introduction
2. Materials and Methods
2.1. Setting Study
2.2. Anthropometrical, Phase Angle, and Other Parameters of Bioelectrical Impedance Analysis
2.3. Functional Parameters
2.4. Nutritional and Clinical Variables
2.5. Clinical Outcomes
2.6. Sample Size Calculation
2.7. Statistical Analysis
3. Results
3.1. General Characterization of the Population Study
3.2. Correlation Analysis of Bioimpedance and Muscle Strength with Different Clinical Markers Indicative of Nutritional Status
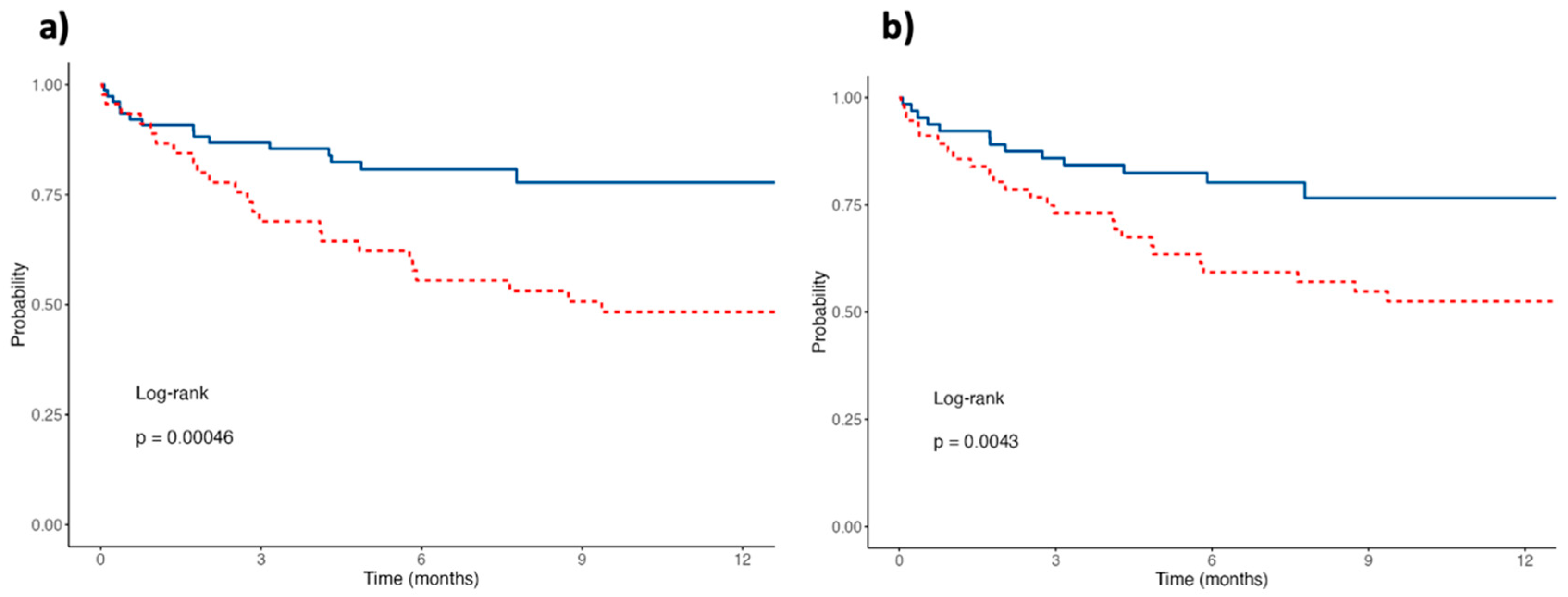
3.3. PhA and Mortality
3.4. HGS and Mortality
3.5. Multivariate Analyses for Predicting 12-Month Mortality
4. Discussion
5. Conclusions
Supplementary Materials
Author Contributions
Funding
Institutional Review Board Statement
Informed Consent Statement
Data Availability Statement
Acknowledgments
Conflicts of Interest
References
- Cazzola, M.; Sehn, L.H. Developing a Classification of Neoplasms in the Era of Precision Medicine. Blood 2022, 140, 1193–1199. [Google Scholar] [CrossRef] [PubMed]
- Szeja, N.; Grosicki, S. Nutritional Status of Patients with Lymphoproliferative Neoplasms before and after the First-Line Treatment. Clin. Nutr. 2022, 15, 83–91. [Google Scholar] [CrossRef]
- Cederholm, T.; Jensen, G.L.; Correia, M.I.T.D.; Gonzalez, M.C.; Fukushima, R.; Higashiguchi, T.; Baptista, G.; Barazzoni, R.; Blaauw, R.; Coats, A.; et al. GLIM criteria for the diagnosis of malnutrition—A consensus report from the global clinical nutrition community. Clin. Nutr. 2019, 38, 207–217. [Google Scholar] [CrossRef] [PubMed]
- Muscaritoli, M.; Arends, J.; Bachmann, P.; Baracos, V.; Barthelemy, N.; Bertz, H.; Bozzetti, F.; Hütterer, E.; Isenring, E.; Kaasa, S.; et al. ESPEN practical guideline: Clinical Nutrition in cancer. Clin. Nutr. 2021, 40, 2898–2913. [Google Scholar] [CrossRef]
- Almeida, J.M.G.; García, C.G.; Aguilar, I.M.V.; Castañeda, V.B.; Guerrero, D.B. Morphofunctional assessment of patient’s nutritional status: A global approach. Nutr. Hosp. 2021, 38, 592–600. [Google Scholar] [CrossRef]
- Soeters, P.B.; Reijven, P.L.; Schols, J.M.; Halfens, R.J.; Meijers, J.M.; van Gemert, W.G. A rational approach to nutritional assessment. Clin. Nutr. 2008, 27, 706–716. [Google Scholar] [CrossRef]
