Comparison of Outcomes of Haploidentical Peripheral Blood Stem Cell Transplantation with Post-Transplant Cyclophosphamide in Older Versus Younger Patients
Simple Summary
Abstract
1. Introduction
2. Methods
2.1. Study Population
2.2. Definitions and Endpoints
2.3. Statistical Analysis
3. Results
3.1. Baseline Characteristics
3.2. Hematopoietic Engraftment
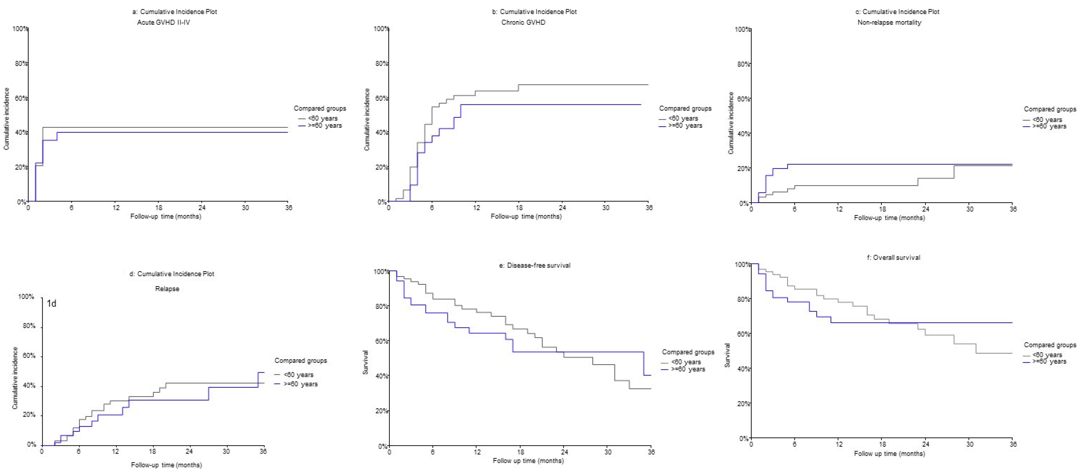
3.3. Graft-Versus-Host Disease
3.4. Non-Relapse Mortality and Relapse
3.5. Disease-Free and Overall Survival
3.6. Outcomes for Age ≥ 60 Years by Conditioning Regimen
3.7. Survival Outcomes for Age ≥ 70 Years
4. Discussion
5. Conclusions
Author Contributions
Funding
Institutional Review Board Statement
Informed Consent Statement
Data Availability Statement
Acknowledgments
Conflicts of Interest
References
- Gragert, L.; Eapen, M.; Williams, E.; Freeman, J.; Spellman, S.; Baitty, R.; Hartzman, R.; Rizzo, J.D.; Horowitz, M.; Confer, D.; et al. HLA Match Likelihoods for Hematopoietic Stem-Cell Grafts in the U.S. Registry. N. Engl. J. Med. 2014, 371, 339–348. [Google Scholar] [CrossRef]
- Bolaños-Meade, J.; Fuchs, E.J.; Luznik, L.; Lanzkron, S.M.; Gamper, C.J.; Jones, R.J.; Brodsky, R.A. HLA-Haploidentical Bone Marrow Transplantation with Posttransplant Cyclophosphamide Expands the Donor Pool for Patients with Sickle Cell Disease. Blood 2012, 120, 4285–4291. [Google Scholar] [CrossRef] [PubMed]
- Luznik, L.; O’Donnell, P.V.; Symons, H.J.; Chen, A.R.; Leffell, M.S.; Zahurak, M.; Gooley, T.A.; Piantadosi, S.; Kaup, M.; Ambinder, R.F.; et al. HLA-Haploidentical Bone Marrow Transplantation for Hematologic Malignancies Using Nonmyeloablative Conditioning and High-Dose, Posttransplantation Cyclophosphamide. Biol. Blood Marrow Transplant. 2008, 14, 641–650. [Google Scholar] [CrossRef] [PubMed]
- Bolaños-Meade, J.; Hamadani, M.; Wu, J.; Al Malki, M.M.; Martens, M.J.; Runaas, L.; Elmariah, H.; Rezvani, A.R.; Gooptu, M.; Larkin, K.T.; et al. Post-Transplantation Cyclophosphamide-Based Graft-versus-Host Disease Prophylaxis. N. Engl. J. Med. 2023, 388, 2338–2348. [Google Scholar] [CrossRef] [PubMed]
- Ciurea, S.O.; Zhang, M.-J.; Bacigalupo, A.A.; Bashey, A.; Appelbaum, F.R.; Aljitawi, O.S.; Armand, P.; Antin, J.H.; Chen, J.; Devine, S.M.; et al. Haploidentical Transplant with Posttransplant Cyclophosphamide vs Matched Unrelated Donor Transplant for Acute Myeloid Leukemia. Blood 2015, 126, 1033–1040. [Google Scholar] [CrossRef] [PubMed]
- McCurdy, S.R.; Kanakry, J.A.; Showel, M.M.; Tsai, H.-L.; Bolaños-Meade, J.; Rosner, G.L.; Kanakry, C.G.; Perica, K.; Symons, H.J.; Brodsky, R.A.; et al. Risk-Stratified Outcomes of Nonmyeloablative HLA-Haploidentical BMT with High-Dose Posttransplantation Cyclophosphamide. Blood 2015, 125, 3024–3031. [Google Scholar] [CrossRef] [PubMed]
