Dynamic Changes in Albumin and Systemic Immune-Inflammation Index as Prognostic Markers in Patients Treated with Cabozantinib After Immune Checkpoint Inhibitors for Metastatic Renal Cell Carcinoma
Simple Summary
Abstract
1. Introduction
2. Materials and Methods
2.1. Study Design and Patients
2.2. Clinical and Laboratory Data Collection
2.3. Derivation of ΔAlb and ΔSII Composite Score
2.4. Assessment of Treatment-Related Adverse Events (TRAEs)
2.5. Statistical Analyses
3. Results
3.1. Patient Characteristics
3.2. Changes in Alb and SII After 6 Weeks
3.3. PFS According to the ΔAlb + ΔSII Composite Score
3.4. Sensitivity and Exploratory Analyses
3.5. Treatment-Related Adverse Events
3.6. Internal Validation by Bootstrap Resampling
4. Discussion
5. Conclusions
Supplementary Materials
Author Contributions
Funding
Institutional Review Board Statement
Informed Consent Statement
Data Availability Statement
Acknowledgments
Conflicts of Interest
Abbreviations
| Alb | Serum albumin |
| AXL | AXL receptor tyrosine kinase |
| BOR | Best overall response |
| Cabo | Cabozantinib |
| CI | Confidence interval |
| CRP | C-reactive protein |
| Δ | Change from baseline |
| HR | Hazard ratio |
| ICI | Immune checkpoint inhibitor |
| IMDC | International Metastatic RCC Database Consortium |
| KM | Kaplan–Meier |
| LDH | Lactate dehydrogenase |
| mRCC | Metastatic renal cell carcinoma |
| NLR | Neutrophil-to-lymphocyte ratio |
| PFS | Progression-free survival |
| RDI | Relative dose intensity |
| SII | Systemic immune–inflammation index |
| TKI | Tyrosine kinase inhibitor |
| TRAE | Treatment-related adverse event |
References
- Motzer, R.J.; Tannir, N.M.; McDermott, D.F.; Aren Frontera, O.; Melichar, B.; Choueiri, T.K.; Plimack, E.R.; Barthelemy, P.; Porta, C.; George, S.; et al. Nivolumab plus Ipilimumab versus Sunitinib in Advanced Renal-Cell Carcinoma. N. Engl. J. Med. 2018, 378, 1277–1290. [Google Scholar] [CrossRef]
- Rini, B.I.; Plimack, E.R.; Stus, V.; Gafanov, R.; Hawkins, R.; Nosov, D.; Pouliot, F.; Alekseev, B.; Soulieres, D.; Melichar, B.; et al. Pembrolizumab plus Axitinib versus Sunitinib for Advanced Renal-Cell Carcinoma. N. Engl. J. Med. 2019, 380, 1116–1127. [Google Scholar] [CrossRef]
- Motzer, R.J.; Penkov, K.; Haanen, J.; Rini, B.; Albiges, L.; Campbell, M.T.; Venugopal, B.; Kollmannsberger, C.; Negrier, S.; Uemura, M.; et al. Avelumab plus Axitinib versus Sunitinib for Advanced Renal-Cell Carcinoma. N. Engl. J. Med. 2019, 380, 1103–1115. [Google Scholar] [CrossRef]
- Motzer, R.; Alekseev, B.; Rha, S.Y.; Porta, C.; Eto, M.; Powles, T.; Grunwald, V.; Hutson, T.E.; Kopyltsov, E.; Mendez-Vidal, M.J.; et al. Lenvatinib plus Pembrolizumab or Everolimus for Advanced Renal Cell Carcinoma. N. Engl. J. Med. 2021, 384, 1289–1300. [Google Scholar] [CrossRef] [PubMed]
- Choueiri, T.K.; Powles, T.; Burotto, M.; Escudier, B.; Bourlon, M.T.; Zurawski, B.; Oyervides Juarez, V.M.; Hsieh, J.J.; Basso, U.; Shah, A.Y.; et al. Nivolumab plus Cabozantinib versus Sunitinib for Advanced Renal-Cell Carcinoma. N. Engl. J. Med. 2021, 384, 829–841. [Google Scholar] [CrossRef] [PubMed]