- García-Almeida, J.M.; García-García, C.; Ballesteros-Pomar, M.D.; Olveira, G.; Lopez-Gomez, J.J.; Bellido, V.; Bretón Lesmes, I.; Burgos, R.; Sanz-Paris, A.; Matia-Martin, P.; et al. Expert Consensus on Morphofunctional Assessment in Disease-Related Malnutrition. Grade Review and Delphi Study. Nutrients 2023, 15, 612. [Google Scholar] [CrossRef] [PubMed]
- Fernández-Jiménez, R.; Dalla-Rovere, L.; García-Olivares, M.; Abuín-Fernández, J.; Sánchez-Torralvo, F.J.; Doulatram-Gamgaram, V.K.; Hernández-Sanchez, A.M.; García-Almeida, J.M. Phase Angle and Handgrip Strength as a Predictor of Disease-Related Malnutrition in Admitted Patients: 12-Month Mortality. Nutrients 2022, 14, 1851. [Google Scholar] [CrossRef]
- Garlini, L.M.; Alves, F.D.; Ceretta, L.B.; Perry, I.S.; Souza, G.C.; Clausell, N.O. Phase angle and mortality: A systematic review. Eur. J. Clin. Nutr. 2019, 73, 495–508. [Google Scholar] [CrossRef]
- Norman, K.; Stobäus, N.; Pirlich, M.; Bosy-Westphal, A. Bioelectrical phase angle and impedance vector analysis–clinical relevance and applicability of impedance parameters. Clin. Nutr. 2012, 31, 854–861. [Google Scholar] [CrossRef]
- Cardinal, T.R.; Wazlawik, E.; Bastos, J.L.; Nakazora, L.M.; Scheunemann, L. Standardized phase angle indicates nutritional status in hospitalized preoperative patients. Nutr. Res. 2010, 30, 594–600. [Google Scholar] [CrossRef] [PubMed]
- Bellido, D.; García-García, C.; Talluri, A.; Lukaski, H.C.; García-Almeida, J.M. Future lines of research on phase angle: Strengths and limitations. Rev. Endocr. Metab. Disord. 2023, 24, 563. [Google Scholar] [CrossRef]
- de Almeida, C.; Penna, P.M.; Pereira, S.S.; Rosa, C.D.O.B.; Franceschini, S.D.C.C. Relationship between Phase Angle and Objective and Subjective Indicators of Nutritional Status in Cancer Patients: A Systematic Review. Nutr. Cancer 2021, 73, 2201–2210. [Google Scholar] [CrossRef] [PubMed]
- Victoria-Montesinos, D.; García-Muñoz, A.M.; Navarro-Marroco, J.; Lucas-Abellán, C.; Mercader-Ros, M.T.; Serrano-Martínez, A.; Abellán-Aynés, O.; Barcina-Pérez, P.; Hernández-Sánchez, P. Phase Angle, Handgrip Strength, and Other Indicators of Nutritional Status in Cancer Patients Undergoing Different Nutritional Strategies: A Systematic Review and Meta-Analysis. Nutrients 2023, 15, 1790. [Google Scholar] [CrossRef]
- Liu, M.A.; DuMontier, C.; Murillo, A.; Hshieh, T.T.; Bean, J.F.; Soiffer, R.J.; Stone, R.M.; Abel, G.A.; Driver, J.A. Gait speed, grip strength, and clinical outcomes in older patients with hematologic malignancies. Blood 2019, 134, 374–382. [Google Scholar] [CrossRef]