- McCurdy, S.R.; Kasamon, Y.L.; Kanakry, C.G.; Bolaños-Meade, J.; Tsai, H.-L.; Showel, M.M.; Kanakry, J.A.; Symons, H.J.; Gojo, I.; Smith, B.D.; et al. Comparable Composite Endpoints after HLA-Matched and HLA-Haploidentical Transplantation with Post-Transplantation Cyclophosphamide. Haematologica 2017, 102, 391–400. [Google Scholar] [CrossRef] [PubMed]
- Gooptu, M.; Romee, R.; St Martin, A.; Arora, M.; Al Malki, M.; Antin, J.H.; Bredeson, C.N.; Brunstein, C.G.; Chhabra, S.; Fuchs, E.J.; et al. HLA-Haploidentical vs Matched Unrelated Donor Transplants with Posttransplant Cyclophosphamide-Based Prophylaxis. Blood 2021, 138, 273–282. [Google Scholar] [CrossRef] [PubMed]
- DeZern, A.E.; Zahurak, M.L.; Symons, H.J.; Cooke, K.R.; Rosner, G.L.; Gladstone, D.E.; Huff, C.A.; Swinnen, L.J.; Imus, P.; Borrello, I.; et al. Haploidentical BMT for Severe Aplastic Anemia with Intensive GVHD Prophylaxis Including Posttransplant Cyclophosphamide. Blood Adv. 2020, 4, 1770–1779. [Google Scholar] [CrossRef]
- Bolaños-Meade, J.; Cooke, K.R.; Gamper, C.J.; Ali, S.A.; Ambinder, R.F.; Borrello, I.M.; Fuchs, E.J.; Gladstone, D.E.; Gocke, C.B.; Huff, C.A.; et al. Effect of Increased Dose of Total Body Irradiation on Graft Failure Associated with HLA-Haploidentical Transplantation in Patients with Severe Haemoglobinopathies: A Prospective Clinical Trial. Lancet Haematol. 2019, 6, e183–e193. [Google Scholar] [CrossRef] [PubMed]
- Brunstein, C.G.; Fuchs, E.J.; Carter, S.L.; Karanes, C.; Costa, L.J.; Wu, J.; Devine, S.M.; Wingard, J.R.; Aljitawi, O.S.; Cutler, C.S.; et al. Alternative Donor Transplantation after Reduced Intensity Conditioning: Results of Parallel Phase 2 Trials Using Partially HLA-Mismatched Related Bone Marrow or Unrelated Double Umbilical Cord Blood Grafts. Blood 2011, 118, 282–288. [Google Scholar] [CrossRef]
- McCurdy, S.R.; Luznik, L. Relapse after Allogeneic Transplantation with Post-Transplant Cyclophosphamide: Shattering Myths and Evolving Insight. Blood Rev. 2023, 62, 101093. [Google Scholar] [CrossRef] [PubMed]
- Kasamon, Y.L.; Bolaños-Meade, J.; Prince, G.T.; Tsai, H.-L.; McCurdy, S.R.; Kanakry, J.A.; Rosner, G.L.; Brodsky, R.A.; Perica, K.; Smith, B.D.; et al. Outcomes of Nonmyeloablative HLA-Haploidentical Blood or Marrow Transplantation With High-Dose Post-Transplantation Cyclophosphamide in Older Adults. J. Clin. Oncol. 2015, 33, 3152–3161. [Google Scholar] [CrossRef]
- Anasetti, C.; Logan, B.R.; Lee, S.J.; Waller, E.K.; Weisdorf, D.J.; Wingard, J.R.; Cutler, C.S.; Westervelt, P.; Woolfrey, A.; Couban, S.; et al. Peripheral-Blood Stem Cells versus Bone Marrow from Unrelated Donors. N. Engl. J. Med. 2012, 367, 1487–1496. [Google Scholar] [CrossRef] [PubMed]
