Body Composition Analysis in Metastatic Non-Small-Cell Lung Cancer: Depicting Sarcopenia in Portuguese Tertiary Care
Simple Summary
Abstract
1. Introduction
2. Materials and Methods
2.1. Procedures
2.2. Patients
2.3. Definitions and Endpoints
2.4. Statistical Analysis
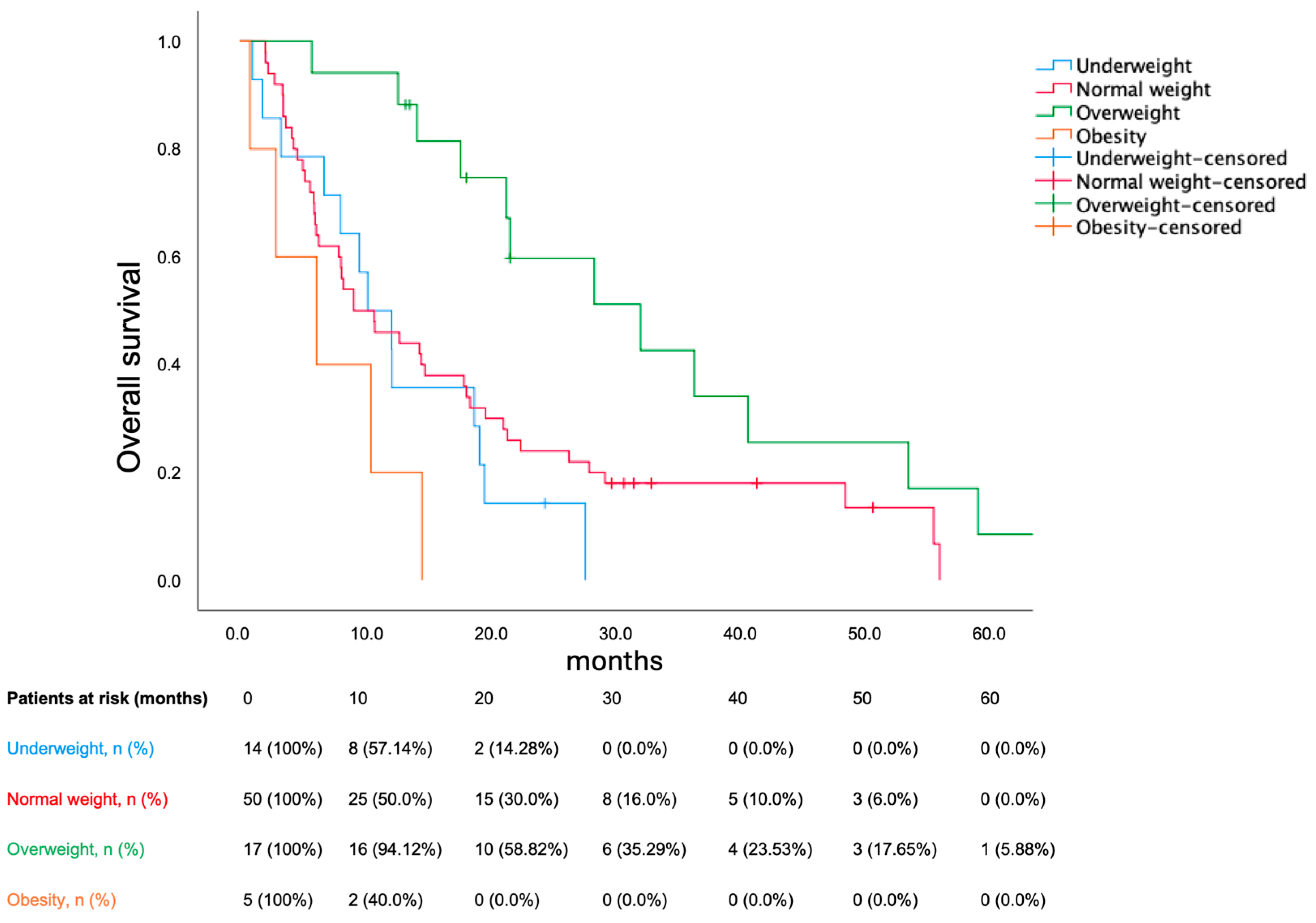
3. Results
4. Discussion
5. Conclusions
Author Contributions
Funding
Institutional Review Board Statement
Informed Consent Statement
Data Availability Statement
Conflicts of Interest
Abbreviations
| 1L | First-line |
| 95% CI | Ninety-five percent confidence interval |
| AJCC | American Joint Committee on Cancer |
| BMI | Body mass index |
| ECOG | Eastern Cooperative Oncology Group |
| EGFR | Epidermal growth factor receptor |
| HR | Hazard ratio |
| HU | Hounsfield unit |
| ICDO | International Classification of Diseases for Oncology |
| IO | Immunotherapy |
| L3 | Third lumbar vertebrae |
| (m)NSCLC | (metastatic) non-small-cell lung cancer |
| OS | Overall survival |
| PFS | Progression-free survival |
| PS | Performance status |
| SMA | Skeletal muscle area |
| SMI | Skeletal muscle index |
| SNOMED | Systemized Nomenclature of Medicine |
| TKI | Tyrosine kinase inhibitor |
| ULSSJ | Unidade Local de Saúde São José |
References
- Bray, F.; Laversanne, M.; Sung, H.; Ferlay, J.; Siegel, R.L.; Soerjomataram, I.; Jemal, A. Global cancer statistics 2022: GLOBOCAN estimates of incidence and mortality worldwide for 36 cancers in 185 countries. CA Cancer J. Clin. 2024, 74, 229–263. [Google Scholar] [CrossRef] [PubMed]
- Jemal, A.; Schafer, E.J.; Sung, H.; Bandi, P.; Kratzer, T.; Islami, F.; Siegel, R.L. The burden of lung cancer in women compared with men in the US. JAMA Oncol. 2023, 9, 1727–1728. [Google Scholar] [CrossRef] [PubMed]
- Leiter, A.; Veluswamy, R.R.; Wisnivesky, J.P. The global burden of lung cancer: Current status and future trends. Nat. Rev. Clin. Oncol. 2023, 20, 624–639. [Google Scholar] [CrossRef] [PubMed]
- Adams, S.J.; Stone, E.; Baldwin, D.R.; Vliegenthart, R.; Lee, P.; Fintelmann, F.J. Lung cancer screening. Lancet 2023, 401, 390–408. [Google Scholar] [CrossRef]
- Hardavella, G.; Frille, A.; Sreter, K.B.; Atrafi, F.; Yousaf-Khan, U.; Beyaz, F.; Kyriakou, F.; Bellou, E.; Mullin, M.L.; Janes, S.M. Lung cancer screening: Where do we stand? Breathe 2024, 20, 230190. [Google Scholar] [CrossRef]
- Thai, A.A.; Solomon, B.J.; Sequist, L.V.; Gainor, J.F.; Heist, R.S. Lung cancer. Lancet 2021, 398, 535–554. [Google Scholar] [CrossRef]
- Hendriks, L.E.; Kerr, K.M.; Menis, J.; Mok, T.S.; Nestle, U.; Passaro, A.; Peters, S.; Planchard, D.; Smit, E.F.; Solomon, B.J.; et al. Oncogene-addicted metastatic non-small-cell lung cancer: ESMO Clinical Practice Guideline for diagnosis, treatment and follow-up. Ann. Oncol. 2023, 34, 339–357. [Google Scholar] [CrossRef]
