New Serious Safety Warnings for Targeted Anticancer Agents After Their Initial FDA Approval
Simple Summary
Abstract
1. Introduction
2. Methods
2.1. Identification of Targeted Anticancer Agents and Analysis of Adverse Drug Reactions
2.2. Outcomes of Interest
2.3. Statistical Analysis
3. Results
3.1. Characteristics of Eligible Targeted Anticancer Agents
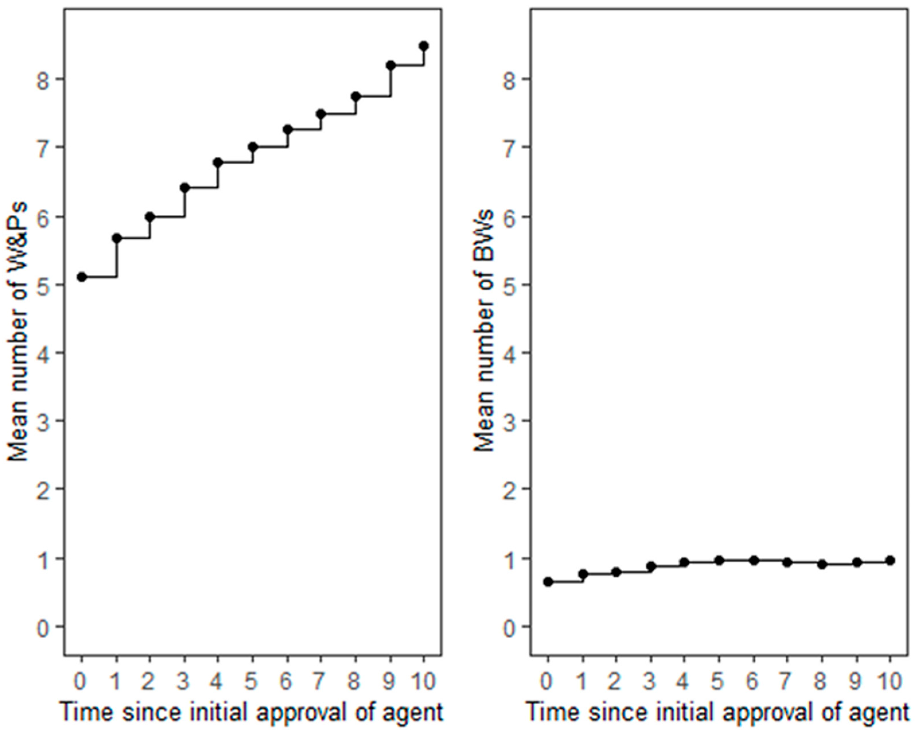
3.2. Reporting of Warnings & Precautions
3.3. Reporting of Boxed Warnings
4. Discussion
5. Conclusions
Supplementary Materials
Author Contributions
Funding
Institutional Review Board Statement
Informed Consent Statement
Data Availability Statement
Acknowledgments
Conflicts of Interest
References
- Min, H.Y.; Lee, H.Y. Molecular targeted therapy for anticancer treatment. Exp. Mol. Med. 2022, 54, 1670–1694. [Google Scholar] [CrossRef] [PubMed]
- US Department of Health and Human Services. In Vitro Companion Diagnostics Devices: Guidance for Industry and Food and Drug Administration Staff. Available online: https://www.fda.gov/regulatory-information/search-fda-guidance-documents/in-vitro-companion-diagnostic-devices (accessed on 10 January 2025).
