Spatial Distribution of Tumor Cells in Clear Cell Renal Cell Carcinoma Is Associated with Metastasis and a Matrisome Gene Expression Signature
Simple Summary
Abstract
1. Introduction
2. Materials and Methods
2.1. Sample Collection
2.2. Study Workflow
2.3. Identifying Tumor Cells
2.4. Generating Spatial Point Pattern Objects
2.5. Spatial Statistics and K-Means Analysis
2.6. Geyer Saturation Process Simulation
2.7. Gene Expression Analysis and Multi-Institutional Cohort Validation
3. Results
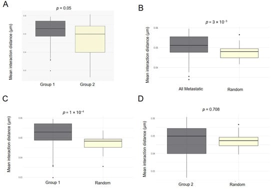
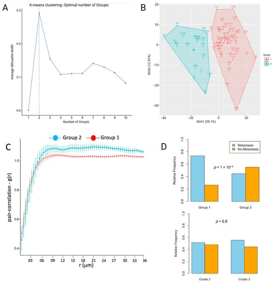
3.1. Spatial Analysis Reveals Two Patient Groups Segregated by Spatial Randomness and Metastatic Status in ccRCC
3.2. Aggressive ccRCC Samples Show Greater Inter-Cellular Distances Between Tumor Cells
3.3. Gene Expression Differences Between Spatial Groups Reveal a Matrisome Signature
3.4. Spatially Defined Gene Expression Signature Stratifies a Multi-Institutional Cohort of ccRCC Patients by Survival and Stage
4. Discussion
5. Conclusions
Supplementary Materials
Author Contributions
Funding
Institutional Review Board Statement
Informed Consent Statement
Data Availability Statement
Acknowledgments
Conflicts of Interest
References
- Ferlay, J.; Soerjomataram, I.; Ervik, M.; Dikshit, R.; Eser, S.; Mathers, C.; Rebelo, M.; Parkin, D.; Forman, D.; Bray, F.; et al. GLOBOCAN 2012 v1.0, cancer incidence and mortality worldwide. Iarc Cancerbase 2013, 11. [Google Scholar]
- Hollingsworth, J.M.; Miller, D.C.; Daignault, S.; Hollenbeck, B.K. Rising incidence of small renal masses: A need to reassess treatment effect. J. Natl. Cancer Inst. 2006, 98, 1331–1334. [Google Scholar] [CrossRef]
- Zisman, A.; Pantuck, A.J.; Wieder, J.; Chao, D.H.; Dorey, F.; Said, J.W.; Dekernion, J.B.; Figlin, R.A.; Belldegrun, A.S. Risk group assessment and clinical outcome algorithm to predict the natural history of patients with surgically resected renal cell carcinoma. J. Clin. Oncol. 2002, 20, 4559–4566. [Google Scholar] [CrossRef] [PubMed]
- Frank, I.G.; Blute, M.L.; Cheville, J.C.; Lohse, C.M.; Weaver, A.L.; Zincke, H. An outcome prediction model for patients with clear cell renal cell carcinoma treated with radical nephrectomy based on tumor stage, size, grade and necrosis: The SSIGN score. J. Urol. 2002, 168, 2395–2400. [Google Scholar] [CrossRef]
- Patel, H.D.; Johnson, M.H.; Pierorazio, P.M.; Sozio, S.M.; Sharma, R.; Iyoha, E.; Bass, E.B.; Allaf, M.E. Diagnostic Accuracy and Risks of Biopsy in the Diagnosis of a Renal Mass Suspicious for Localized Renal Cell Carcinoma: Systematic Review of the Literature. J. Urol. 2016, 195, 1340–1347. [Google Scholar] [CrossRef] [PubMed]
- Ricketts, C.J.; Linehan, W.M. Gender specific mutation incidence and survival associations in clear cell renal cell carcinoma (CCRCC). PLoS ONE 2015, 10, e0140257. [Google Scholar] [CrossRef] [PubMed]
- Rabjerg, M.; Gerke, O.; Engvad, B.; Marcussen, N. Comparing World Health Organization/international society of urological pathology grading and Fuhrman grading with the prognostic value of nuclear area in patients with renal cell carcinoma. Uro 2021, 1, 2–13. [Google Scholar] [CrossRef]
- Sadeghipour, A.; Babaheidarian, P. Making formalin-fixed, paraffin embedded blocks. In Biobanking: Methods and Protocols; Humana Press: New York, NY, USA, 2019; pp. 253–268. [Google Scholar]
- Humphries, M.P.; Maxwell, P.; Salto-Tellez, M. QuPath: The global impact of an open source digital pathology system. Comput. Struct. Biotechnol. J. 2021, 19, 852–859. [Google Scholar] [CrossRef] [PubMed]
- Bankhead, P.; Loughrey, M.B.; Fernández, J.A.; Dombrowski, Y.; McArt, D.G.; Dunne, P.D.; McQuaid, S.; Gray, R.T.; Murray, L.J.; Coleman, H.G.; et al. QuPath: Open source software for digital pathology image analysis. Sci. Rep. 2017, 7, 16878. [Google Scholar] [CrossRef] [PubMed]