- Gutiérrez Herrero, G.; Núñez-Rodríguez, S.; Collazo, C.; García-Bustillo, Á.; González-Bernal, J.J.; Castellanos-Romero, L.; González-Santos, J. Retrospective study of lung cancer: Evolution in 16 years in the Burgos region. J. Clin. Med. 2024, 13, 1601. [Google Scholar] [CrossRef]
- Hendriks, L.; Kerr, K.; Menis, J.; Mok, T.; Nestle, U.; Passaro, A.; Peters, S.; Planchard, D.; Smit, E.; Solomon, B.; et al. Non-oncogene-addicted metastatic non-small-cell lung cancer: ESMO Clinical Practice Guideline for diagnosis, treatment and follow-up. Ann. Oncol. 2023, 34, 358–376. [Google Scholar] [CrossRef]
- Baracos, V.E.; Arribas, L. Sarcopenic obesity: Hidden muscle wasting and its impact for survival and complications of cancer therapy. Ann. Oncol. 2018, 29 (Suppl. S2), ii1–ii9. [Google Scholar] [CrossRef]
- Cruz-Jentoft, A.J.; Bahat, G.; Bauer, J.; Boirie, Y.; Bruyère, O.; Cederholm, T.; Cooper, C.; Landi, F.; Rolland, Y.; Sayer, A.A.; et al. Sarcopenia: Revised European consensus on definition and diagnosis. Age Ageing 2019, 48, 16–31. [Google Scholar] [CrossRef] [PubMed]
- Hasenauer, A.; Forster, C.; Hungerbühler, J.; Perentes, J.Y.; Abdelnour-Berchtold, E.; Koerfer, J.; Krueger, T.; Becce, F.; Gonzalez, M. CT-derived sarcopenia and outcomes after thoracoscopic pulmonary resection for non-small cell lung cancer. Cancers 2023, 15, 790. [Google Scholar] [CrossRef] [PubMed]
- MacDonald, A.J.; Greig, C.A.; Baracos, V. The advantages and limitations of cross-sectional body composition analysis. Curr. Opin. Support. Palliat. Care. 2011, 5, 342–349. [Google Scholar] [CrossRef] [PubMed]
- Mariean, C.R.; Tiucă, O.M.; Mariean, A.; Cotoi, O.S. Cancer cachexia: New insights and future directions. Cancers 2023, 15, 5590. [Google Scholar] [CrossRef]
- Prado, C.M.; Lieffers, J.R.; McCargar, L.J.; Reiman, T.; Sawyer, M.B.; Martin, L.; Baracos, V.E. Prevalence and clinical implications of sarcopenic obesity in patients with solid tumours of the respiratory and gastrointestinal tracts: A population-based study. Lancet Oncol. 2008, 9, 629–635. [Google Scholar] [CrossRef]
- Martin, L.; Birdsell, L.; Macdonald, N.; Reiman, T.; Clandinin, M.T.; McCargar, L.J.; Murphy, R.; Ghosh, S.; Sawyer, M.B.; Baracos, V.E. Cancer cachexia in the age of obesity: Skeletal muscle depletion is a powerful prognostic factor, independent of body mass index. J. Clin. Oncol. 2013, 31, 1539–1547. [Google Scholar] [CrossRef]
