Next Article in Journal
Lack of Association Between Glucose Homeostasis and Immune Checkpoint Inhibitor Outcomes: A Retrospective Institutional Review
Next Article in Special Issue
The B-S2CALED Score’s Utility in Predicting Stroke Risk in Breast Cancer Patients with Atrial Fibrillation
Previous Article in Journal
Saying “Yes” to NONO: A Therapeutic Target for Neuroblastoma and Beyond
Previous Article in Special Issue
Long-Term Adverse Events Following Early Breast Cancer Treatment with a Focus on the BRCA-Mutated Population
 
 
Font Type:
Arial Georgia Verdana
Font Size:
Aa Aa Aa
Line Spacing:
Column Width:
Background:
Article

Self-Reported Outcomes of Endocrine Therapy with or Without Ovarian Suppression in Premenopausal Breast Cancer Patients: A Brazilian Quality-of-Life Prospective Cohort

1
Department os Clinical Oncology, Instituto Américas, Rio de Janeiro 22775-001, Brazil
2
Department os Clinical Oncology, Instituto Américas, São Paulo 22775-001, Brazil
3
Department os Clinical Oncology, Hospital Samaritano, São Paulo 01232-010, Brazil
*
Author to whom correspondence should be addressed.
Cancers 2025, 17(19), 3229; https://doi.org/10.3390/cancers17193229
Submission received: 4 August 2025 / Revised: 11 September 2025 / Accepted: 13 September 2025 / Published: 4 October 2025

Simple Summary

Breast cancer is increasingly affecting young women, and many require long periods of treatment that may influence their quality of life. One important therapy for this group is endocrine treatment, sometimes combined with ovarian suppression. While these treatments improve cancer outcomes, they can also cause menopausal symptoms, affect body image, and interfere with sexual health. In this study, we followed premenopausal women with breast cancer in Brazil and collected quality-of-life data every three months for two years using standardized questionnaires. We found that women who received ovarian suppression reported more persistent difficulties, especially related to body image, compared with those treated with endocrine therapy alone. These findings emphasize the importance of considering not only cancer control but also quality of life when making treatment decisions and highlight the need for supportive care strategies tailored to young women.

Abstract

Background: Endocrine therapy (ET) with or without ovarian function suppression (OFS) is a cornerstone treatment for estrogen receptor-positive (ER+) breast cancer (BC) in premenopausal women, but its impact on quality of life (QoL) and sexual health remains a concern. Methods: We conducted a multicenter, prospective, observational study including premenopausal women (≤50 years) diagnosed with stage I–III ER+ BC and treated in private healthcare facilities in Brazil between 2013 and 2023. Patients received ET alone (ET-only) or combined with OFS (OFS-ET). QoL was assessed at baseline and 3, 6, 9, 12, and 24 months using the EORTC QLQ-BR23. Sexual functioning and sexual enjoyment were prespecified primary outcomes. Logistic regression identified factors associated with OFS use, and Fisher’s exact test was applied for categorical comparisons at 24 months. Results: Among 363 patients (80% ET-only, 20% ET + OFS), younger age, advanced stage, and chemotherapy were independently associated with OFS use. Both groups reported early declines in sexual functioning and enjoyment. By 24 months, ET-only patients had returned to baseline, whereas OFS patients remained below baseline. At the item level, no significant differences were observed in sexual desire (51.5% vs. 42.0%; p = 0.33) or enjoyment (26.0% vs. 13.5%; p = 0.20). Lack of sexual activity was more frequent in the OFS group (60.6% vs. 41.2%; p = 0.05). Body image was significantly more impaired with OFS, with a higher proportion of patients reporting feeling less attractive (38.2% vs. 19.9%; p = 0.04) and less feminine (26.5% vs. 11.7%; p = 0.05). Conclusions: ET impairs sexual health in young BC survivors, particularly when combined with OFS. These findings underscore the need for routine sexual health assessments and supportive interventions in survivorship care.

