Spheroid-Based 3D Models to Decode Cell Function and Matrix Effectors in Breast Cancer
Simple Summary
Abstract
1. Introduction
2. Materials and Methods
2.1. Cell Cultures and Reagents
2.2. Three-Dimensional Cell Cultures; Spheroids Development
2.3. Scanning Electron Microscopy Imaging
2.4. RNA Isolation, Reverse Transcription, and Real-Time qPCR Analysis
2.5. Immunofluorescence Staining and Imaging
2.6. Bioinformatic Tools
2.6.1. Kaplan–Meier Plotter
2.6.2. Interaction Networks Using the STRING Database
2.6.3. The Human Protein Atlas
2.7. Spheroid Dissemination and In Vitro Wound Healing Assay
2.8. Statistical Analysis
3. Results
3.1. Development and Morphological Features of Breast Cancer Spheroids
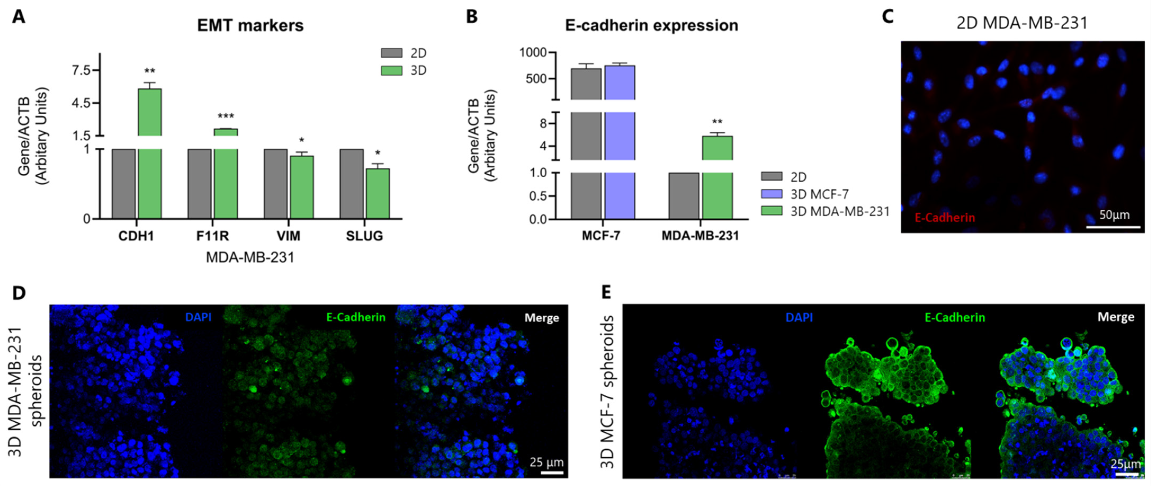
3.2. MDA-MB-231 Cells Undergo Phenotypic Transition from 2D Culture to 3D Spheroids
3.3. Spheroids’ Phenotypic Transitions Are Accompanied by Significant Alterations in the Expression of ERs, RTKs and Critical ECM Effectors
3.4. Protein–Protein Interaction Network Highlights the Relationship Between Key Receptors and Matrix Signatures
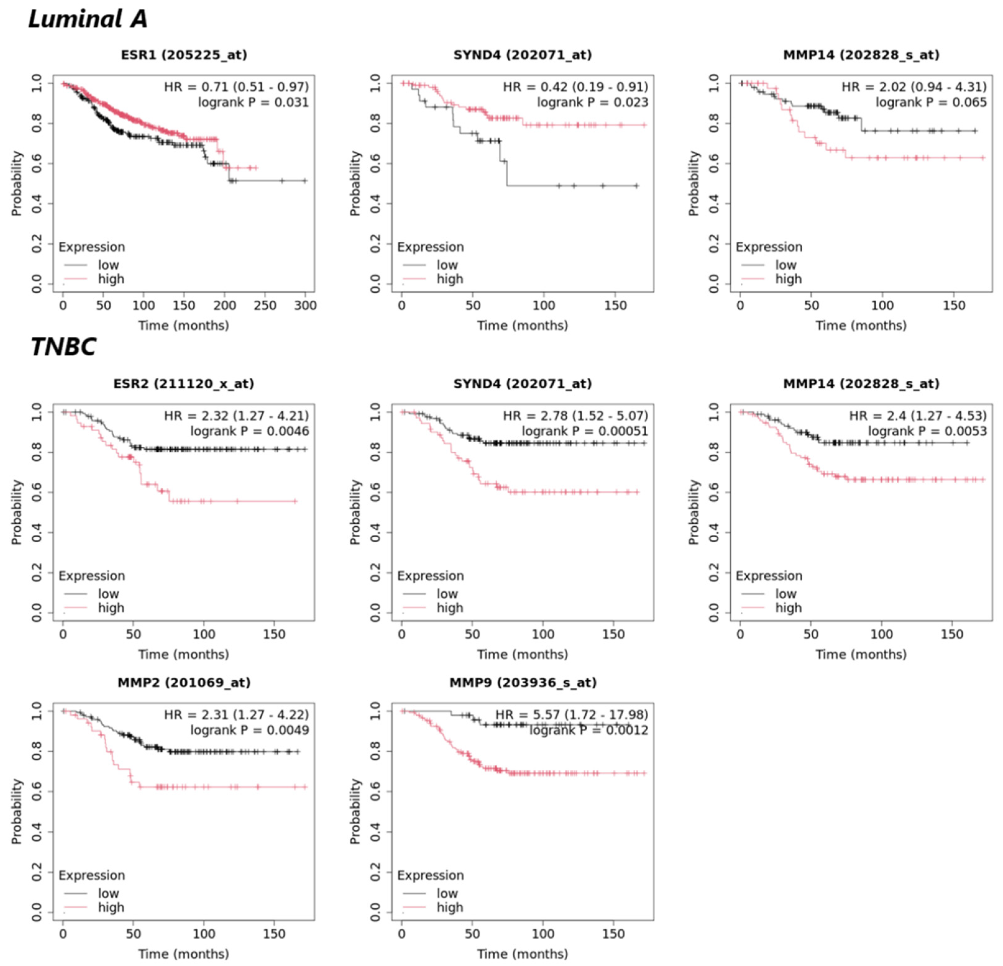
3.5. Prognostic Values of ERs and Matrix Molecules in Luminal A and TNBC Patients’ Survival
3.6. Dissemination of Spheroids: A Model to Mimic the Initial Steps of Tumor Spreading
4. Discussion
5. Conclusions
Author Contributions
Funding
Institutional Review Board Statement
Informed Consent Statement
Data Availability Statement
Conflicts of Interest
Abbreviations
| 2D/3D | two-dimensional/three-dimensional |
| E2 | 17β-estradiol |
| ECM | extracellular matrix |
| EGFR | epidermal growth factor receptor |
| EMT | epithelial-to-mesenchymal transition |
| ERα/ERβ | estrogen receptor alpha/estrogen receptor beta |
| GFs | growth factors |
| HER2 | human epidermal growth factor receptor 2 |
| IGF-IR | insulin-like growth factor receptor |
| JAMs | junctional adhesion molecules |
| miRNAs | microRNAs |
| MMPs | matrix metalloproteinases |
| nTPM | number of transcripts per million |
| OS | overall survival |
| PGs | proteoglycans |
| PR | progesterone receptor |
| RTKs | receptor tyrosine kinases |
| SDCs | syndecans |
| SEM | scanning electron microscopy |
| TME | tumor microenvironment |
| TNBC | triple-negative breast cancer |
References
- Ballav, S.; Jaywant Deshmukh, A.; Siddiqui, S.; Aich, J.; Basu, S. Two-Dimensional and Three-Dimensional Cell Culture and Their Applications. In Biochemistry; Zhan, X., Ed.; IntechOpen: London, UK, 2022. [Google Scholar]
- Garnique, A.D.M.B.; Parducci, N.S.; De Miranda, L.B.L.; De Almeida, B.O.; Sanches, L.; Machado-Neto, J.A. Two-Dimensional and Spheroid-Based Three-Dimensional Cell Culture Systems: Implications for Drug Discovery in Cancer. Drugs Drug Candidates 2024, 3, 391–409. [Google Scholar] [CrossRef]