- Fearon, K.; Strasser, F.; Anker, S.D.; Bosaeus, I.; Bruera, E.; Fainsinger, R.L.; Jatoi, A.; Loprinzi, C.; MacDonald, N.; Mantovani, G.; et al. Definition and classification of cancer cachexia: An international consensus. Lancet Oncol. 2011, 12, 489–495. [Google Scholar] [CrossRef]
- Zhuang, C.L.; Huang, D.D.; Pang, W.Y.; Zhou, C.J.; Wang, S.L.; Lou, N.; Ma, L.L.; Yu, Z.; Shen, X. Sarcopenia is an independent predictor of severe postoperative complications and long-term survival after radical gastrectomy for gastric cancer: Analysis from a large-scale cohort. Medicine 2016, 95, e3164. [Google Scholar] [CrossRef]
- Itoh, S.; Yoshizumi, T.; Kimura, K.; Okabe, H.; Harimoto, N.; Ikegami, T.; Uchiyama, H.; Shirabe, K.; Nishie, A.; Maehara, Y. Effect of sarcopenic obesity on outcomes of living-donor liver transplantation for hepatocellular carcinoma. Anticancer Res. 2016, 36, 3029–3034. [Google Scholar] [PubMed]
- Yang, M.; Shen, Y.; Tan, L.; Li, W. Prognostic value of sarcopenia in lung cancer: A systematic review and meta-analysis. Chest 2019, 156, 101–111. [Google Scholar] [CrossRef]
- Baldessari, C.; Guaitoli, G.; Valoriani, F.; Bonacini, R.; Marcheselli, R.; Reverberi, L.; Pecchi, A.; Menozzi, R.; Torricelli, P.; Bertolini, F.; et al. Impact of body composition, nutritional and inflammatory status on outcome of non-small cell lung cancer patients treated with immunotherapy. Clin. Nutr. Espen. 2021, 43, 64–75. [Google Scholar] [CrossRef] [PubMed]
- Wu, C.T.; Hsu, P.C.; Chang, J.W.; Chang, C.F.; Huang, C.Y.; Yang, C.T.; Kuo, C.S.; Fang, Y.F.; Wu, C.E. Comprehensive assessment of pretreatment sarcopenia impacts on patients with EGFR-mutated NSCLC treated with afatinib. Thorac. Cancer 2023, 14, 2548–2557. [Google Scholar] [CrossRef]
- Topcu, A.; Ozturk, A.; Yurtsever, I.; Besiroglu, M.; Yasin, A.I.; Turk, H.M.; Seker, M. The effect of sarcopenia on erlotinib therapy in patients with metastatic lung adenocarcinoma. Bosn. J. Basic. Med. Sci. 2022, 22, 982–991. [Google Scholar] [CrossRef] [PubMed]
- Irving, B.A.; Weltman, J.Y.; Brock, D.W.; Davis, C.K.; Gaesser, G.A.; Weltman, A. NIH ImageJ and Slice-O-Matic computed tomography imaging software to quantify soft tissue. Obesity 2007, 15, 370–376. [Google Scholar] [CrossRef]
- Balakrishnan, R.; Thurmond, D.C. Mechanisms by which skeletal muscle myokines ameliorate insulin resistance. Int. J. Mol. Sci. 2022, 23, 4636. [Google Scholar] [CrossRef]
- Kimura, M.; Naito, T.; Kenmotsu, H.; Taira, T.; Wakuda, K.; Oyakawa, T.; Hisamatsu, Y.; Tokito, T.; Imai, H.; Akamatsu, H.; et al. Prognostic impact of cancer cachexia in patients with advanced non-small cell lung cancer. Support. Care Cancer 2015, 23, 1699–1708. [Google Scholar] [CrossRef] [PubMed]