1. Introduction

Breast cancer (BC) is the most common malignancy among women worldwide [1]. In Brazil and other Latin American countries, BC is proportionally more frequent in women under 40 years than in high-income countries (up to 17% vs. ~12% in North America) [2,3,4], partly explained by the younger age structure of Latin American populations. Recent studies, however, have reported a rising incidence among young women in several countries, including Brazil [4,5,6]. This younger population faces distinct clinical and psychosocial challenges compared with older women.
Among younger patients, estrogen receptor-positive (ER+) tumors predominate, accounting for the majority of cases [6]. Young women with BC frequently undergo chemotherapy, which can cause amenorrhea and ovarian failure in about 40% of women at age 40 and nearly 100% by age 50 [6,7,8]. In addition, while the use of adjuvant tamoxifen or aromatase inhibitors combined with ovarian function suppression (OFS) significantly reduces recurrence and mortality in early-stage disease [9,10,11], endocrine therapy (ET) is also associated with induced menopausal symptoms [12].
Menopausal symptoms triggered by ET and OFS are often more severe than those of natural menopause, including hot flashes, insomnia, vulvovaginal dryness, and reduced libido. These adverse effects can substantially impair quality of life (QoL) in young women and compromise treatment adherence [12,13,14,15]. Nevertheless, sexual health impairment remains a frequent but often overlooked consequence of cancer therapy, receiving limited attention from healthcare professionals during follow-up care. Sexuality is a multidimensional construct encompassing physical, psychological, interpersonal, social, and cultural domains [13,14,15,16,17]. As a result, survivors may experience substantial disruptions in sexual well-being, which should be addressed as part of comprehensive survivorship care to improve overall well-being and long-term outcomes [13,14,15,16,17].
Understanding the impact of ET on QoL across different cultural contexts is essential, as values and norms influence how patients perceive and cope with treatment side effects. However, data on patient-reported outcomes (PROs) from Latin America and other middle-income countries remain scarce. Generating context-specific evidence is crucial to informing care that addresses patients’ physical, psychosocial, and cultural needs.
This study aims to evaluate PROs in premenopausal patients with ER-positive BC treated with ET with or without OFS in the adjuvant setting in private healthcare facilities in Brazil. We hypothesized that adding OFS to ET would be associated with clinically meaningful worsening of sexual functioning and menopause-related symptoms compared with ET alone.

2. Materials and Methods

2.1. Study Design and Patient Population

This sub-analysis was derived from a multicenter, prospective, observational cohort conducted in Americas Oncologia, a private healthcare facility located in Rio de Janeiro and São Paulo, Brazil. In this analysis, we evaluated premenopausal women aged ≤50 years with stage I–III invasive estrogen receptor (ER)-positive BC. Patients with HER2-positive tumors were eligible if they were also ER-positive. Patients with stage IV disease, hormone receptor-negative tumors, or in situ carcinoma were excluded. All participants received adjuvant endocrine therapy (ET), with or without ovarian function suppression (OFS), between 1 January 2013 and 31 January 2023. Enrollment in the cohort occurred before initiation of systemic treatments.
PROs were assessed using the validated Portuguese version of the European Organization for Research and Treatment of Cancer Quality of Life Questionnaire—Breast Cancer module (EORTC QLQ-BR23) [18]. This 23-item questionnaire includes four functional and four symptom scales. Functional scales were scored so that higher values represent better functioning, whereas higher scores on symptom scales reflect greater symptom burden. For this analysis, the sexual functioning and sexual enjoyment scales were prespecified as primary outcomes. Selected symptom items (e.g., hot flashes, headache, fatigue) were also analyzed separately. Assessments were performed during in-person visits at baseline and at 3, 6, 9, 12, and 24 months. Questionnaires were administered by a trained research team that underwent calibration to ensure standardized data collection. Clinical, epidemiological, and disease-related variables were abstracted from medical records, while race/ethnicity was self-reported according to Brazilian census categories (Appendix Figure A1).

2.2. Statistical Analysis

Continuous variables were summarized as means with standard deviations (SDs), and categorical variables as absolute and relative frequencies. Associations between demographic/clinical variables and OFS use were examined using logistic regression.
Overall survival (OS) and disease-free survival (DFS) were estimated using Kaplan–Meier curves, which were compared with the log-rank test. Associations with OS and DFS were further evaluated with Cox proportional hazards models, reporting hazard ratios (HRs) with 95% confidence intervals (CIs). Both univariate and multivariate models were constructed, adjusting for age, stage, chemotherapy, radiotherapy, and type of surgery (mastectomy vs. breast-conserving).
EORTC QLQ-BR23 scores were summarized graphically over time and stratified by OFS status. Longitudinal changes in sexual functioning and sexual enjoyment were analyzed using linear mixed models, adjusted for cancer stage. A difference of >10 points was interpreted as clinically meaningful [19]. Results are expressed as means with 95% CIs, and between-group differences are presented for each time point.
For secondary analyses at the 24-month time point, categorical responses were dichotomized as “not at all/a little” versus “quite a bit/very much.” Comparisons between the OFS and ET-only groups were performed using Fisher’s exact test, given the relatively small sample size and sparse cells in some categories. p-values < 0.05 were considered statistically significant. All tests were two-sided. These analyses were exploratory and not adjusted for multiplicity.
Model assumptions were verified by evaluating the residuals of each regression model. Residual normality was assessed by visual inspection of histograms, which demonstrated approximately symmetric distributions centered around zero. All analyses were performed using R software, version 4.1.2 (R Foundation for Statistical Computing, Vienna, Austria). A two-sided p-value < 0.05 was considered statistically significant.