- Salinas-Vera, Y.M.; Valdés, J.; Pérez-Navarro, Y.; Mandujano-Lazaro, G.; Marchat, L.A.; Ramos-Payán, R.; Nuñez-Olvera, S.I.; Pérez-Plascencia, C.; López-Camarillo, C. Three-Dimensional 3D Culture Models in Gynecological and Breast Cancer Research. Front. Oncol. 2022, 12, 826113. [Google Scholar] [CrossRef] [PubMed]
- Kyriakopoulou, K.; Koutsakis, C.; Piperigkou, Z.; Karamanos, N.K. Recreating the extracellular matrix: Novel 3D cell culture platforms in cancer research. FEBS J. 2023, 290, 5238–5247. [Google Scholar] [CrossRef] [PubMed]
- Mangani, S.; Kremmydas, S.; Karamanos, N.K. Mimicking the Complexity of Solid Tumors: How Spheroids Could Advance Cancer Preclinical Transformative Approaches. Cancers 2025, 17, 1161. [Google Scholar] [CrossRef]
- Bray, F.; Laversanne, M.; Sung, H.; Ferlay, J.; Siegel, R.L.; Soerjomataram, I.; Jemal, A. Global cancer statistics 2022: GLOBOCAN estimates of incidence and mortality worldwide for 36 cancers in 185 countries. CA Cancer J. Clin. 2024, 74, 229–263. [Google Scholar] [CrossRef]
- Mota, A.M.; Mendes, J.; Matela, N. Breast Cancer Molecular Subtype Prediction: A Mammography-Based AI Approach. Biomedicines 2024, 12, 1371. [Google Scholar] [CrossRef]
- Höller, A.; Nguyen-Sträuli, B.D.; Frauchiger-Heuer, H.; Ring, A. “Diagnostic and Prognostic Biomarkers of Luminal Breast Cancer: Where are We Now?”. Breast Cancer Targets Ther. 2023, 15, 525–540. [Google Scholar] [CrossRef]
- Gupta, G.K.; Collier, A.L.; Lee, D.; Hoefer, R.A.; Zheleva, V.; Siewertsz Van Reesema, L.L.; Tang-Tan, A.M.; Guye, M.L.; Chang, D.Z.; Winston, J.S.; et al. Perspectives on Triple-Negative Breast Cancer: Current Treatment Strategies, Unmet Needs, and Potential Targets for Future Therapies. Cancers 2020, 12, 2392. [Google Scholar] [CrossRef]
- Mangani, S.; Piperigkou, Z.; Koletsis, N.E.; Ioannou, P.; Karamanos, N.K. Estrogen receptors and extracellular matrix: The critical interplay in cancer development and progression. FEBS J. 2025, 292, 1558–1572. [Google Scholar] [CrossRef]
- Karamanos, N.K.; Götte, M.; Passi, A. Editorial: Molecules of the extracellular matrix as cancer targets. Front. Oncol. 2022, 12, 1034646. [Google Scholar] [CrossRef]
- Fontana, R.; Mestre-Farrera, A.; Yang, J. Update on Epithelial-Mesenchymal Plasticity in Cancer Progression. Annu. Rev. Pathol. Mech. Dis. 2024, 19, 133–156. [Google Scholar] [CrossRef] [PubMed]
- Huang, Y.; Hong, W.; Wei, X. The molecular mechanisms and therapeutic strategies of EMT in tumor progression and metastasis. J. Hematol. Oncol. 2022, 15, 129. [Google Scholar] [CrossRef] [PubMed]