- Shoji, F.; Matsubara, T.; Kozuma, Y.; Haratake, N.; Akamine, T.; Takamori, S.; Katsura, M.; Toyokawa, G.; Okamoto, T.; Maehara, Y. Relationship between preoperative sarcopenia status and immuno-nutritional parameters in patients with early-stage non-small cell lung cancer. Anticancer Res. 2017, 37, 6997–7003. [Google Scholar] [CrossRef]
- Suzuki, Y.; Okamoto, T.; Fujishita, T.; Katsura, M.; Akamine, T.; Takamori, S.; Morodomi, Y.; Tagawa, T.; Shoji, F.; Maehara, Y. Clinical implications of sarcopenia in patients undergoing complete resection for early non-small cell lung cancer. Lung Cancer 2016, 101, 92–97. [Google Scholar] [CrossRef]
- Kim, E.Y.; Lee, H.Y.; Kim, K.W.; Lee, J.I.; Kim, Y.S.; Choi, W.J.; Kim, J.H. Preoperative computed tomography-determined sarcopenia and postoperative outcome after surgery for non-small cell lung cancer. Scand. J. Surg. 2018, 107, 244–251. [Google Scholar] [CrossRef]
- Srdic, D.; Plestina, S.; Sverko-Peternac, A.; Nikolac, N.; Simundic, A.M.; Samarzija, M. Cancer cachexia, sarcopenia and biochemical markers in patients with advanced non-small cell lung cancer-chemotherapy toxicity and prognostic value. Support. Care Cancer 2016, 24, 4495–4502. [Google Scholar] [CrossRef]
- Stene, G.B.; Helbostad, J.L.; Amundsen, T.; Sørhaug, S.; Hjelde, H.; Kaasa, S.; Grønberg, B.H. Changes in skeletal muscle mass during palliative chemotherapy in patients with advanced lung cancer. Acta Oncol. 2015, 54, 340–348. [Google Scholar] [CrossRef] [PubMed]
- Wang, Y.; Chen, P.; Huang, J.; Liu, M.; Peng, D.; Li, Z.; Chen, T.; Hong, S.; Zhou, Y. Assessment of sarcopenia as a predictor of poor overall survival for advanced non-small-cell lung cancer patients receiving salvage anti-PD-1 immunotherapy. Ann. Transl. Med. 2021, 9, 1801. [Google Scholar] [CrossRef] [PubMed]
- Feng, Y.; Wang, L.; Guo, F.; Zhu, F.; Shi, J.; Wang, Y.; Zhang, Y.; Chen, X.; Zhang, L. Predictive impact of sarcopenia in advanced non-small cell lung cancer patients treated with immune checkpoint inhibitors: A retrospective study. Heliyon 2024, 10, e27282. [Google Scholar] [CrossRef] [PubMed]
- Madeddu, C.; Busquets, S.; Donisi, C.; Lai, E.; Pretta, A.; López-Soriano, F.J.; Argilés, J.M.; Scartozzi, M.; Macciò, A. Effect of cancer-related cachexia and associated changes in nutritional status, inflammatory status, and muscle mass on immunotherapy efficacy and survival in patients with advanced non-small cell lung cancer. Cancers 2023, 15, 1076. [Google Scholar] [CrossRef] [PubMed]
- Bolte, F.J.; McTavish, S.; Wakefield, N.; Shantzer, L.; Hubbard, C.; Krishnaraj, A.; Novicoff, W.; Gentzler, R.D.; Hall, R.D. Association of sarcopenia with survival in advanced NSCLC patients receiving concurrent immunotherapy and chemotherapy. Front. Oncol. 2022, 12, 986236. [Google Scholar] [CrossRef]