2.3. Ethical Considerations

The study protocol was reviewed and approved by the Research Ethics Committee (Comitê de Ética em Pesquisa—CEP of Hospital Pró-Cardíaco, Rio de Janeiro, Brazil) (approval date: 3 January 2012; reference no. 12747119.5.0000.5533). All participants provided oral and written informed consent. The study was conducted in accordance with Good Clinical Practice guidelines and the Declaration of Helsinki. The datasets generated and/or analyzed during the current study are available from the corresponding author upon reasonable request.
This prospective cohort was previously described in a 2018 publication addressing the clinical data and outcomes of the patients included until 2016, and also in a broader analysis of QoL outcomes in BC patients [19,20], all under the same institutional protocol and IRB approval (CEP Pró-Cardíaco, no. 12747119.5.0000.5533).

3. Results

A total of 363 female patients met the inclusion criteria. Most patients were white (50.1%), aged over 40 (66.0%), with a histological grade of 2 (53.0%), and treated with lumpectomy (53.0%) and (neo)adjuvant chemotherapy (77.0%). Only seven (1.9%) patients received adjuvant abemaciclib. The study population predominantly comprises patients with stage I and II BC, including 58.0% N0 patients, with only 17% stage III patients. HER2-positive patients comprised 17.0% of the cohort, and 56% had a Ki-67 index below 20% (Table 1).
For statistical analysis, two groups were identified: the ET-only group, comprising 290 patients (80.0%) who received ET alone, and the ET-OFS group, consisting of 73 patients (20.0%) who received ET combined with OFS. In multivariate logistic regression, younger age, advanced stage, and chemotherapy exposure were independently associated with OFS use. Compared with women under 35 years, those aged 35–40, 41–45, and 46–50 years had progressively lower odds of receiving OFS (OR 0.35, 95% CI 0.16–0.75, p = 0.007; OR 0.14, 95% CI 0.06–0.31, p < 0.001; and OR 0.07, 95% CI 0.03–0.16, p < 0.001, respectively). Patients with stage II (OR 2.38, 95% CI 1.27–4.63, p = 0.008) or stage III disease (OR 4.74, 95% CI 2.31–10.0, p < 0.001) were more likely to receive OFS. Chemotherapy exposure was also strongly associated with OFS use (OR 3.41, 95% CI 1.60–8.45, p = 0.003). In contrast, surgery type was not significantly associated, and patients on tamoxifen were less likely to receive OFS (OR 0.07, 95% CI 0.04–0.12, p < 0.001) (Table 2).
The responses to the EORTC QLQ-BR23 were obtained from 363 patients at baseline, 152 at 3 months, 272 at 6 months, 250 at 9 months, 252 at 12 months, and 171 at 24 months. Completion rates were similar between groups across time points (Appendix Table A1).
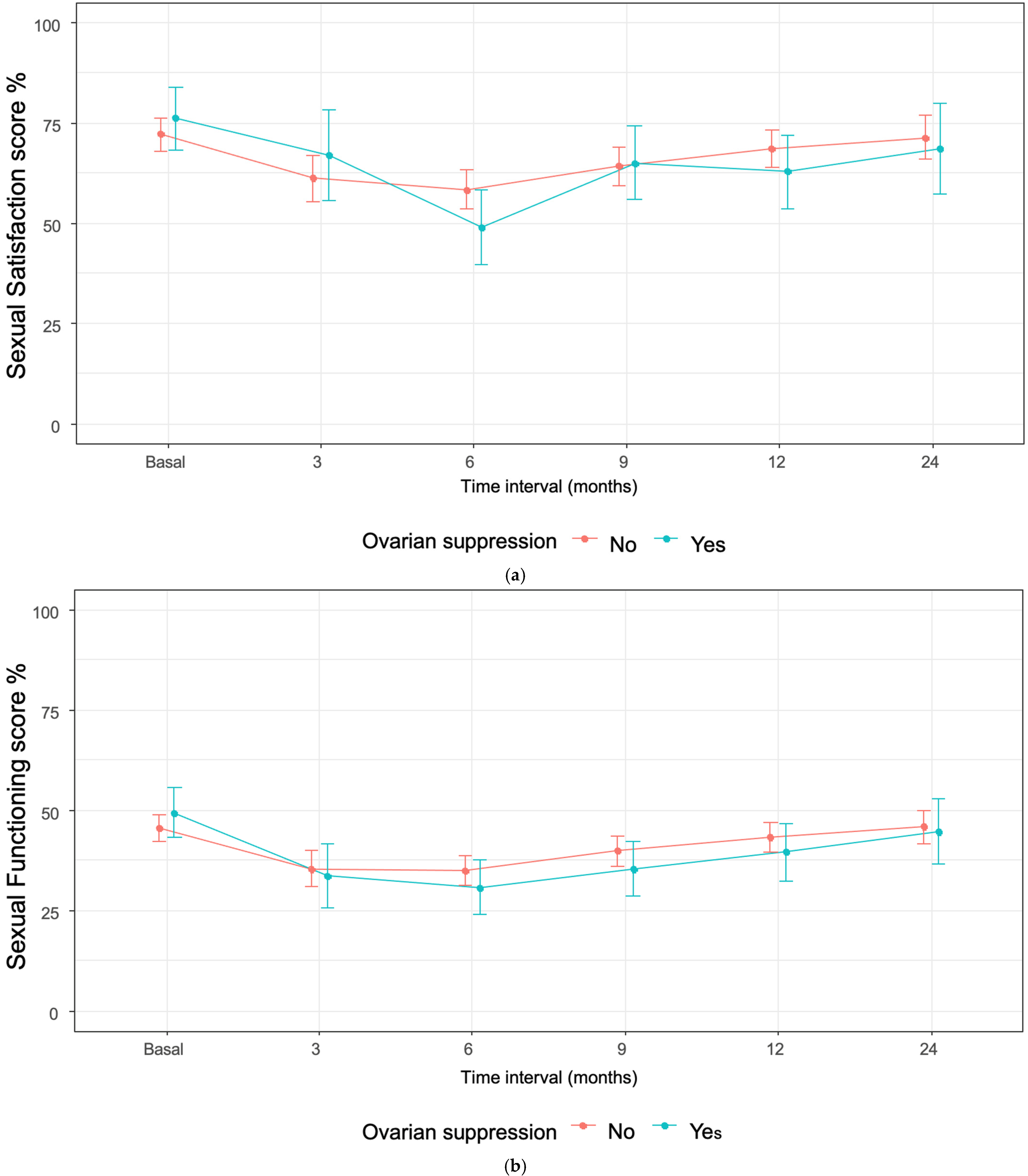