- Scott, L.E.; Weinberg, S.H.; Lemmon, C.A. Mechanochemical Signaling of the Extracellular Matrix in Epithelial-Mesenchymal Transition. Front. Cell Dev. Biol. 2019, 7, 135. [Google Scholar] [CrossRef]
- Karamanos, N.K.; Piperigkou, Z.; Passi, A.; Götte, M.; Rousselle, P.; Vlodavsky, I. Extracellular matrix-based cancer targeting. Trends Mol. Med. 2021, 27, 1000–1013. [Google Scholar] [CrossRef]
- Zhao, Y.; Shen, M.; Wu, L.; Yang, H.; Yao, Y.; Yang, Q.; Du, J.; Liu, L.; Li, Y.; Bai, Y. Stromal cells in the tumor microenvironment: Accomplices of tumor progression? Cell Death Dis. 2023, 14, 587. [Google Scholar] [CrossRef]
- Mai, Z.; Lin, Y.; Lin, P.; Zhao, X.; Cui, L. Modulating extracellular matrix stiffness: A strategic approach to boost cancer immunotherapy. Cell Death Dis. 2024, 15, 307. [Google Scholar] [CrossRef]
- Gresham, R.C.H.; Bahney, C.S.; Leach, J.K. Growth factor delivery using extracellular matrix-mimicking substrates for musculoskeletal tissue engineering and repair. Bioact. Mater. 2021, 6, 1945–1956. [Google Scholar] [CrossRef]
- Sigismund, S.; Avanzato, D.; Lanzetti, L. Emerging functions of the EGFR in cancer. Mol. Oncol. 2018, 12, 3–20. [Google Scholar] [CrossRef]
- Soni, U.K.; Jenny, L.; Hegde, R.S. IGF-1R targeting in cancer—Does sub-cellular localization matter? J. Exp. Clin. Cancer Res. 2023, 42, 273. [Google Scholar] [CrossRef]
- Onyeisi, J.O.S.; Lopes, C.C.; Götte, M. Role of syndecan-4 in breast cancer pathophysiology. Am. J. Physiol.-Cell Physiol. 2022, 323, C1345–C1354. [Google Scholar] [CrossRef]
- Motta, J.M.; Hassan, H.; Ibrahim, S.A. Revisiting the Syndecans: Master Signaling Regulators with Prognostic and Targetable Therapeutic Values in Breast Carcinoma. Cancers 2023, 15, 1794. [Google Scholar] [CrossRef]
- Koedoot, E.; Wolters, L.; Smid, M.; Stoilov, P.; Burger, G.A.; Herpers, B.; Yan, K.; Price, L.S.; Martens, J.W.M.; Le Dévédec, S.E.; et al. Differential reprogramming of breast cancer subtypes in 3D cultures and implications for sensitivity to targeted therapy. Sci. Rep. 2021, 11, 7259. [Google Scholar] [CrossRef] [PubMed]
- Gourdoupi, C.; Kremmydas, S.; Mangani, S.; Ioannou, P.; Afratis, N.A.; Piperigkou, Z.; Karamanos, N.K. From Structure to Function: The Impact of EGFR and IGF-IR in 3D Breast Cancer Spheroids. Cancers 2025, 17, 2606. [Google Scholar] [CrossRef]
- Kremmydas, S.; Gourdoupi, C.; Piperigkou, Z.; Karamanos, N.K. Targeting EGFR/IGF-IR Functional Crosstalk in 2D and 3D Triple-Negative Breast Cancer Models to Evaluate Tumor Progression. Int. J. Mol. Sci. 2025, 26, 8665. [Google Scholar] [CrossRef]