- Sealy, M.J.; Dechaphunkul, T.; van der Schans, C.P.; Krijnen, W.P.; Roodenburg, J.L.N.; Walker, J.; Jager-Wittenaar, H.; Baracos, V.E. Low muscle mass is associated with early termination of chemotherapy related to toxicity in patients with head and neck cancer. Clin. Nutr. 2020, 39, 501–509. [Google Scholar] [CrossRef]
- Amano, K.; Bruera, E.; Hui, D. Diagnostic and prognostic utility of phase angle in patients with cancer. Rev. Endocr. Metab. Disord. 2023, 24, 479–489. [Google Scholar] [CrossRef] [PubMed]
- Detsky, A.S.; McLaughlin, J.R.; Baker, J.P.; Johnston, N.; Whittaker, S.; Mendelson, R.A.; Jeejeebhoy, K.N. What is subjective global assessment of nutritional status? JPEN J. Parenter. Enter. Nutr. 1987, 11, 8–13. [Google Scholar] [CrossRef]
- Piccoli, A.; Nigrelli, S.; Caberlotto, A.; Bottazzo, S.; Rossi, B.; Pillon, L.; Maggiore, Q. Bivariate normal values of the bioelectrical impedance vector in adult and elderly populations. Am. J. Clin. Nutr. 1995, 61, 269–270. [Google Scholar] [CrossRef]
- Genton, L.; Herrmann, F.R.; Spörri, A.; Graf, C.E. Association of mortality and phase angle measured by different bioelectrical impedance analysis (BIA) devices. Clin. Nutr. 2018, 37, 1066–1069. [Google Scholar] [CrossRef]
- Paiva, S.I.; Borges, L.R.; Halpern-Silveira, D.; Assunção, M.C.F.; Barros, A.J.D.; Gonzalez, M.C. Standardized phase angle from bioelectrical impedance analysis as prognostic factor for survival in patients with cancer. Support. Care Cancer 2011, 19, 187–192. [Google Scholar] [CrossRef] [PubMed]
- Arab, A.; Karimi, E.; Vingrys, K.; Shirani, F. Is phase angle a valuable prognostic tool in cancer patients’ survival? A systematic review and meta-analysis of available literature. Clin. Nutr. 2021, 40, 3182–3190. [Google Scholar] [CrossRef] [PubMed]





| Parameters | Total | Survival | Non-Survival | p Value |
|---|---|---|---|---|
| N | 121 | 55 (45.5%) | 66 (54.5%) | |
| Age (years) | 64 (19–89) | 59.2 (19–83) | 70.7 (56–89) | <0.001 |
| Height (cm) | 167 (140–187) | 168 (140–187) | 166 (150–187) | <0.001 |
| Weight (kg) | 69.9 (39–120) | 71.7 (39–120) | 48.2 (48.2–86.2) | <0.001 |
| Weight loss (%) | 8.7 (0–32.5) | 4.44 (0–32.5) | 8.76 (0–29) | 0.010 |
| BMI (kg/m2) | 25.0 (15.4–41.5) | 25.4 (15.4–41.5) | 24.4 (17.9–32) | 0.229 |