- Basak, D.; Arrighi, S.; Darwiche, Y.; Deb, S. Comparison of Anticancer Drug Toxicities: Paradigm Shift in Adverse Effect Profile. Life 2021, 12, 48. [Google Scholar] [CrossRef] [PubMed]
- Niraula, S.; Amir, E.; Vera-Badillo, F.; Seruga, B.; Ocana, A.; Tannock, I.F. Risk of Incremental Toxicities and Associated Costs of New Anticancer Drugs: A Meta-Analysis. J. Clin. Oncol. 2014, 32, 3634–3642. [Google Scholar] [CrossRef]
- Assoun, S.; Lemiale, V.; Azoulay, E. Molecular targeted therapy-related life-threatening toxicity in patients with malignancies. A systematic review of published cases. Intensive Care Med. 2019, 45, 988–997. [Google Scholar] [CrossRef]
- Srikanthan, A.; Vera-Badillo, F.; Ethier, J.; Goldstein, R.; Templeton, A.; Ocana, A.; Seruga, B.; Amir, E. Evolution in the eligibility criteria of randomized controlled trials for systemic cancer therapies. Cancer Treat. Rev. 2016, 43, 67–73. [Google Scholar] [CrossRef]
- Seruga, B.; Templeton, A.J.; Badillo, F.E.V.; Ocana, A.; Amir, E.; Tannock, I.F. Under-reporting of harm in clinical trials. Lancet Oncol. 2016, 17, e209–e219. [Google Scholar] [CrossRef]
- Baldo, P.; De Paoli, P. Pharmacovigilance in oncology: Evaluation of current practice and future perspectives. J. Eval. Clin. Pract. 2014, 20, 559–569. [Google Scholar] [CrossRef]
- Food and Drug Administration. MedWatch: The FDA Safety Information and Adverse Event Reporting Program. Available online: https://www.fda.gov/safety/medwatch-fda-safety-information-and-adverse-event-reporting-program (accessed on 10 January 2025).
- Seruga, B.; Sterling, L.; Wang, L.; Tannock, I.F. Reporting of Serious Adverse Drug Reactions of Targeted Anticancer Agents in Pivotal Phase III Clinical Trials. J. Clin. Oncol. 2011, 29, 174–185. [Google Scholar] [CrossRef] [PubMed]
- Kim, J.; Nair, A.; Keegan, P.; Beaver, J.A.; Kluetz, P.G.; Pazdur, R.; Chuk, M.; Blumenthal, G.M. Evaluation of Serious Postmarket Safety Signals Within 2 Years of FDA Approval for New Cancer Drugs. Oncologist 2020, 25, 348–354. [Google Scholar] [CrossRef] [PubMed]
- Food And Drug Administration. Drugs@FDA: FDA-Approved Drugs. Available online: https://www.accessdata.fda.gov/scripts/cder/daf/index.cfm (accessed on 10 January 2025).
- Food and Drug Administration, Center for Drug Evaluation and Research and Center for Biologics Evaluation and Research. Warnings and Precautions, Contraindications, and Boxed Warning Sections of Labeling for Human Prescription Drug and Biological Products—Content and Format. Available online: https://www.fda.gov/regulatory-information/search-fda-guidance-documents/warnings-and-precautions-contraindications-and-boxed-warning-sections-labeling-human-prescription (accessed on 10 January 2025).
- Bates, D.; Mächler, M.; Bolker, B.; Walker, S. Fitting linear mixed-effects models using lme4. J. Stat. Softw. 2015, 67, 1–48. [Google Scholar] [CrossRef]
- IQVIA. Global Oncology Trends. 2018. Available online: https://www.iqvia.com/insights/the-iqvia-institute/reports-and-publications/reports/global-oncology-trends-2018 (accessed on 10 January 2025).