- Koletsis, N.E.; Mangani, S.; Franchi, M.; Piperigkou, Z.; Karamanos, N.K. Development, Functional Characterization, and Matrix Effectors Dynamics in 3D Spheroids of Triple-Negative Breast Cancer Cells. Cells 2025, 14, 1351. [Google Scholar] [CrossRef]
- Győrffy, B. Integrated analysis of public datasets for the discovery and validation of survival-associated genes in solid tumors. Innovation 2024, 5, 100625. [Google Scholar] [CrossRef]
- Szklarczyk, D.; Kirsch, R.; Koutrouli, M.; Nastou, K.; Mehryary, F.; Hachilif, R.; Gable, A.L.; Fang, T.; Doncheva, N.T.; Pyysalo, S.; et al. The STRING database in 2023: Protein–protein association networks and functional enrichment analyses for any sequenced genome of interest. Nucleic Acids Res. 2023, 51, D638–D646. [Google Scholar] [CrossRef]
- Digre, A.; Lindskog, C. The Human Protein Atlas—Spatial localization of the human proteome in health and disease. Protein Sci. 2021, 30, 218–233. [Google Scholar] [CrossRef]
- Noorolyai, S.; Baghbani, E.; Rahmani, S.; Shadbad, M.A.; Montazami, N.; Jigari-Asl, F.; Vazirabad, A.F.; Baradaran, B. hsa-miR-34a-5p potentiates cytarabine-mediated cell cycle arrest in MDA-MB-231 cells: A novel combination therapy. Pathol. Res. Pract. 2022, 236, 154004. [Google Scholar] [CrossRef]
- Kyriakopoulou, K.; Kefali, E.; Piperigkou, Z.; Riethmüller, C.; Greve, B.; Franchi, M.; Götte, M.; Karamanos, N.K. EGFR is a pivotal player of the E2/ERβ—Mediated functional properties, aggressiveness, and stemness in triple-negative breast cancer cells. FEBS J. 2022, 289, 1552–1574. [Google Scholar] [CrossRef]
- Parker, A.L.; Benguigui, M.; Fornetti, J.; Goddard, E.; Lucotti, S.; Insua-Rodríguez, J.; Wiegmans, A.P. Early Career Leadership Council of the Metastasis Research Society Current challenges in metastasis research and future innovation for clinical translation. Clin. Exp. Metastasis 2022, 39, 263–277. [Google Scholar] [CrossRef] [PubMed]
- Roy, S.M.; Garg, V.; Barman, S.; Ghosh, C.; Maity, A.R.; Ghosh, S.K. Kinetics of Nanomedicine in Tumor Spheroid as an In Vitro Model System for Efficient Tumor-Targeted Drug Delivery With Insights From Mathematical Models. Front. Bioeng. Biotechnol. 2021, 9, 785937. [Google Scholar] [CrossRef] [PubMed]
- Fares, J.; Fares, M.Y.; Khachfe, H.H.; Salhab, H.A.; Fares, Y. Molecular principles of metastasis: A hallmark of cancer revisited. Signal Transduct. Target. Ther. 2020, 5, 28. [Google Scholar] [CrossRef] [PubMed]
- Coelho, L.L.; Vianna, M.M.; Da Silva, D.M.; Gonzaga, B.M.D.S.; Ferreira, R.R.; Monteiro, A.C.; Bonomo, A.C.; Manso, P.P.D.A.; De Carvalho, M.A.; Vargas, F.R.; et al. Spheroid Model of Mammary Tumor Cells: Epithelial–Mesenchymal Transition and Doxorubicin Response. Biology 2024, 13, 463. [Google Scholar] [CrossRef]