Analysis of sexual enjoyment and sexual functioning showed no statistically significant differences between ET-only and OFS-ET groups throughout follow-up. At baseline, mean scores were similar for enjoyment (72.2 vs. 76.1) and functioning (45.5 vs. 49.3). Both groups experienced declines during the first six months of treatment, with sharper reductions among OFS-ET patients. At 6 months, sexual enjoyment fell to 49.0 in the OFS-ET group compared with 58.3 in ET-only (between-group difference −4.67; 95% CI −9.94 to 0.61; p = 0.08), while sexual functioning declined to 30.7 vs. 34.9, respectively (difference −2.09; 95% CI −5.94 to 1.76; p = 0.29). These declines exceeded the threshold for clinical significance (>10 points) only in the OFS-ET group. Over time, ET-only patients largely recovered to baseline by 24 months (71.4 for enjoyment and 45.8 for functioning), whereas OFS-ET patients showed partial recovery but remained below baseline (68.6 and 44.7, respectively). Taken together, these findings indicate clinically meaningful but not statistically significant impairments in sexual health among women receiving OFS (Figure 1; Appendix Table A2, Table A3, Table A4 and Table A5).
At 24 months, no statistically significant differences were observed in sexual desire (51.5% vs. 42.0%; p = 0.33, Fisher’s exact test) or sexual enjoyment (26.0% vs. 13.5%; p = 0.20, Fisher’s exact test) between OFS and ET-only patients. Lack of sexual activity was more frequent in the OFS group (60.6% vs. 41.2%), with a borderline difference (p = 0.05, Fisher’s exact test). In contrast, body image outcomes were significantly more impaired among OFS patients, with higher proportions reporting feeling less attractive (38.2% vs. 19.9%; p = 0.04, Fisher’s exact test) and less feminine (26.5% vs. 11.7%; p = 0.05, Fisher’s exact test). These findings indicate that while sexual functioning domains showed numerical but nonsignificant differences, the impact on body image was more pronounced and statistically significant in patients undergoing ovarian suppression (Figure 2; Table 3; Appendix Table A6).
After a median follow-up of 37 months, 36 recurrences and 14 deaths were recorded. Median OS and DFS were not reached. Kaplan–Meier analysis showed no significant differences between ET-only and ET + OFS groups (log-rank p = 0.13; S8; Appendix Figure A2 and Figure A3; Appendix Table A7).
Figure 2. (ae): Patient responses to the EORTC-QLQ-BR23: we present the distribution of responses to the selected items of the questionnaire, according to ovarian suppression, at each time interval.
Figure 2. (ae): Patient responses to the EORTC-QLQ-BR23: we present the distribution of responses to the selected items of the questionnaire, according to ovarian suppression, at each time interval.
Cancers 17 03229 g002aCancers 17 03229 g002b
Table 3. Sexuality and body image outcomes at 24 months. OFS = ovarian function suppression; ET = endocrine therapy.
Table 3. Sexuality and body image outcomes at 24 months. OFS = ovarian function suppression; ET = endocrine therapy.
OutcomeOFS (%)ET-Only (%)p-Value (Fisher)
Low sexual desire17/33 (51.5%)55/131 (42.0%)0.33
Low sexual activity20/33 (60.6%)54/131 (41.2%)0.05
Low sexual enjoyment6/23 (26.1%)14/104 (13.5%)0.20
Body image—less attractive13/34 (38.2%)27/136 (19.9%)0.04
Body image—less feminine9/34 (26.5%)16/137 (11.7%)0.05