| SGA n (%) | <0.001 | |||
| A | 32 (26.4%) | 29 (24%) | 3 (2.5%) | |
| B | 50 (41.4%) | 30 (24.8%) | 20 (16.5%) | |
| C | 39 (32.2%) | 17 (14%) | 22 (18.2%) | |
| GLIM n (%) | <0.001 | |||
| No malnutrition | 51 (42.1%) | 42 (35%) | 9 (7.5%) | |
| Moderate | 42 (34.7%) | 24 (20%) | 18 (15%) | |
| Severe malnutrition | 27 (23.2%) | 9 (7.5%) | 18 (15%) | |
| PhA (°) | M 4.95 (3–7.6) F 4.1 (2.1–6.8) | 5.34 (3.2–7.6) 4.63 (3–6.8) | 4.24 (3–6.2) 3.3 (2.1–5.2) | <0.001 |
| SPhA | −1.1 (−4.6–3.8) | −0.65 (−4.6–3.8) | −1.92 (−4.4–0.7) | <0.001 |
| BCM (kg) | 22.1 (9–41.6) | 24.4 (10–41.6) | 17.7 (9–36.1) | <0.001 |
| SMI (kg/m2) | M 9.92 (6.3–13.1) F 7.57 (5.6–10.9) | 10.4 (8–13.1) 7.56 (5.6–10.9) | 9.06 (6.3–11.8) 7.59 (5.7–9.2) | 0.042 |
| HGS (kg) | M 34.4 (15–52) F 20.4 (9.6–30) | 36.1 (23–52) 20.8 (9.6–30) | 29.6 (15–38) 19.7 (13–28) | 0.022 |
| Hospital length of stay (days) | 12.4 (2–61) | 10.5 (2–45) | 15.6 (2–61) | 0.024 |
| Line of treatment n | ||||
| First | 83 (68.6%) | 64 (52.9%) | 19 (15.7%) | <0.001 |
| Second | 38 (31.4%) | 12 (9.9%) | 26 (21.5%) |
| BMI | WL | Albumin | PhA | SPhA | HGS | |
|---|---|---|---|---|---|---|
| BMI | - | |||||
| Weight loss | 0.368 *** | - | ||||
| Albumin | −0.002 | 0.124 | - | |||
| PhA | 0.202 * | −0.291 ** | 0.390 *** | - | ||
| SPhA | 0.097 | −0.189 * | 0.273 ** | 0.810 *** | - | |
| HGS | 0.216 | −0.198 | 0.371 ** | 0.378 ** | 0.059 | - |
| 12-Month Mortality | |||
|---|---|---|---|
| Survival Patients | Non-Survival Patients | p | |
| PhA | 5.0 ± 1.2 | 3.7 ± 1.1 | <0.001 |
| SPhA | −0.6 ± 1.6 | −1.9 ± 1.3 | <0.001 |
| Parameters | AUC | Cut-Off Point | Sensitivity | Specificity | PPV | NPV |
|---|---|---|---|---|---|---|
| PhA (°) | 0.798 | 3.8 | 85.5% | 62.2% | 79.3% | 71.8% |
| Male | 0.762 | 5.4 | 55.6% | 89.5% | 90.9% | 51.5% |
| Female | 0.845 | 3.8 | 82.5% | 76.9% | 84.6% | 74.1% |
| SPhA | 0.737 | −1.5 | 70.7% | 68.9% | 79.1% | 58.5% |
| Parameters | AUC | Cut-Off Point | Sensitivity | Specificity | PPV | NPV |
|---|---|---|---|---|---|---|
| HGS (Female) | 0.568 | 17 kg | 95.24% | 28.57% | 66.67% | 80% |
| HGS (Male) | 0.698 | 28 kg | 88.89% | 40% | 80% | 57.14% |
| Predictor | Estimate | SE | Z | p | Odds Ratio |
|---|---|---|---|---|---|
| Constant | 2.0671 | 3.7765 | 0.547 | 0.584 | 7.902 |
| Sex: | |||||
| F–M | −0.4491 | 1.0067 | −0.446 | 0.656 | 0.638 |
| Age | 0.0373 | 0.0333 | 1.119 | 0.263 | 1.038 |