- Khawar, I.A.; Ghosh, T.; Park, J.K.; Kuh, H.-J. Tumor spheroid-based microtumor models for preclinical evaluation of anticancer nanomedicines. J. Pharm. Investig. 2021, 51, 541–553. [Google Scholar] [CrossRef]
- Han, S.J.; Kwon, S.; Kim, K.S. Challenges of applying multicellular tumor spheroids in preclinical phase. Cancer Cell Int. 2021, 21, 152. [Google Scholar] [CrossRef]
- Fang, J.Y.; Tan, S.-J.; Yang, Z.; Tayag, C.; Han, B. Tumor Bioengineering Using a Transglutaminase Crosslinked Hydrogel. PLoS ONE 2014, 9, e105616. [Google Scholar] [CrossRef]
- Madhavan, M.; Jaiswal, D.; Karlberg, S.; Duggan, A.; Almarshad, H.A.; Claffey, K.P.; Hoshino, K. Electron microscopy imaging and mechanical characterization of T47D multicellular tumor spheroids–Older spheroids reduce interstitial space and become stiffer. PLoS ONE 2023, 18, e0286291. [Google Scholar] [CrossRef]
- Li, M.; Chai, H.-F.; Peng, F.; Meng, Y.-T.; Zhang, L.-Z.; Zhang, L.; Zou, H.; Liang, Q.-L.; Li, M.-M.; Mao, K.-G.; et al. Estrogen receptor β upregulated by lncRNA-H19 to promote cancer stem-like properties in papillary thyroid carcinoma. Cell Death Dis. 2018, 9, 1120. [Google Scholar] [CrossRef]
- Piperigkou, Z.; Koutsandreas, A.; Franchi, M.; Zolota, V.; Kletsas, D.; Passi, A.; Karamanos, N.K. ESR2 Drives Mesenchymal-to-Epithelial Transition in Triple-Negative Breast Cancer and Tumorigenesis In Vivo. Front. Oncol. 2022, 12, 917633. [Google Scholar] [CrossRef]
- Uhlén, M.; Fagerberg, L.; Hallström, B.M.; Lindskog, C.; Oksvold, P.; Mardinoglu, A.; Sivertsson, Å.; Kampf, C.; Sjöstedt, E.; Asplund, A.; et al. Tissue-based map of the human proteome. Science 2015, 347, 1260419. [Google Scholar] [CrossRef]
- Bulatowicz, J.J.; Wood, T.L. Activation Versus Inhibition of IGF1R: A Dual Role in Breast Tumorigenesis. Front. Endocrinol. 2022, 13, 911079. [Google Scholar] [CrossRef]
- Obr, A.E.; Kumar, S.; Chang, Y.-J.; Bulatowicz, J.J.; Barnes, B.J.; Birge, R.B.; Lazzarino, D.A.; Gallagher, E.; LeRoith, D.; Wood, T.L. Insulin-like growth factor receptor signaling in breast tumor epithelium protects cells from endoplasmic reticulum stress and regulates the tumor microenvironment. Breast Cancer Res. 2018, 20, 138. [Google Scholar] [CrossRef]
- Florio, A.; Johnson, S.; Salvatori, R.; Vasmatzis, G. Monolayer culture alters EGFR inhibitor response through abrogation of microRNA-mediated feedback regulation. Sci. Rep. 2024, 14, 7303. [Google Scholar] [CrossRef] [PubMed]
- Howes, A.L.; Richardson, R.D.; Finlay, D.; Vuori, K. 3-Dimensional Culture Systems for Anti-Cancer Compound Profiling and High-Throughput Screening Reveal Increases in EGFR Inhibitor-Mediated Cytotoxicity Compared to Monolayer Culture Systems. PLoS ONE 2014, 9, e108283. [Google Scholar] [CrossRef] [PubMed]