- Choueiri, T.K.; Escudier, B.; Powles, T.; Mainwaring, P.N.; Rini, B.I.; Donskov, F.; Hammers, H.; Hutson, T.E.; Lee, J.L.; Peltola, K.; et al. Cabozantinib versus Everolimus in Advanced Renal-Cell Carcinoma. N. Engl. J. Med. 2015, 373, 1814–1823. [Google Scholar] [CrossRef] [PubMed]
- Iinuma, K.; Tomioka-Inagawa, R.; Kameyama, K.; Taniguchi, T.; Kawada, K.; Ishida, T.; Nagai, S.; Enomoto, T.; Ueda, S.; Kawase, M.; et al. Efficacy and Safety of Cabozantinib in Patients with Advanced or Metastatic Renal Cell Carcinoma: A Multicenter Retrospective Cohort Study. Biomedicines 2022, 10, 3172. [Google Scholar] [CrossRef] [PubMed]
- Procopio, G.; Claps, M.; Pircher, C.; Porcu, L.; Sepe, P.; Guadalupi, V.; De Giorgi, U.; Bimbatti, D.; Nolè, F.; Carrozza, F.; et al. A multicenter phase 2 single arm study of cabozantinib in patients with advanced or unresectable renal cell carcinoma pre-treated with one immune-checkpoint inhibitor: The BREAKPOINT trial (Meet-Uro trial 03). Tumori 2023, 109, 129–137. [Google Scholar] [CrossRef]
- Nathan, P.; Venugopal, B.; Ali, J.; Allison, J.; Ceruso, M.; Charnley, N.; Griffiths, R.; Michael, A.; Moore, K.; Perrot, V.; et al. Real-world Treatment Sequencing and Outcomes with Cabozantinib After First-line Immune Checkpoint Inhibitor-based Combination Therapy for Patients with Advanced Renal Cell Carcinoma: CARINA Study Results. Clin. Genitourin. Cancer 2024, 22, 102141. [Google Scholar] [CrossRef]
- Iacovelli, R.; Ciccarese, C.; Facchini, G.; Milella, M.; Urbano, F.; Basso, U.; De Giorgi, U.; Sabbatini, R.; Santini, D.; Berardi, R.; et al. Cabozantinib After a Previous Immune Checkpoint Inhibitor in Metastatic Renal Cell Carcinoma: A Retrospective Multi-Institutional Analysis. Target. Oncol. 2020, 15, 495–501. [Google Scholar] [CrossRef]
- Grünwald, V.; Boegemann, M.; Rafiyan, M.-R.; Niegisch, G.; Schnabel, M.J.; Flörcken, A.; Maasberg, M.; Maintz, C.; Zahn, M.-O.; Wortmann, A.; et al. Final analysis of a non-interventional study on cabozantinib in patients with advanced renal cell carcinoma after prior checkpoint inhibitor therapy (CaboCHECK). J. Clin. Oncol. 2022, 40, 357. [Google Scholar] [CrossRef]
- Sazuka, T.; Matsushita, Y.; Sato, H.; Osawa, T.; Hinata, N.; Hatakeyama, S.; Numakura, K.; Ueda, K.; Kimura, T.; Takahashi, M.; et al. Efficacy and safety of second-line cabozantinib after immuno-oncology combination therapy for advanced renal cell carcinoma: Japanese multicenter retrospective study. Sci. Rep. 2023, 13, 20629. [Google Scholar] [CrossRef]
- Ishihara, H.; Nemoto, Y.; Tachibana, H.; Fukuda, H.; Yoshida, K.; Kobayashi, H.; Iizuka, J.; Hashimoto, Y.; Kondo, T.; Takagi, T. Real-world efficacy and safety of cabozantinib following immune checkpoint inhibitor failure in Japanese patients with advanced renal cell carcinoma. Jpn. J. Clin. Oncol. 2023, 53, 977–983. [Google Scholar] [CrossRef]