- Stevens, M.; Nanou, A.; Terstappen, L.W.M.M.; Driemel, C.; Stoecklein, N.H.; Coumans, F.A.W. StarDist image segmentation improves circulating tumor cell detection. Cancers 2022, 14, 2916. [Google Scholar] [CrossRef] [PubMed]
- Qian, C.N.; Huang, D.; Wondergem, B.; Teh, B.T. Complexity of tumor vasculature in clear cell renal cell carcinoma. Cancer 2009, 115 (Suppl. 10), 2282–2289. [Google Scholar] [CrossRef]
- Baddeley, A.; Turner, R. Spatstat: An R package for analyzing spatial point patterns. J. Stat. Softw. 2005, 12, 1–42. [Google Scholar] [CrossRef]
- Jahedi, A.; Kumar, G.; Kannan, L.; Agarwal, T.; Huse, J.; Bhat, K.; Kannan, K. Gibbs process distinguishes survival and reveals contact-inhibition genes in Glioblastoma multiforme. PLoS ONE 2023, 18, e0277176. [Google Scholar] [CrossRef]
- Robb, R.A.; Cochran, W.G. Sampling Techniques (John Wiley & Sons, 1963), ix+ 413 pp., 72s. Proc. Edinb. Math. Soc. 1963, 13, 342–343. [Google Scholar]
- Akaike, H. Akaike’s information criterion. Int. Encycl. Stat. Sci. 2011, 25. [Google Scholar]
- R Core Team. R: A Language and Environment for Statistical Computing; R Foundation for Statistical Computing: Vienna, Austria, 2024. [Google Scholar]
- Colaprico, A.; Silva, T.C.; Olsen, C.; Garofano, L.; Cava, C.; Garolini, D.; Sabedot, T.S.; Malta, T.M.; Pagnotta, S.M.; Castiglioni, I.; et al. TCGAbiolinks: An R/Bioconductor package for integrative analysis of TCGA data. Nucleic Acids Res. 2016, 44, e71. [Google Scholar] [CrossRef] [PubMed]
- Zhang, Y.; Parmigiani, G.; Johnson, W.E. ComBat-seq: Batch effect adjustment for RNA-seq count data. NAR Genom. Bioinform. 2020, 2, lqaa078. [Google Scholar] [CrossRef] [PubMed]
- Anders, S.; Huber, W. Differential expression analysis for sequence count data. Nat. Preced. 2010; preprint posted online. [Google Scholar] [CrossRef]
- Cerami, E.; Gao, J.; Dogrusoz, U.; Gross, B.E.; Sumer, S.O.; Aksoy, B.A.; Jacobsen, A.; Byrne, C.J.; Heuer, M.L.; Larsson, E.; et al. The cBio cancer genomics portal: An open platform for exploring multidimensional cancer genomics data. Cancer Discov. 2012, 2, 401–404. [Google Scholar] [CrossRef]
- Okegawa, T.; Pong, R.-C.; Li, Y.; Hsieh, J.-T. The role of cell adhesion molecule in cancer progression and its application in cancer therapy. Acta Biochim. Pol. 2004, 51, 445–457. [Google Scholar] [CrossRef] [PubMed]
- Popova, N.V.; Jücker, M. The functional role of extracellular matrix proteins in cancer. Cancers 2022, 14, 238. [Google Scholar] [CrossRef]
- Ahrens, T.D.; Bang-Christensen, S.R.; Jørgensen, A.M.; Løppke, C.; Spliid, C.B.; Sand, N.T.; Clausen, T.M.; Salanti, A.; Agerbæk, M. The role of proteoglycans in cancer metastasis and circulating tumor cell analysis. Front. Cell Dev. Biol. 2020, 8, 749. [Google Scholar] [CrossRef] [PubMed]
- Dejana, E.; Lampugnani, M.G.; Giorgi, M.; Gaboli, M.; Federici, A.B.; Ruggeri, Z.M.; Marchisio, P.C. Von Willebrand factor promotes endothelial cell adhesion via an Arg-Gly-Asp-dependent mechanism. J. Cell Biol. 1989, 109, 367–375. [Google Scholar] [CrossRef] [PubMed]
- Patmore, S.; Dhami, S.P.S.; O’Sullivan, J.M. Von Willebrand factor and cancer; metastasis and coagulopathies. J. Thromb. Haemost. 2020, 18, 2444–2456. [Google Scholar] [CrossRef]
- Ma, R.; Ye, X.; Cheng, H.; Ma, Y.; Cui, H.; Chang, X. PRSS3 expression is associated with tumor progression and poor prognosis in epithelial ovarian cancer. Gynecol. Oncol. 2015, 137, 546–552. [Google Scholar] [CrossRef] [PubMed]
- Jiang, G.; Cao, F.; Ren, G.; Gao, D.; Bhakta, V.; Zhang, Y.; Cao, H.; Dong, Z.; Zang, W.; Zhang, S.; et al. PRSS3 promotes tumour growth and metastasis of human pancreatic cancer. Gut 2010, 59, 1535. [Google Scholar] [CrossRef] [PubMed]