- Stoelinga, J.; Bloem, L.T.; Russo, M.; Kesselheim, A.S.; Feldman, W.B. Comparing supplemental indications for cancer drugs approved in the US and EU. Eur. J. Cancer 2024, 212, 114330. [Google Scholar] [CrossRef] [PubMed]
- Vokinger, K.N.; Glaus, C.E.G.; Kesselheim, A.S.; Serra-Burriel, M.; Ross, J.S.; Hwang, T.J. Therapeutic value of first versus supplemental indications of drugs in US and Europe (2011-20): Retrospective cohort study. BMJ 2023, 382, e074166. [Google Scholar] [CrossRef]
- Pignatti, F.; Jonsson, B.; Blumenthal, G.; Justice, R. Assessment of benefits and risks in development of targeted therapies for cancer—The view of regulatory authorities. Mol. Oncol. 2014, 9, 1034–1041. [Google Scholar] [CrossRef]
- Huang, Y.; Xiong, W.; Zhao, J.; Li, W.; Ma, L.; Wu, H. Early phase clinical trial played a critical role in the Food and Drug Administration–approved indications for targeted anticancer drugs: A cross-sectional study from 2012 to 2021. J. Clin. Epidemiol. 2023, 157, 74–82. [Google Scholar] [CrossRef]
- Kuo, W.K.; Weng, C.F.; Lien, Y.J. Treatment beyond progression in non-small cell lung cancer: A systematic review and meta-analysis. Front. Oncol. 2022, 12, 1023894. [Google Scholar] [CrossRef]
- Serra, F.; Faverio, C.; Lasagna, A.; Barruscotti, S.; Dominioni, T.; Benazzo, M.; Pedrazzoli, P.; Chiellino, S. Treatment beyond progression and locoregional approaches in selected patients with BRAF-mutated metastatic melanoma. Drugs Context 2021, 10, 1–6. [Google Scholar] [CrossRef]
- Kirkali, Z. Adverse events from targeted therapies in advanced renal cell carcinoma: The impact on long-term use. BJU Int. 2011, 107, 1722–1732. [Google Scholar] [CrossRef] [PubMed]
- Lin, A.; Giuliano, C.J.; Palladino, A.; John, K.M.; Abramowicz, C.; Yuan, M.L.; Sausville, E.L.; Lukow, D.A.; Liu, L.; Chait, A.R.; et al. Off-target toxicity is a common mechanism of action of cancer drugs undergoing clinical trials. Sci. Transl. Med. 2019, 11, eaaw8412. [Google Scholar] [CrossRef] [PubMed]
- Steegmann, J.L.; Cervantes, F.; le Coutre, P.; Porkka, K.; Saglio, G. Off-target effects of BCR–ABL1 inhibitors and their potential long-term implications in patients with chronic myeloid leukemia. Leuk. Lymphoma 2012, 53, 2351–2361. [Google Scholar] [CrossRef]
- Benn, C.L.; Dawson, L.A. Clinically Precedented Protein Kinases: Rationale for Their Use in Neurodegenerative Disease. Front. Aging Neurosci. 2020, 12, 242. [Google Scholar] [CrossRef] [PubMed]
- Imai, K.; Takaoka, A. Comparing antibody and small-molecule therapies for cancer. Nat. Rev. Cancer 2006, 6, 714–727. [Google Scholar] [CrossRef]
- Castelli, M.S.; McGonigle, P.; Hornby, P.J. The pharmacology and therapeutic applications of monoclonal antibodies. Pharmacol. Res. Perspect. 2019, 7, e00535. [Google Scholar] [CrossRef]
- Calvo, E.; Walko, C.; Dees, E.C.; Valenzuela, B. Pharmacogenomics, Pharmacokinetics, and Pharmacodynamics in the Era of Targeted Therapies. Am. Soc. Clin. Oncol. Educ. Book 2016, 35, e175–e184. [Google Scholar] [CrossRef] [PubMed]
- Gharwan, H.; Groninger, H. Kinase inhibitors and monoclonal antibodies in oncology: Clinical implications. Nat. Rev. Clin. Oncol. 2016, 13, 209–227. [Google Scholar] [CrossRef] [PubMed]