- Betriu, N.; Andreeva, A.; Semino, C.E. Erlotinib Promotes Ligand-Induced EGFR Degradation in 3D but Not 2D Cultures of Pancreatic Ductal Adenocarcinoma Cells. Cancers 2021, 13, 4504. [Google Scholar] [CrossRef]
- Breslin, S.; O’Driscoll, L. The relevance of using 3D cell cultures, in addition to 2D monolayer cultures, when evaluating breast cancer drug sensitivity and resistance. Oncotarget 2016, 7, 45745–45756. [Google Scholar] [CrossRef]
- Weigelt, B.; Lo, A.T.; Park, C.C.; Gray, J.W.; Bissell, M.J. HER2 signaling pathway activation and response of breast cancer cells to HER2-targeting agents is dependent strongly on the 3D microenvironment. Breast Cancer Res. Treat. 2010, 122, 35–43. [Google Scholar] [CrossRef]
- Ali, R.; Wendt, M.K. The paradoxical functions of EGFR during breast cancer progression. Signal Transduct. Target. Ther. 2017, 2, 16042. [Google Scholar] [CrossRef]
- Yang, Z.; Chen, S.; Ying, H.; Yao, W. Targeting syndecan-1: New opportunities in cancer therapy. Am. J. Physiol. Cell Physiol. 2022, 323, C29–C45. [Google Scholar] [CrossRef]
- Li, Z.; He, S.; Liu, J.; Zhi, X.; Yang, L.; Zhang, J.; Zhao, R.; Zhang, R.; Li, L.; Wang, W. High expression of SDC1 in stromal cells is associated with good prognosis in colorectal cancer. Anti-Cancer Drugs 2023, 34, 479–482. [Google Scholar] [CrossRef] [PubMed]
- Onyeisi, J.O.S.; El-Shorafa, H.M.; Greve, B.; Götte, M. Role of syndecan-4 in angiogenesis and vasculogenic mimicry in triple negative breast cancer cells. Matrix Biol. 2025, 136, 127–133. [Google Scholar] [CrossRef] [PubMed]
- Onyeisi, J.O.S.; Lopes, C.C.; Götte, M. Syndecan-4 as a Pathogenesis Factor and Therapeutic Target in Cancer. Biomolecules 2021, 11, 503. [Google Scholar] [CrossRef]
- Afratis, N.A.; Bouris, P.; Skandalis, S.S.; Multhaupt, H.A.; Couchman, J.R.; Theocharis, A.D.; Karamanos, N.K. IGF-IR cooperates with ERα to inhibit breast cancer cell aggressiveness by regulating the expression and localisation of ECM molecules. Sci. Rep. 2017, 7, 40138. [Google Scholar] [CrossRef]
- Mustafa, S.; Koran, S.; AlOmair, L. Insights Into the Role of Matrix Metalloproteinases in Cancer and its Various Therapeutic Aspects: A Review. Front. Mol. Biosci. 2022, 9, 896099. [Google Scholar] [CrossRef]
- Kwon, M.J. Matrix metalloproteinases as therapeutic targets in breast cancer. Front. Oncol. 2023, 12, 1108695. [Google Scholar] [CrossRef]
- Li, H.; Qiu, Z.; Li, F.; Wang, C. The relationship between MMP-2 and MMP-9 expression levels with breast cancer incidence and prognosis. Oncol. Lett. 2017, 14, 5865–5870. [Google Scholar] [CrossRef]