- Templeton, A.J.; Knox, J.J.; Lin, X.; Simantov, R.; Xie, W.; Lawrence, N.; Broom, R.; Fay, A.P.; Rini, B.; Donskov, F.; et al. Change in Neutrophil-to-lymphocyte Ratio in Response to Targeted Therapy for Metastatic Renal Cell Carcinoma as a Prognosticator and Biomarker of Efficacy. Eur. Urol. 2016, 70, 358–364. [Google Scholar] [CrossRef]
- Zhou, X.; Fu, G.; Zu, X.; Xu, Z.; Li, H.T.; D’Souza, A.; Tulpule, V.; Quinn, D.I.; Bhowmick, N.A.; Weisenberger, D.J.; et al. Albumin levels predict prognosis in advanced renal cell carcinoma treated with tyrosine kinase inhibitors: A systematic review and meta-analysis. Urol. Oncol. 2022, 40, 12.e13–12.e22. [Google Scholar] [CrossRef] [PubMed]
- Stuhler, V.; Herrmann, L.; Rausch, S.; Stenzl, A.; Bedke, J. Role of the Systemic Immune-Inflammation Index in Patients with Metastatic Renal Cell Carcinoma Treated with First-Line Ipilimumab plus Nivolumab. Cancers 2022, 14, 2972. [Google Scholar] [CrossRef] [PubMed]
- Fukuda, H.; Takagi, T.; Kondo, T.; Shimizu, S.; Tanabe, K. Predictive value of inflammation-based prognostic scores in patients with metastatic renal cell carcinoma treated with cytoreductive nephrectomy. Oncotarget 2018, 9, 14296–14305. [Google Scholar] [CrossRef]
- Shao, Y.; Wu, B.; Jia, W.; Zhang, Z.; Chen, Q.; Wang, D. Prognostic value of pretreatment neutrophil-to-lymphocyte ratio in renal cell carcinoma: A systematic review and meta-analysis. BMC Urol. 2020, 20, 90. [Google Scholar] [CrossRef] [PubMed]
- Wang, Z.; Peng, S.; Wang, A.; Xie, H.; Guo, L.; Jiang, N.; Niu, Y. C-reactive protein is a predictor of prognosis in renal cell carcinoma patients receiving tyrosine kinase inhibitors: A meta-analysis. Clin. Chim. Acta 2017, 475, 178–187. [Google Scholar] [CrossRef]
- Shim, S.R.; Kim, S.J.; Kim, S.I.; Cho, D.S. Prognostic value of the Glasgow Prognostic Score in renal cell carcinoma: A meta-analysis. World J. Urol. 2017, 35, 771–780. [Google Scholar] [CrossRef]
- Goksen, H.B.; Arslan, A. Comparison of inflammatory and nutritional markers obtained at the time of diagnosis in patients diagnosed with renal cell carcinoma. Sci. Rep. 2025, 15, 34771. [Google Scholar] [CrossRef]
- Heng, D.Y.; Xie, W.; Regan, M.M.; Warren, M.A.; Golshayan, A.R.; Sahi, C.; Eigl, B.J.; Ruether, J.D.; Cheng, T.; North, S.; et al. Prognostic factors for overall survival in patients with metastatic renal cell carcinoma treated with vascular endothelial growth factor-targeted agents: Results from a large, multicenter study. J. Clin. Oncol. 2009, 27, 5794–5799. [Google Scholar] [CrossRef]
- Wu, J.Q.; Fan, R.Y.; Zhang, S.R.; Li, C.Y.; Shen, L.Z.; Wei, P.; He, Z.H.; He, M.F. A systematical comparison of anti-angiogenesis and anti-cancer efficacy of ramucirumab, apatinib, regorafenib and cabozantinib in zebrafish model. Life Sci. 2020, 247, 117402. [Google Scholar] [CrossRef]
- Patnaik, A.; Swanson, K.D.; Csizmadia, E.; Solanki, A.; Landon-Brace, N.; Gehring, M.P.; Helenius, K.; Olson, B.M.; Pyzer, A.R.; Wang, L.C.; et al. Cabozantinib Eradicates Advanced Murine Prostate Cancer by Activating Antitumor Innate Immunity. Cancer Discov. 2017, 7, 750–765. [Google Scholar] [CrossRef]