- Bashey, A.; Zhang, M.-J.; McCurdy, S.R.; St Martin, A.; Argall, T.; Anasetti, C.; Ciurea, S.O.; Fasan, O.; Gaballa, S.; Hamadani, M.; et al. Mobilized Peripheral Blood Stem Cells Versus Unstimulated Bone Marrow As a Graft Source for T-Cell-Replete Haploidentical Donor Transplantation Using Post-Transplant Cyclophosphamide. J. Clin. Oncol. 2017, 35, 3002–3009. [Google Scholar] [CrossRef] [PubMed]
- Arcuri, L.J.; Hamerschlak, N.; Rocha, V.; Bonfim, C.; Kerbauy, M.N. Outcomes after Haploidentical Hematopoietic Cell Transplantation with Post-Transplantation Cyclophosphamide: A Systematic Review and Meta-Analysis Comparing Myeloablative with Reduced-Intensity Conditioning Regimens and Bone Marrow with Peripheral Blood Stem Cell Grafts. Transplant. Cell Ther. 2021, 27, 782.e1–782.e7. [Google Scholar] [CrossRef]
- Remberger, M.; Kumlien, G.; Aschan, J.; Barkholt, L.; Hentschke, P.; Ljungman, P.; Mattsson, J.; Svennilson, J.; Ringdén, O. Risk Factors for Moderate-to-Severe Chronic Graft-versus-Host Disease after Allogeneic Hematopoietic Stem Cell Transplantation. Biol. Blood Marrow Transplant. 2002, 8, 674–682. [Google Scholar] [CrossRef] [PubMed][Green Version]
- Bhatt, V.R.; Wang, T.; Chen, K.; Kitko, C.L.; MacMillan, M.L.; Pidala, J.A.; Al Malki, M.M.; Badawy, S.M.; Beitinjaneh, A.; Ganguly, S.; et al. Chronic Graft-versus-Host Disease, Nonrelapse Mortality, and Disease Relapse in Older versus Younger Adults Undergoing Matched Allogeneic Peripheral Blood Hematopoietic Cell Transplantation: A Center for International Blood and Marrow Transplant Research Analysis. Transplant. Cell Ther. 2022, 28, 34–42. [Google Scholar] [CrossRef] [PubMed]
- Otoukesh, S.; Elmariah, H.; Yang, D.; Clark, M.C.; Siraj, M.; Ali, H.; Mogili, K.; Arslan, S.; Nishihori, T.; Nakamura, R.; et al. Cytokine Release Syndrome Following Peripheral Blood Stem Cell Haploidentical Hematopoietic Cell Transplantation with Post-Transplantation Cyclophosphamide. Transplant. Cell Ther. 2022, 28, 111.e1–111.e8. [Google Scholar] [CrossRef] [PubMed]
- Goldsmith, S.R.; Abid, M.B.; Auletta, J.J.; Bashey, A.; Beitinjaneh, A.; Castillo, P.; Chemaly, R.F.; Chen, M.; Ciurea, S.; Dandoy, C.E.; et al. Posttransplant Cyclophosphamide Is Associated with Increased Cytomegalovirus Infection: A CIBMTR Analysis. Blood 2021, 137, 3291–3305. [Google Scholar] [CrossRef] [PubMed]
- Chorão, P.; Villalba, M.; Balaguer-Roselló, A.; Montoro, J.; Granados, P.; Gilabert, C.; Panadero, F.; Pardal, A.A.; González, E.M.; de Cossio, S.; et al. Incidence, Risk Factors, and Outcomes of BK Hemorrhagic Cystitis in Hematopoietic Stem Cell Transplantation from HLA-Matched and Haploidentical Donors with Post-Transplant Cyclophosphamide. Transplant. Cell Ther. 2024, in press. [Google Scholar] [CrossRef] [PubMed]