4. Discussion

Our study highlights the significant challenges faced by young BC patients undergoing endocrine therapy, particularly regarding sexual health, body image, and menopause-related symptoms. Patients receiving ovarian function suppression were younger and presented with more advanced disease, which underscores the complexity of treatment decisions: while OFS provides clinical benefits in high-risk populations [9,10,11], it also adds a substantial treatment-related burden. Although the differences were not statistically significant, patients in the ET-plus-OFS group experienced a persistent decline in sexual functioning and enjoyment, with scores not returning to baseline after 24 months. In contrast, scores among patients receiving ET alone eventually returned to baseline levels, suggesting that the addition of OFS may exacerbate long-term impairment in sexual health. OFS patients experienced clinically meaningful and persistent impairments, especially in body image.
Identifying gaps in QoL is critical for BC survivorship. Several studies [21,22] have shown a link between adherence to adjuvant ET and its impact on QoL, particularly in domains such as body image. For example, a recently published analysis [22] of Brazilian patients found that lower adherence was associated with poorer scores in the EORTC QLQ-BR23 body image domain. For instance, systematically monitoring and addressing these issues may not only improve patients’ QoL and sexual well-being but also positively influence treatment adherence and, ultimately, clinical outcomes.
Our results are consistent with the international literature. Sub-analyses of the SOFT and TEXT trials [23] confirmed worse vaginal dryness, reduced sexual interest, and difficulties in arousal among women receiving OFS, particularly in combination with aromatase inhibitors. The Mexican Joven & Fuerte cohort study [24] showed that 21.3% of young patients received ET plus OFS, and that sexual dysfunction rates increased from 33.6% at baseline to 52.9% at five years. The CANTO [14] cohort study, which followed nearly 8000 French women, found that 78.2% reported sexual concerns during follow-up. In this study, the use of ET was associated with poorer sexual functioning and sexual enjoyment. The use of OFS was not significantly related to these complaints. Still, only 2.3% of the patients had received it, which may have limited the ability to evaluate its effect on quality of life. Finally, a Norwegian study [25] demonstrated that BC survivors reported worse sexual functioning and enjoyment compared with non-cancer controls. The poorest outcomes were observed among premenopausal survivors and those treated with both chemotherapy and endocrine therapy. Together, these studies show that sexual dysfunction is prevalent, persistent, and probably insufficiently addressed in survivorship care. Our findings add to this evidence by providing data from Brazil, a middle-income country in Latin America.
This study has several limitations. The high proportion of patients treated with chemotherapy, even in the ET-only group, may have biased results, especially at 3- and 6-month time points, since chemotherapy itself induces amenorrhea, sexual dysfunction, and affects body image [7,8,12,13,19]. Similarly, the higher frequency of mastectomy in the OFS group may also have contributed to worse body image and perceptions of femininity [12,13,19]. Other differences in baseline characteristics between patients who received OFS and those treated with ET alone, such as younger age and more advanced disease, may be confounders that may compromise our ability to isolate the impact of OFS on QoL. These factors may also help explain why no significant differences in DFS and OS were observed between groups.