- Yoshioka, S.; King, M.L.; Ran, S.; Okuda, H.; MacLean, J.A.; McAsey, M.E.; Sugino, N.; Brard, L.; Watabe, K.; Hayashi, K. WNT7A regulates tumor growth and progression in ovarian cancer through the WNT/β-catenin pathway. Mol. Cancer Res. 2012, 10, 469–482. [Google Scholar] [CrossRef] [PubMed]
- Tengyun, W.U.; Zhang, X.; Yong, L.I.; Liqiang, W.A.; Huang, Y. Wnt7a can up-regulates cell adhesion related protein fibronectin expression and promotes cell proliferation in corneal epithelial cells. Int. Ophthalmol. 2023; preprint posted online. [Google Scholar] [CrossRef]
- Gutiérrez-Fernández, A.; Fueyo, A.; Folgueras, A.R.; Garabaya, C.; Pennington, C.J.; Pilgrim, S.; Edwards, D.R.; Holliday, D.L.; Jones, J.L.; Span, P.N.; et al. Matrix metalloproteinase-8 functions as a metastasis suppressor through modulation of tumor cell adhesion and invasion. Cancer Res. 2008, 68, 2755–2763. [Google Scholar] [CrossRef] [PubMed]
- Huang, J.; Che, M.I.; Huang, Y.T.; Shyu, M.K.; Huang, Y.M.; Wu, Y.M.; Lin, W.C.; Huang, P.H.; Liang, J.T.; Lee, P.H.; et al. Overexpression of MUC15 activates extracellular signal-regulated kinase 1/2 and promotes the oncogenic potential of human colon cancer cells. Carcinogenesis 2009, 30, 1452–1458. [Google Scholar] [CrossRef] [PubMed][Green Version]
- Uckelmann, H.; Blaszkiewicz, S.; Nicolae, C.; Haas, S.; Schnell, A.; Wurzer, S.; Wagener, R.; Aszodi, A.; Essers, M.A.G. Extracellular matrix protein Matrilin-4 regulates stress-induced HSC proliferation via CXCR4. J. Exp. Med. 2016, 213, 1961–1971. [Google Scholar] [CrossRef]
- Sun, C.; Gao, W.; Liu, J.; Cheng, H.; Hao, J. FGL1 regulates acquired resistance to Gefitinib by inhibiting apoptosis in non-small cell lung cancer. Respir. Res. 2020, 21, 210. [Google Scholar] [CrossRef] [PubMed]






| Clinicopathologic Features | Non-Metastatic ccRCC | Metastatic ccRCC |
|---|---|---|
| ISUP/WHO Grade 2 | 10 | 8 |
| ISUP/WHO Grade 3 | 28 | 26 |
| Pathologic Stage T1–T2 | 20 | 10 |
| Pathologic Stage T3–T4 | 18 | 24 |
| OS status 1 | 61% | 26% |
Disclaimer/Publisher’s Note: The statements, opinions and data contained in all publications are solely those of the individual author(s) and contributor(s) and not of MDPI and/or the editor(s). MDPI and/or the editor(s) disclaim responsibility for any injury to people or property resulting from any ideas, methods, instructions or products referred to in the content. |
© 2025 by the authors. Licensee MDPI, Basel, Switzerland. This article is an open access article distributed under the terms and conditions of the Creative Commons Attribution (CC BY) license (https://creativecommons.org/licenses/by/4.0/).
Share and Cite
Bhat, P.; Tamboli, P.; Sircar, K.; Kannan, K. Spatial Distribution of Tumor Cells in Clear Cell Renal Cell Carcinoma Is Associated with Metastasis and a Matrisome Gene Expression Signature. Cancers 2025, 17, 249. https://doi.org/10.3390/cancers17020249
Bhat P, Tamboli P, Sircar K, Kannan K. Spatial Distribution of Tumor Cells in Clear Cell Renal Cell Carcinoma Is Associated with Metastasis and a Matrisome Gene Expression Signature. Cancers. 2025; 17(2):249. https://doi.org/10.3390/cancers17020249
Chicago/Turabian StyleBhat, Prahlad, Pheroze Tamboli, Kanishka Sircar, and Kasthuri Kannan. 2025. "Spatial Distribution of Tumor Cells in Clear Cell Renal Cell Carcinoma Is Associated with Metastasis and a Matrisome Gene Expression Signature" Cancers 17, no. 2: 249. https://doi.org/10.3390/cancers17020249
APA StyleBhat, P., Tamboli, P., Sircar, K., & Kannan, K. (2025). Spatial Distribution of Tumor Cells in Clear Cell Renal Cell Carcinoma Is Associated with Metastasis and a Matrisome Gene Expression Signature. Cancers, 17(2), 249. https://doi.org/10.3390/cancers17020249