- Duléry, R.; Mohty, R.; Labopin, M.; Sestili, S.; Malard, F.; Brissot, E.; Battipaglia, G.; Médiavilla, C.; Banet, A.; Van de Wyngaert, Z.; et al. Early Cardiac Toxicity Associated With Post-Transplant Cyclophosphamide in Allogeneic Stem Cell Transplantation. JACC CardioOncol 2021, 3, 250–259. [Google Scholar] [CrossRef]
- Yeh, J.; Whited, L.; Saliba, R.M.; Rondon, G.; Banchs, J.; Shpall, E.; Champlin, R.; Popat, U. Cardiac Toxicity after Matched Allogeneic Hematopoietic Cell Transplant in the Posttransplant Cyclophosphamide Era. Blood Adv. 2021, 5, 5599–5607. [Google Scholar] [CrossRef] [PubMed]
- Ciurea, S.O.; Kongtim, P.; Varma, A.; Rondon, G.; Chen, J.; Srour, S.; Bashir, Q.; Alousi, A.; Mehta, R.; Oran, B.; et al. Is There an Optimal Conditioning for Older Patients with AML Receiving Allogeneic Hematopoietic Cell Transplantation? Blood 2020, 135, 449–452. [Google Scholar] [CrossRef] [PubMed]
- Gyurkocza, B.; Sandmaier, B.M. Conditioning Regimens for Hematopoietic Cell Transplantation: One Size Does Not Fit All. Blood 2014, 124, 344–353. [Google Scholar] [CrossRef] [PubMed]
- Jagasia, M.H.; Greinix, H.T.; Arora, M.; Williams, K.M.; Wolff, D.; Cowen, E.W.; Palmer, J.; Weisdorf, D.; Treister, N.S.; Cheng, G.-S.; et al. National Institutes of Health Consensus Development Project on Criteria for Clinical Trials in Chronic Graft-versus-Host Disease: I. The 2014 Diagnosis and Staging Working Group Report. Biol. Blood Marrow Transplant. 2015, 21, 389–401.e1. [Google Scholar] [CrossRef] [PubMed]
- Przepiorka, D.; Weisdorf, D.; Martin, P.; Klingemann, H.G.; Beatty, P.; Hows, J.; Thomas, E.D. 1994 Consensus Conference on Acute GVHD Grading. Bone Marrow Transplant. 1995, 15, 825–828. [Google Scholar]
- Sorror, M.L. How I Assess Comorbidities before Hematopoietic Cell Transplantation. Blood 2013, 121, 2854–2863. [Google Scholar] [CrossRef]
- Sorror, M.L.; Maris, M.B.; Storb, R.; Baron, F.; Sandmaier, B.M.; Maloney, D.G.; Storer, B. Hematopoietic Cell Transplantation (HCT)-Specific Comorbidity Index: A New Tool for Risk Assessment before Allogeneic HCT. Blood 2005, 106, 2912–2919. [Google Scholar] [CrossRef] [PubMed]
- Armand, P.; Kim, H.T.; Logan, B.R.; Wang, Z.; Alyea, E.P.; Kalaycio, M.E.; Maziarz, R.T.; Antin, J.H.; Soiffer, R.J.; Weisdorf, D.J.; et al. Validation and Refinement of the Disease Risk Index for Allogeneic Stem Cell Transplantation. Blood 2014, 123, 3664–3671. [Google Scholar] [CrossRef]