A noteworthy finding in our cohort is the relatively low proportion of patients who received OFS (only 20%), despite the high prevalence of chemotherapy exposure (77%). This is important, given that OFS is recommended for high-risk premenopausal patients, particularly those treated with chemotherapy [9,10,11]. Data from the SOFT and TEXT [9,10] trials, first reported in 2014, demonstrated that OFS combined with tamoxifen or aromatase inhibitors significantly reduced recurrence and mortality. Still, their uptake in practice in Brazil’s supplementary healthcare sector may have been gradual and heterogeneous. The limited use of OFS in our cohort may reflect physician preference, patient reluctance, or system-level barriers within Brazil’s supplementary healthcare sector. Still, it is crucial to take into account that the relatively small proportion of patients receiving OFS may have reduced the statistical power to detect differences between groups. Another potential limitation of our study is the long recruitment period (2013–2023), during which treatment strategies for premenopausal women with ER-positive BC evolved substantially worldwide. This temporal variability may also partly explain the relatively low proportion of patients receiving OFS in our cohort despite high rates of chemotherapy exposure. In addition, abemaciclib in the adjuvant setting was approved in Brazil in August 2021, near the end of our study period, and its incorporation was further limited by restricted coverage from private insurance providers. These factors account for the very low proportion of patients in our cohort who received adjuvant abemaciclib, despite it currently being considered the standard of care for high-risk ER-positive BC.
A critical observation in our study is the proportion of Black and Mixed-race women, who together accounted for about 32% of the cohort. At first glance, this may appear to be a substantial proportion of our cohort, especially considering that pivotal international trials such as SOFT and TEXT [9,10] did not report outcomes stratified by race, therefore limiting the generalizability of their findings to more diverse populations. However, considering the Brazilian context, where more than 55% of the population self-identifies as Black or Mixed race [26], this proportion of patients is lower than expected. This discrepancy raises concerns about representativeness and equity, as it underscores structural barriers that hinder access to supplementary healthcare for Black and Mixed-race patients. Structural inequities in Brazil’s private healthcare coverage have been well documented [27]. It is also important to note that Rio de Janeiro and São Paulo are located in the wealthiest region of Brazil, which further limits the generalizability of these data. In this context, similar studies evaluating PROs among patients treated in the public healthcare system (SUS) and across different regions of Brazil would be highly relevant to capture the impact of endocrine therapy and OFS in more socioeconomically and racially diverse populations.
As with any observational study, the possibility of other residual confounding cannot be excluded entirely. Taken together, these limitations should be considered when interpreting our results. Nevertheless, they do not diminish the relevance of our study, which provides real-world evidence from a middle-income country in Latin America and underscores the need for comprehensive survivorship care in premenopausal women with BC.

5. Conclusions

In conclusion, our findings emphasize the impact of ET, particularly when combined with OFS, on sexual health and QoL in young premenopausal BC patients in Brazil. Both groups experienced declines in sexual functioning and enjoyment, but those receiving OFS had a more persistent decline, with scores remaining below baseline after 24 months. Symptoms such as reduced sexual desire, diminished perceptions of femininity, and menopause-related complaints further illustrate the negative impact of these treatments on QoL despite their oncologic benefit.
These results highlight the urgent need for routine sexual health assessments, culturally sensitive interventions, and improved access to psychosocial and sexological support as integral components of survivorship care. Addressing these unmet needs could improve treatment adherence, enhance QoL, and ultimately lead to better outcomes for young breast cancer survivors.

Author Contributions

All authors have contributed to the study conception, design, analysis, interpretation, and manuscript draft. J.P., D.A., T.F., G.C. and L.S.d.M. were responsible for data acquisition. All authors have read and agreed to the published version of the manuscript.