- Kamalabadi Farahani, M.; Atashi, A.; Bitaraf, F.S. Upregulation of Matrix Metalloproteinases in the Metastatic Cascade of Breast Cancer to the Brain. Asian Pac. J. Cancer Prev. 2023, 24, 2997–3001. [Google Scholar] [CrossRef]
- Gilkes, D.M.; Semenza, G.L.; Wirtz, D. Hypoxia and the extracellular matrix: Drivers of tumour metastasis. Nat. Rev. Cancer 2014, 14, 430–439. [Google Scholar] [CrossRef]
- Solis-Coronado, O.; Villarreal-Vela, M.P.; Rodríguez-Gutiérrez, H.F.; González-Guerrero, J.F.; Cerda-Flores, R.M.; Alcorta-Núñez, F.; Camarillo-Cárdenas, K.P.; Pérez-Ibave, D.C.; Vidal-Gutiérrez, O.; Ramírez-Correa, G.A.; et al. Risk Association of TOX3 and MMP7 Gene Polymorphisms with Sporadic Breast Cancer in Mexican Women. Curr. Oncol. 2022, 29, 1008–1017. [Google Scholar] [CrossRef]
- Wang, F.; Reierstad, S.; Fishman, D.A. Matrilysin over-expression in MCF-7 cells enhances cellular invasiveness and pro-gelatinase activation. Cancer Lett. 2006, 236, 292–301. [Google Scholar] [CrossRef]
- Wu, K.; Li, Q.; Lin, F.; Li, J.; Wu, L.; Li, W.; Yang, Q. MT1-MMP is not a good prognosticator of cancer survival: Evidence from 11 studies. Tumor Biol. 2014, 35, 12489–12495. [Google Scholar] [CrossRef]
- Carey, S.P.; Martin, K.E.; Reinhart-King, C.A. Three-dimensional collagen matrix induces a mechanosensitive invasive epithelial phenotype. Sci. Rep. 2017, 7, 42088. [Google Scholar] [CrossRef]
- Dekker, Y.; Le Dévédec, S.E.; Danen, E.H.J.; Liu, Q. Crosstalk between Hypoxia and Extracellular Matrix in the Tumor Microenvironment in Breast Cancer. Genes 2022, 13, 1585. [Google Scholar] [CrossRef]
- Huang, Z.; Yu, P.; Tang, J. Characterization of Triple-Negative Breast Cancer MDA-MB-231 Cell Spheroid Model. OncoTargets Ther. 2020, 13, 5395–5405. [Google Scholar] [CrossRef]
- Zhang, G.; Song, X.; Mei, J.; Ye, G.; Wang, L.; Yu, L.; Xing, M.M.Q.; Qiu, X. A simple 3D cryogel co-culture system used to study the role of CAFs in EMT of MDA-MB-231 cells. RSC Adv. 2017, 7, 17208–17216. [Google Scholar] [CrossRef]
- Wang, H.; Qian, J.; Zhang, Y.; Xu, W.; Xiao, J.; Suo, A. Growth of MCF-7 breast cancer cells and efficacy of anti-angiogenic agents in a hydroxyethyl chitosan/glycidyl methacrylate hydrogel. Cancer Cell Int. 2017, 17, 55. [Google Scholar] [CrossRef] [PubMed]
- Li, X.; Wang, J. Mechanical tumor microenvironment and transduction: Cytoskeleton mediates cancer cell invasion and metastasis. Int. J. Biol. Sci. 2020, 16, 2014–2028. [Google Scholar] [CrossRef]







| Gene | Primer Sequence (5′-3′) | Annealing T (°C) | |
|---|---|---|---|
| ESR1 | F | TGATGAAAGGTGGGATACGA | 60 |
| R | AAGGTTGGCAGCTCTCATGT | ||
| ESR2 | F | TCCATGCGCCTGGCTAAC | 60 |
| R | CAGATGTTCCATGCCCTTGTTA | ||