- Rashidi, A.; Ebadi, M.; Colditz, G.A.; DiPersio, J.F. Outcomes of Allogeneic Stem Cell Transplantation in Elderly Patients with Acute Myeloid Leukemia: A Systematic Review and Meta-Analysis. Biol. Blood Marrow Transplant. 2016, 22, 651–657. [Google Scholar] [CrossRef] [PubMed]
- Hsu, J.; Chen, Z.; Shore, T.; Gergis, U.; Mayer, S.; Phillips, A.; Guarner, D.; Hsu, Y.-M.; Cushing, M.M.; Van Besien, K. Outcomes of Allogeneic Stem Cell Transplant for Elderly Patients with Hematologic Malignancies. Biol. Blood Marrow Transplant. 2020, 26, 789–797. [Google Scholar] [CrossRef] [PubMed]
- Platzbecker, U.; Schetelig, J.; Finke, J.; Trenschel, R.; Scott, B.L.; Kobbe, G.; Schaefer-Eckart, K.; Bornhäuser, M.; Itzykson, R.; Germing, U.; et al. Allogeneic Hematopoietic Cell Transplantation in Patients Age 60-70 Years with de Novo High-Risk Myelodysplastic Syndrome or Secondary Acute Myelogenous Leukemia: Comparison with Patients Lacking Donors Who Received Azacitidine. Biol. Blood Marrow Transplant. 2012, 18, 1415–1421. [Google Scholar] [CrossRef] [PubMed]
- Imus, P.H.; Tsai, H.-L.; Luznik, L.; Fuchs, E.J.; Huff, C.A.; Gladstone, D.E.; Lowery, P.; Ambinder, R.F.; Borrello, I.M.; Swinnen, L.J.; et al. Haploidentical Transplantation Using Posttransplant Cyclophosphamide as GVHD Prophylaxis in Patients over Age 70. Blood Adv. 2019, 3, 2608–2616. [Google Scholar] [CrossRef] [PubMed]
- McClune, B.L.; Weisdorf, D.J.; Pedersen, T.L.; Tunes da Silva, G.; Tallman, M.S.; Sierra, J.; Dipersio, J.; Keating, A.; Gale, R.P.; George, B.; et al. Effect of Age on Outcome of Reduced-Intensity Hematopoietic Cell Transplantation for Older Patients with Acute Myeloid Leukemia in First Complete Remission or with Myelodysplastic Syndrome. J. Clin. Oncol. 2010, 28, 1878–1887. [Google Scholar] [CrossRef]
- Lim, Z.; Brand, R.; Martino, R.; van Biezen, A.; Finke, J.; Bacigalupo, A.; Beelen, D.; Devergie, A.; Alessandrino, E.; Willemze, R.; et al. Allogeneic Hematopoietic Stem-Cell Transplantation for Patients 50 Years or Older with Myelodysplastic Syndromes or Secondary Acute Myeloid Leukemia. J. Clin. Oncol. 2010, 28, 405–411. [Google Scholar] [CrossRef] [PubMed]
- Rockwood, K.; Song, X.; MacKnight, C.; Bergman, H.; Hogan, D.B.; McDowell, I.; Mitnitski, A. A Global Clinical Measure of Fitness and Frailty in Elderly People. CMAJ 2005, 173, 489–495. [Google Scholar] [CrossRef]
- Juárez, A.; Salas, M.Q.; Pedraza, A.; Suárez-Lledó, M.; Rodríguez-Lobato, L.G.; Solano, M.T.; Serrahima, A.; Nomdedeu, M.; Cid, J.; Lozano, M.; et al. Reduced Dose of Post-Transplant Cyclophosphamide with Tacrolimus for the Prevention of Graft-versus-Host Disease in HLA-Matched Donor Peripheral Blood Stem Cell Transplants: A Prospective Pilot Study. Cancers 2024, 16, 2567. [Google Scholar] [CrossRef] [PubMed]