- Rossi, S.; Di Noia, V.; Tonetti, L.; Strippoli, A.; Basso, M.; Schinzari, G.; Cassano, A.; Leone, A.; Barone, C.; D’Argento, E. Does sarcopenia affect outcome in patients with non-small-cell lung cancer harboring EGFR mutations? Future Oncol. 2018, 14, 919–926. [Google Scholar] [CrossRef]
- Atkins, J.L.; Wannamathee, S.G. Sarcopenic obesity in ageing: Cardiovascular outcomes and mortality. Br. J. Nutr. 2020, 124, 1102–1113. [Google Scholar] [CrossRef]
- Kroenke, C.H.; Neugebauer, R.; Meyerhardt, J.; Prado, C.M.; Weltzien, E.; Kwan, M.L.; Xiao, J.; Caan, B.J. Analysis of body mass index and mortality in patients with colorectal cancer using causal diagrams. JAMA Oncol. 2016, 2, 1137–1145. [Google Scholar] [CrossRef]
- da Silva Dias, D.; Machado, M.; Trabulo, C.; Gosálbez, B.; Ravasco, P. Impact of body composition on prognosis and dose-limiting toxicities on metastatic colorectal cancer. Front. Nutr. 2022, 8, 671547. [Google Scholar] [CrossRef]



| Variable | Total (n = 197) |
|---|---|
| Age, mean ± standard deviation | 65 ± 11.31 |
| Sex, n (%) | |
| Male | 135 (68.53%) |
| Female | 62 (31.47%) |
| Smoking status, n (%) | |
| (Former) Smoker | 103 (52.28%) |
| Never Smoker | 30 (15.23%) |
| Unreported | 64 (32.49%) |
| ECOG performance status, n (%) | |
| 0 | 50 (25.38%) |
| 1 | 106 (53.81%) |
| ≥2 | 41 (20.81%) |
| AJCC stage, n (%) | |
| I–III | 43 (21.83%) |
| IV | 154 (78.17%) |
| Histology, n (%) | |
| Adenocarcinoma | 165 (83.76%) |
| Squamous cell carcinoma | 23 (11.68%) |
| Other | 9 (4.57%) |
| Metastatic sites, n (%) | |
| ≤2 | 156 (79.19%) |
| >2 | 41 (20.81%) |
| PD-L1 tumor proportion score, n (%) | |
| <1% | 92 (46.70%) |
| 1–50% | 42 (21.32%) |
| >50% | 40 (20.3%) |
| Unreported | 23 (11.68%) |
| First-line treatment, n (%) | |
| Chemotherapy | 113 (57.36%) |
| Immunotherapy | 35 (17.77%) |
| Tyrosine kinase inhibitor | 36 (18.27%) |
| Chemoimmunotherapy | 13 (6.60%) |
| Variable | Total (n = 184) |
|---|---|
| BMI group, n (%) | |
| <18.5 kg/m2 | 18 (9.78%) |
| ≥18.5 kg/m2 and <25 kg/m2 | 94 (51.1%) |
| ≥25 kg/m2 and <30 kg/m2 | 72 (39.13%) |
| ≥30 kg/m2 | 20 (10.87%) |
| BMI (kg/m2), mean ± standard deviation | |
| Male (n = 125) | 24.15 ± 4.75 |
| Female (n = 59) | 24.27 ± 4.12 |
| SMI (cm2/m2), mean ± standard deviation | |
| Male (n = 125) | 48.52 ± 9.31 |
| Female (n = 59) | 37.69 ± 6.14 |
| Sarcopenia (Prado et al.) 1,n (%) | |
| Male (n = 125) | 89 (71.20%) |
| Female (n = 59) | 33 (55.93%) |
| Sarcopenia (cohort-specific) 2,n (%) | |
| Male (n = 125) | 73 (58.40%) |
| Female (n = 59) | 13 (22.03%) |