| EGFR | F | ATGCTCTACAACCCCACCAC | 60 |
| R | GCCCTTCGCACTTCTTACAC | ||
| IGF1R | F | ACGAGTGGAGAAATCTGCGG | 60 |
| R | ATGTGGAGGTAGCCCTCGAT | ||
| CDH1 | F | TACGCCTGGGACTCCACCTA | 60 |
| R | CCAGAAACGGAGGCCTGAT | ||
| F11R | F | CCGTCCTTGTAACCCTGATT | 60 |
| R | CTCCTTCACTTCGGGCACTA | ||
| VIM | F | GGCTCGTCACCTTCGTGAAT | 60 |
| R | GAGAAATCCTGCTCTCCTCGC | ||
| SNAI2 | F | AGACCCTGGTTGCTTCAAGGA | 60 |
| R | CTCAGATTTGACCTGTCTGCAAA | ||
| SDC1 | F | AGGACGAAGGCAGCTACTCCT | 60 |
| R | TTTGGTGGGCTTCTGGTAGG | ||
| SDC4 | F | GTGTCCAACAAGGTGTCAATGT | 60 |
| R | CGGTACATGAGCAGTAGGATCA | ||
| MMP2 | F | CGTCTGTCCCAGGATGACATC | 62 |
| R | ATGTCAGGAGAGGCCCCATA | ||
| MMP7 | F | GCTGGCTCATGCCTTTGC | 62 |
| R | TCCTCATCGAAGTGAGCATCTC | ||
| MMP9 | F | TTCCAGTACCGAGAGAAAGCCTAT | 62 |
| R | GGTCACGTAGCCCACTTGGT | ||
| MMP14 | F | CATGGGCAGCGATGAAGTCT | 60 |
| R | CCAGTATTTGTTCCCCTTGTAGAAGTA | ||
| ACTB | F | TCAAGATCATTGCTCCTCCTGAG | 60 |
| R | ACATCTGCTGGAAGGTGGACA |
Disclaimer/Publisher’s Note: The statements, opinions and data contained in all publications are solely those of the individual author(s) and contributor(s) and not of MDPI and/or the editor(s). MDPI and/or the editor(s) disclaim responsibility for any injury to people or property resulting from any ideas, methods, instructions or products referred to in the content. |
© 2025 by the authors. Licensee MDPI, Basel, Switzerland. This article is an open access article distributed under the terms and conditions of the Creative Commons Attribution (CC BY) license (https://creativecommons.org/licenses/by/4.0/).
Share and Cite
Mangani, S.; Koutsakis, C.; Koletsis, N.E.; Piperigkou, Z.; Franchi, M.; Götte, M.; Karamanos, N.K. Spheroid-Based 3D Models to Decode Cell Function and Matrix Effectors in Breast Cancer. Cancers 2025, 17, 3512. https://doi.org/10.3390/cancers17213512
Mangani S, Koutsakis C, Koletsis NE, Piperigkou Z, Franchi M, Götte M, Karamanos NK. Spheroid-Based 3D Models to Decode Cell Function and Matrix Effectors in Breast Cancer. Cancers. 2025; 17(21):3512. https://doi.org/10.3390/cancers17213512
Chicago/Turabian StyleMangani, Sylvia, Christos Koutsakis, Nikolaos E. Koletsis, Zoi Piperigkou, Marco Franchi, Martin Götte, and Nikos K. Karamanos. 2025. "Spheroid-Based 3D Models to Decode Cell Function and Matrix Effectors in Breast Cancer" Cancers 17, no. 21: 3512. https://doi.org/10.3390/cancers17213512
APA StyleMangani, S., Koutsakis, C., Koletsis, N. E., Piperigkou, Z., Franchi, M., Götte, M., & Karamanos, N. K. (2025). Spheroid-Based 3D Models to Decode Cell Function and Matrix Effectors in Breast Cancer. Cancers, 17(21), 3512. https://doi.org/10.3390/cancers17213512