- McCurdy, S.R.; Hyder, M.A.; Sabina, R.; DeVries, A.; Chalupa, K.; Berryman, N.; Bernhardt, J.; Cusmano, A.C.; Chai, A.; Schwartz, R.; et al. Interim results of a phase I/II trial of intermediate-dose post-transplantation cyclophosphamide after reduced intensity conditioned HLA-mismatched bone marrow transplantation for older or unfit patients. Transplant. Cell. Ther. Off. Publ. Am. Soc. Transplant. Cell. Ther. 2024, 30, S2–S3. [Google Scholar] [CrossRef]
- Brammer, J.E.; Khouri, I.; Gaballa, S.; Anderlini, P.; Tomuleasa, C.; Ahmed, S.; Ledesma, C.; Hosing, C.; Champlin, R.E.; Ciurea, S.O. Outcomes of Haploidentical Stem Cell Transplantation for Lymphoma with Melphalan-Based Conditioning. Biol. Blood Marrow Transplant. 2016, 22, 493–498. [Google Scholar] [CrossRef] [PubMed]

| Variable | <60 | ≥60 | Total | p-Value | |
|---|---|---|---|---|---|
| N | 66 | 55 | 121 | ||
| Median patient age (range) | 42 (20–59) | 66 (61–75) | 58 | ||
| Gender | Male | 40 (61%) | 37 (67%) | 77 (64%) | 0.448 |
| Female | 26 (39%) | 18 (33%) | 44 (36%) | ||
| Median KPS | 90 (IQR 10) | 90 (IQR 10) | 90 (IQR 10) | 0.998 | |
| DRI | Low | 5 (7%) | 3 (5%) | 8 (7%) | 0.075 |
| Intermediate | 42 (64%) | 45 (82%) | 87 (72%) | ||
| High/very high | 19 (29%) | 7 (13%) | 26 (21%) | ||
| HCT-CI | 0–2 | 27 (41%) | 24 (44%) | 51 (42%) | 0.763 |
| 3+ | 39 (59%) | 31(56%) | 70 (58%) | ||
| Conditioning regimen intensity | Myeloablative | 55 (83%) | 15 (27%) | 70 (58%) | <0.001 |
| Reduced intensity | 11 (17%) | 40 (73%) | 51 (42%) | ||
| Disease | AML | 29 (44%) | 31 (56%) | 60 (50%) | 0.002 |
| MDS or MPN | 12 (18%) | 18 (33%) | 30 (25%) | ||
| ALL | 20 (30%) | 1 (2%) | 21 (17%) | ||
| Lymphoma | 5 (8%) | 5 (9%) | 8 (8%) | ||
| CMV recipient | Positive | 46 (70%) | 37 (69%) | 83 (69%) | 0.519 |
| Negative | 20 (30%) | 17 (31%) | 37 (31%) | ||
| Median donor age (range) | 33 (IQR 21) | 41 (IQR 13) | 36 (IQR 17) | 0.006 | |
| Multivariate Competing Risk Regression Analysis for GVHD Outcomes | |||
|---|---|---|---|
| Acute GVHD II–IV | |||
| Covariate | Level | SHR (95% CI) | p-Value |
| Age | <60 | 1 | |
| ≥60 | 0.92 (0.49–1.74) | 0.814 | |
| Acute GVHD III–IV | |||
| Age | <60 | 1 | |
| ≥60 | 2.24 (0.57–8.82) | 0.245 | |
| Chronic GVHD | |||
| Age | <60 | 1 | |
| ≥60 | 0.70 (0.41–1.20) | 0.196 | |
| HCT-CI | 0–2 | 1 | |
| ≥3 | 1.88 (1.09–3.34) | 0.022 | |
| Relapse | |||
|---|---|---|---|
| Covariate | Level | p-Value | |
| Age | <60 | 1 | |
| ≥60 | SHR 0.74 (95% CI 0.33–1.66) | 0.468 | |
| Disease Risk Index | Low | 1 | |
| Int | SHR 2.02 (95% CI 0.31–13.34) | 0.731 | |
| High/very high | SHR 2.68 (95% CI 1.12–6.37) | 0.025 | |
| NRM | |||
| Age | <60 | 1 | |
| ≥60 | SHR 4.05 (95% CI 1.43–11.47) | 0.008 | |
| Conditioning | Myeloablative | 1 | |