| Line of treatment: | |||||
| 2–1 | 2.6564 | 0.7509 | 3.538 | <0.001 | 14.245 |
| PhA | −0.8745 | 0.3835 | −2.280 | 0.023 | 0.417 |
| HGS | −0.0893 | 0.0736 | −1.213 | 0.225 | 0.915 |
Disclaimer/Publisher’s Note: The statements, opinions and data contained in all publications are solely those of the individual author(s) and contributor(s) and not of MDPI and/or the editor(s). MDPI and/or the editor(s) disclaim responsibility for any injury to people or property resulting from any ideas, methods, instructions or products referred to in the content. |
© 2025 by the authors. Licensee MDPI, Basel, Switzerland. This article is an open access article distributed under the terms and conditions of the Creative Commons Attribution (CC BY) license (https://creativecommons.org/licenses/by/4.0/).
Share and Cite
Dalla Rovere, L.; Fernández-Jiménez, R.; Guerrini, A.; García-Olivares, M.; Herola-Cobos, C.; Hardy-Añón, C.; Awol-Tanko, R.; Hernandez-Sanchez, A.; García-Almeida, J.M. Role of Bioimpedance Phase Angle and Hand Grip Strength in Predicting 12-Month Mortality in Patients Admitted with Haematologic Cancer. Cancers 2025, 17, 886. https://doi.org/10.3390/cancers17050886
Dalla Rovere L, Fernández-Jiménez R, Guerrini A, García-Olivares M, Herola-Cobos C, Hardy-Añón C, Awol-Tanko R, Hernandez-Sanchez A, García-Almeida JM. Role of Bioimpedance Phase Angle and Hand Grip Strength in Predicting 12-Month Mortality in Patients Admitted with Haematologic Cancer. Cancers. 2025; 17(5):886. https://doi.org/10.3390/cancers17050886
Chicago/Turabian StyleDalla Rovere, Lara, Rocio Fernández-Jiménez, Alessandro Guerrini, María García-Olivares, Cristina Herola-Cobos, Carmen Hardy-Añón, Rahinatu Awol-Tanko, Agustín Hernandez-Sanchez, and José Manuel García-Almeida. 2025. "Role of Bioimpedance Phase Angle and Hand Grip Strength in Predicting 12-Month Mortality in Patients Admitted with Haematologic Cancer" Cancers 17, no. 5: 886. https://doi.org/10.3390/cancers17050886
APA StyleDalla Rovere, L., Fernández-Jiménez, R., Guerrini, A., García-Olivares, M., Herola-Cobos, C., Hardy-Añón, C., Awol-Tanko, R., Hernandez-Sanchez, A., & García-Almeida, J. M. (2025). Role of Bioimpedance Phase Angle and Hand Grip Strength in Predicting 12-Month Mortality in Patients Admitted with Haematologic Cancer. Cancers, 17(5), 886. https://doi.org/10.3390/cancers17050886