| Univariate Cox Regression Analysis | Multivariate Cox Regression Analysis | |||
|---|---|---|---|---|
| Variable | p-Value | HR (95% CI) | p-Value | HR (95% CI) |
| Sarcopenia | 0.002 | 1.65 (1.19–2.29) | 0.019 | 1.50 (1.07–2.11) |
| Underweight | 0.002 | 2.29 (1.37–3.86) | 0.012 | 1.99 (1.16–3.40) |
| Overweight | 0.074 | - | - | - |
| Obesity | 0.895 | - | - | - |
| ECOG PS ≥ 1 | 0.009 | 1.68 (1.14–2.47) | 0.008 | 1.69 (1.14–2.49) |
| Ab initio CNS M1 | 0.569 | - | - | - |
| ≥2 M1 sites | 0.113 | - | - | - |
| KRAS mutant | 0.402 | - | - | - |
| Squamous cell | 0.581 | - | - | - |
Disclaimer/Publisher’s Note: The statements, opinions and data contained in all publications are solely those of the individual author(s) and contributor(s) and not of MDPI and/or the editor(s). MDPI and/or the editor(s) disclaim responsibility for any injury to people or property resulting from any ideas, methods, instructions or products referred to in the content. |
© 2025 by the authors. Licensee MDPI, Basel, Switzerland. This article is an open access article distributed under the terms and conditions of the Creative Commons Attribution (CC BY) license (https://creativecommons.org/licenses/by/4.0/).
Share and Cite
Leão Mendes, J.; Ferreira, R.Q.; Mata, I.; Vasco Barreira, J.; Rodrigues, Y.C.; Silva Dias, D.; Capelas, M.L.; Mäkitie, A.; Guerreiro, I.; Pimenta, N.M.; et al. Body Composition Analysis in Metastatic Non-Small-Cell Lung Cancer: Depicting Sarcopenia in Portuguese Tertiary Care. Cancers 2025, 17, 539. https://doi.org/10.3390/cancers17030539
Leão Mendes J, Ferreira RQ, Mata I, Vasco Barreira J, Rodrigues YC, Silva Dias D, Capelas ML, Mäkitie A, Guerreiro I, Pimenta NM, et al. Body Composition Analysis in Metastatic Non-Small-Cell Lung Cancer: Depicting Sarcopenia in Portuguese Tertiary Care. Cancers. 2025; 17(3):539. https://doi.org/10.3390/cancers17030539
Chicago/Turabian StyleLeão Mendes, José, Rita Quaresma Ferreira, Inês Mata, João Vasco Barreira, Ysel Chiara Rodrigues, David Silva Dias, Manuel Luís Capelas, Antti Mäkitie, Inês Guerreiro, Nuno M. Pimenta, and et al. 2025. "Body Composition Analysis in Metastatic Non-Small-Cell Lung Cancer: Depicting Sarcopenia in Portuguese Tertiary Care" Cancers 17, no. 3: 539. https://doi.org/10.3390/cancers17030539
APA StyleLeão Mendes, J., Ferreira, R. Q., Mata, I., Vasco Barreira, J., Rodrigues, Y. C., Silva Dias, D., Capelas, M. L., Mäkitie, A., Guerreiro, I., Pimenta, N. M., & Ravasco, P. (2025). Body Composition Analysis in Metastatic Non-Small-Cell Lung Cancer: Depicting Sarcopenia in Portuguese Tertiary Care. Cancers, 17(3), 539. https://doi.org/10.3390/cancers17030539