| Reduced intensity | SHR 0.25 (95% CI 0.08–0.75) | 0.014 | |
| DFS | |||
| Age | <60 | 1 | |
| ≥60 | HR 1.49 (95% CI 0.78–2.85) | 0.230 | |
| HCT-CI | 0–2 | 1 | |
| ≥3 | HR 1.87 (95% CI 1.04–3.34) | 0.035 | |
| Disease Risk Index | Low | 1 | |
| Int | HR 3.04 (95% CI 0.41–22.37) | 0.281 | |
| High/very high | HR 7.95 (95% CI 1.05–60.06) | 0.002 | |
| OS | |||
| Age | <60 | 1 | |
| ≥60 | HR 1.66 (95% CI 0.79–3.49) | 0.182 | |
| HCT-CI | 0–2 | 1 | |
| ≥3 | HR 1.98 (95% CI 1.03–3.84) | 0.042 | |
Disclaimer/Publisher’s Note: The statements, opinions and data contained in all publications are solely those of the individual author(s) and contributor(s) and not of MDPI and/or the editor(s). MDPI and/or the editor(s) disclaim responsibility for any injury to people or property resulting from any ideas, methods, instructions or products referred to in the content. |
© 2025 by the authors. Licensee MDPI, Basel, Switzerland. This article is an open access article distributed under the terms and conditions of the Creative Commons Attribution (CC BY) license (https://creativecommons.org/licenses/by/4.0/).
Share and Cite
Adoncecchi, G.; Kumar, A.; Mogili, K.; Faramand, R.; Liu, H.; Khimani, F.; Mishra, A.; Nieder, M.; Nishihori, T.; Hansen, D.; et al. Comparison of Outcomes of Haploidentical Peripheral Blood Stem Cell Transplantation with Post-Transplant Cyclophosphamide in Older Versus Younger Patients. Cancers 2025, 17, 310. https://doi.org/10.3390/cancers17020310
Adoncecchi G, Kumar A, Mogili K, Faramand R, Liu H, Khimani F, Mishra A, Nieder M, Nishihori T, Hansen D, et al. Comparison of Outcomes of Haploidentical Peripheral Blood Stem Cell Transplantation with Post-Transplant Cyclophosphamide in Older Versus Younger Patients. Cancers. 2025; 17(2):310. https://doi.org/10.3390/cancers17020310
Chicago/Turabian StyleAdoncecchi, Giacomo, Ambuj Kumar, Krishnakar Mogili, Rawan Faramand, Hien Liu, Farhad Khimani, Asmita Mishra, Michael Nieder, Taiga Nishihori, Doris Hansen, and et al. 2025. "Comparison of Outcomes of Haploidentical Peripheral Blood Stem Cell Transplantation with Post-Transplant Cyclophosphamide in Older Versus Younger Patients" Cancers 17, no. 2: 310. https://doi.org/10.3390/cancers17020310
APA StyleAdoncecchi, G., Kumar, A., Mogili, K., Faramand, R., Liu, H., Khimani, F., Mishra, A., Nieder, M., Nishihori, T., Hansen, D., Jain, M., Lazaryan, A., Perez, L., Pidala, J., Locke, F., Anasetti, C., Bejanyan, N., & Elmariah, H. (2025). Comparison of Outcomes of Haploidentical Peripheral Blood Stem Cell Transplantation with Post-Transplant Cyclophosphamide in Older Versus Younger Patients. Cancers, 17(2), 310. https://doi.org/10.3390/cancers17020310