- Khaki Bakhtiarvand, V.; Ramezani-Ali Akbari, K.; Amir Jalali, S.; Hojjat-Farsangi, M.; Jeddi-Tehrani, M.; Shokri, F.; Shabani, M. Myeloid-derived suppressor cells (MDSCs) depletion by cabozantinib improves the efficacy of anti-HER2 antibody-based immunotherapy in a 4T1-HER2 murine breast cancer model. Int. Immunopharmacol. 2022, 113, 109470. [Google Scholar] [CrossRef] [PubMed]
- Jou, E.; Chaudhury, N.; Nasim, F. Novel therapeutic strategies targeting myeloid-derived suppressor cell immunosuppressive mechanisms for cancer treatment. Explor. Target. Antitumor Ther. 2024, 5, 187–207. [Google Scholar] [CrossRef]
- Napolitano, L.; Manfredi, C.; Cirillo, L.; Fusco, G.M.; Passaro, F.; Abate, M.; La Rocca, R.; Mastrangelo, F.; Spirito, L.; Pandolfo, S.D.; et al. Cytoreductive Nephrectomy and Metastatic Renal Cell Carcinoma: State of the Art and Future Perspectives. Medicina 2023, 59, 767. [Google Scholar] [CrossRef]
- Su, J.; Li, Y.; Tan, S.; Cheng, T.; Luo, Y.; Zhang, L. Pretreatment neutrophil-to-lymphocyte ratio is associated with immunotherapy efficacy in patients with advanced cancer: A systematic review and meta-analysis. Sci. Rep. 2025, 15, 446. [Google Scholar] [CrossRef]
- Nader Marta, G.; Isaacsson Velho, P.; Bonadio, R.R.C.; Nardo, M.; Faraj, S.F.; de Azevedo Souza, M.C.L.; Muniz, D.Q.B.; Bastos, D.A.; Dzik, C. Prognostic Value of Systemic Inflammatory Biomarkers in Patients with Metastatic Renal Cell Carcinoma. Pathol. Oncol. Res. 2020, 26, 2489–2497. [Google Scholar] [CrossRef] [PubMed]
- Gulhar, R.; Ashraf, M.A.; Jialal, I. Physiology, Acute Phase Reactants. In StatPearls; StatPearls Publishing LLC.: Treasure Island, FL, USA, 2025. [Google Scholar]
- Almasaudi, A.S.; Dolan, R.D.; Edwards, C.A.; McMillan, D.C. Hypoalbuminemia Reflects Nutritional Risk, Body Composition and Systemic Inflammation and Is Independently Associated with Survival in Patients with Colorectal Cancer. Cancers 2020, 12, 1986. [Google Scholar] [CrossRef] [PubMed]


| Variable | n (%) |
|---|---|
| Age at cabozantinib initiation, years | 68.00 [59.75–73.25] * |
| Sex | |
| Male | 34(85.0) |
| Female | 6 (15.0) |
| Histology | |
| Clear cell | 36 (90.0) |
| Non-clear cell | 4 (10.0) |
| IMDC risk group | |
| Favorable | 13 (32.5) |
| Intermediate | 22 (55.0) |
| Poor | 5 (12.5) |
| Treatment line of cabozantinib | |
| Second line | 12 (30.0) |
| ≥Third line | 28 (70.0) |
| Prior nephrectomy | 33 (82.5) |
| Prior ICI exposure | 39 (97.5) |
| Prior TKI exposure | 36 (87.5) |
| ** Metastatic sites | |
| Lung | 31 (77.5) |
| Lymph node | 19 (47.5) |
| Liver | 16 (40.0) |
| Bone | 11 (27.5) |
| Pancreas | 3 (7.5) |
| Pleura | 2 (5.0) |
| Brain | 1 (2.5) |
| Baseline serum albumin (g/dL) | 3.80 [3.20–4.00] * |
| Baseline CRP (mg/dL) | 0.96 [0.21–5.76] * |
| Baseline NLR | 4.60 [3.25–6.82] * |
| Baseline SII | 1352 [678–2170] * |
| *** Baseline LDH (U/L) | 189 [135–252] * |
| RDI all time | 31.59 [22.49–33.47] * |
| Starting dose of cabozantinib (mg/day) | 20 [20–40] * |
| Dose reduction within 6 weeks | 20 (50.0) |
| Progression-free survival (months) | 8.4 [4.0–12.9] * |