- Mueller-Schoell, A.; Groenland, S.L.; Scherf-Clavel, O.; van Dyk, M.; Huisinga, W.; Michelet, R.; Jaehde, U.; Steeghs, N.; Huitema, A.D.; Kloft, C. Therapeutic drug monitoring of oral targeted antineoplastic drugs. Eur. J. Clin. Pharmacol. 2021, 77, 441–464. [Google Scholar] [CrossRef]
- Mikus, G.; Foerster, K.I. Role of CYP3A4 in kinase inhibitor metabolism and assessment of CYP3A4 activity. Transl. Cancer Res. 2017, 6, S1592–S1599. [Google Scholar] [CrossRef]
- Ocana, A.; Ethier, J.-L.; Díez-González, L.; Corrales-Sánchez, V.; Srikanthan, A.; Gascón-Escribano, M.J.; Templeton, A.J.; Vera-Badillo, F.; Seruga, B.; Niraula, S.; et al. Influence of companion diagnostics on efficacy and safety of targeted anti-cancer drugs: Systematic review and meta-analyses. Oncotarget 2015, 6, 39538–39549. [Google Scholar] [CrossRef]
- Juhaeri, J. Benefit-risk evaluation: The past, present and future. Ther. Adv. Drug Saf. 2019, 10, 2042098619871180. [Google Scholar] [CrossRef] [PubMed]


| Variable | Coef. | Confidence Int. | p-Value |
|---|---|---|---|
| Intercept | 1.35 | [1.05, 1.64] | <0.001 |
| Time | 0.06 | [0.04, 0.08] | <0.001 |
| Time2 | −0.002 | [−0.003, −0.001] | 0.001 |
| Drug type SMs (Ref. mAbs) | 0.35 | [0.006, 0.69] | 0.042 |
| CDx availability Yes (ref. No) | −0.15 | [−0.54, 0.24] | 0.440 |
| Variable | Coef. | Confidence Int. | p-Value |
|---|---|---|---|
| Intercept | 0.07 | [1.05, 1.19] | 0.90 |
| Time | 0.07 | [0.02, 0.13] | 0.008 |
| Time2 | −0.005 | [−0.007, −0.002] | 0.001 |
| Drug type SMs (Ref. mAbs) | −3.11 | [−4.60, −1.61] | <0.001 |
| Availability of CDx Yes (ref. No) | 0.22 | [−1.33, 1.78] | 0.77 |
Disclaimer/Publisher’s Note: The statements, opinions and data contained in all publications are solely those of the individual author(s) and contributor(s) and not of MDPI and/or the editor(s). MDPI and/or the editor(s) disclaim responsibility for any injury to people or property resulting from any ideas, methods, instructions or products referred to in the content. |
© 2025 by the authors. Licensee MDPI, Basel, Switzerland. This article is an open access article distributed under the terms and conditions of the Creative Commons Attribution (CC BY) license (https://creativecommons.org/licenses/by/4.0/).
Share and Cite
Stefanovski, D.; Manevski, D.; Ribnikar, D.; Šeruga, B. New Serious Safety Warnings for Targeted Anticancer Agents After Their Initial FDA Approval. Cancers 2025, 17, 584. https://doi.org/10.3390/cancers17040584
Stefanovski D, Manevski D, Ribnikar D, Šeruga B. New Serious Safety Warnings for Targeted Anticancer Agents After Their Initial FDA Approval. Cancers. 2025; 17(4):584. https://doi.org/10.3390/cancers17040584
Chicago/Turabian StyleStefanovski, Dimitar, Damjan Manevski, Domen Ribnikar, and Boštjan Šeruga. 2025. "New Serious Safety Warnings for Targeted Anticancer Agents After Their Initial FDA Approval" Cancers 17, no. 4: 584. https://doi.org/10.3390/cancers17040584
APA StyleStefanovski, D., Manevski, D., Ribnikar, D., & Šeruga, B. (2025). New Serious Safety Warnings for Targeted Anticancer Agents After Their Initial FDA Approval. Cancers, 17(4), 584. https://doi.org/10.3390/cancers17040584