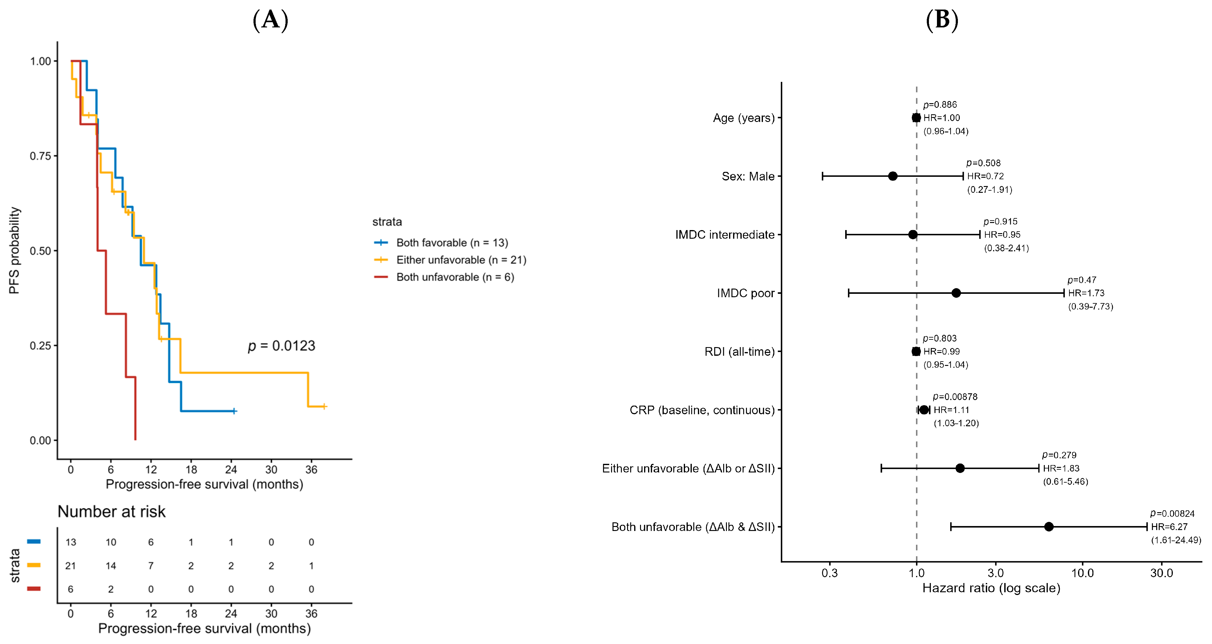
| Variable | Category/Description | HR (95% CI) | p-Value | PH Assumption (p) |
|---|---|---|---|---|
| Age | Continuous | 1.00 (0.96–1.04) | 0.886 | 0.707 |
| Sex | Male vs. Female | 0.72 (0.27–1.91) | 0.508 | |
| IMDC risk group | Intermediate vs. Favorable | 0.95 (0.38–2.41) | 0.915 | |
| Poor vs. Favorable | 1.73 (0.39–7.73) | 0.470 | ||
| RDI all time (%) | Continuous | 0.99 (0.95–1.04) | 0.803 | 0.529 |
| CRP (mg/dl) | Continuous | 1.11 (1.03–1.20) | 0.00878 | 0.65 |
| ΔAlb + ΔSII composite | Reference | - | - | |
| 1 (Either unfavorable) | 1.83 (0.61–5.46) | 0.279 | ||
| 2 (Both unfavorable) | 6.27 (1.61–24.49) | 0.00824 | ||
| Global PH assumption test | 0.587 |
Disclaimer/Publisher’s Note: The statements, opinions and data contained in all publications are solely those of the individual author(s) and contributor(s) and not of MDPI and/or the editor(s). MDPI and/or the editor(s) disclaim responsibility for any injury to people or property resulting from any ideas, methods, instructions or products referred to in the content. |
© 2025 by the authors. Licensee MDPI, Basel, Switzerland. This article is an open access article distributed under the terms and conditions of the Creative Commons Attribution (CC BY) license (https://creativecommons.org/licenses/by/4.0/).
Share and Cite
Fujimura, R.; Yaegashi, H.; Nakagawa, R.; Kamijima, T.; Kano, H.; Makino, T.; Naito, R.; Kadomoto, S.; Iwamoto, H.; Shigehara, K.; et al. Dynamic Changes in Albumin and Systemic Immune-Inflammation Index as Prognostic Markers in Patients Treated with Cabozantinib After Immune Checkpoint Inhibitors for Metastatic Renal Cell Carcinoma. Cancers 2025, 17, 3956. https://doi.org/10.3390/cancers17243956
Fujimura R, Yaegashi H, Nakagawa R, Kamijima T, Kano H, Makino T, Naito R, Kadomoto S, Iwamoto H, Shigehara K, et al. Dynamic Changes in Albumin and Systemic Immune-Inflammation Index as Prognostic Markers in Patients Treated with Cabozantinib After Immune Checkpoint Inhibitors for Metastatic Renal Cell Carcinoma. Cancers. 2025; 17(24):3956. https://doi.org/10.3390/cancers17243956
Chicago/Turabian StyleFujimura, Rikushi, Hiroshi Yaegashi, Ryunosuke Nakagawa, Taiki Kamijima, Hiroshi Kano, Tomoyuki Makino, Renato Naito, Suguru Kadomoto, Hiroaki Iwamoto, Kazuyoshi Shigehara, and et al. 2025. "Dynamic Changes in Albumin and Systemic Immune-Inflammation Index as Prognostic Markers in Patients Treated with Cabozantinib After Immune Checkpoint Inhibitors for Metastatic Renal Cell Carcinoma" Cancers 17, no. 24: 3956. https://doi.org/10.3390/cancers17243956
APA StyleFujimura, R., Yaegashi, H., Nakagawa, R., Kamijima, T., Kano, H., Makino, T., Naito, R., Kadomoto, S., Iwamoto, H., Shigehara, K., Nohara, T., Izumi, K., & Mizokami, A. (2025). Dynamic Changes in Albumin and Systemic Immune-Inflammation Index as Prognostic Markers in Patients Treated with Cabozantinib After Immune Checkpoint Inhibitors for Metastatic Renal Cell Carcinoma. Cancers, 17(24), 3956. https://doi.org/10.3390/cancers17243956