Funding

This research received no external funding.

Institutional Review Board Statement

The study protocol was reviewed and approved by the Research Ethics Committee (Comitê de Ética em Pesquisa—CEP) of Hospital Pró-Cardíaco, Rio de Janeiro, Brazil (approval date: 3 January 2012; reference No. 12747119.5.0000.5533).

Informed Consent Statement

All participants provided oral and written informed consent.

Data Availability Statement

The datasets generated and/or analyzed during the current study are available from the corresponding author upon reasonable request.

Acknowledgments

The authors thank all the patients who participated in this study.

Conflicts of Interest

The authors declare no conflicts of interest.

Abbreviations

The following abbreviations are used in this manuscript:
BCBreast Cancer
ETEndocrine Therapy
OFSOvarian Function Suppression
ER+Estrogen Receptor-Positive
QoLQuality of Life
PROsPatient-Reported Outcomes
EORTC QLQ-BR23European Organization for Research and Treatment of Cancer Quality of Life Questionnaire—Breast Cancer module
OSOverall Survival
DFSDisease-Free Survival
HRHazard Ratio
CIConfidence Interval
SDStandard Deviation
CEPComitê de Ética em Pesquisa (Research Ethics Committee)
IRBInstitutional Review Board
GnRHGonadotropin-Releasing Hormone

Appendix A

Table A1. Proportions of completed questionnaires and patients with ovarian suppression over time.
Table A1. Proportions of completed questionnaires and patients with ovarian suppression over time.
Time IntervalPatients Under OFS (n)Patients with Completed Questionnaires (n)Proportion with OFS (%)
Baseline7336320.1
3 months3515223.0
6 months5727221.0
9 months5325021.2
12 months5025219.8
24 months3417119.9
Table A2. Estimated means of sexual enjoyment by time and group.
Table A2. Estimated means of sexual enjoyment by time and group.
Time IntervalNo OFS—MeanNo OFS—CI (Lower)No OFS—CI (Upper)With OFS—MeanWith OFS—CI (Lower)With OFS—CI (Upper)
Baseline72.2268.0876.3776.1268.1984.05
3 months61.1655.2867.0566.9255.678.24
6 months58.3453.4863.249.0139.6158.41
9 months64.259.3769.0365.0355.8474.23
12 months68.6463.8673.4262.7653.4772.06
24 months71.3565.8276.8968.657.2179.98
Table A3. Differences between groups (sexual enjoyment).
Table A3. Differences between groups (sexual enjoyment).
Time IntervalDifference (OFS—No OFS)95% CI (Lower)95% CI (Upper)p-Value
Baseline1.95−2.536.430.39
3 months2.88−3.59.250.38
6 months−4.67−9.940.610.08
9 months0.42−4.775.60.87
12 months−2.94−8.152.270.27
24 months−1.38−7.714.950.67
Table A4. Estimated means of sexual function by time and group.
Table A4. Estimated means of sexual function by time and group.
Time IntervalNo OFS—MeanNo OFS—CI (Lower)No OFS—CI (Upper)With OFS—MeanWith OFS—CI (Lower)With OFS—CI (Upper)
Baseline45.4842.1648.849.3443.1655.51
3 months35.3630.9339.7933.525.5141.5
6 months34.8931.2638.5230.7123.9237.51
9 months39.7836.0443.5135.3128.4442.19
12 months43.1839.4846.8739.5432.3746.71
24 months45.8141.5550.0744.7436.5652.92
Table A5. Differences between groups (sexual function).
Table A5. Differences between groups (sexual function).
Time IntervalDifference (OFS—No OFS)95% CI (Lower)95% CI (Upper)p-Value
Baseline1.93−1.575.430.28
3 months−0.93−5.53.640.69
6 months−2.09−5.941.760.29
9 months−2.23−6.141.670.26
12 months−1.82−5.842.210.38
24 months−0.54−5.154.080.82
Table A6. Full response distribution at 24 months.
Table A6. Full response distribution at 24 months.
OutcomeCategoryOFSET-Only
Sexual desireNot at all11/33 (33.3%)23/131 (17.6%)
Sexual desireA little6/33 (18.2%)32/131 (24.4%)
Sexual desireModerate10/33 (30.3%)73/131 (55.7%)
Sexual desireVery much6/33 (18.2%)3/131 (2.3%)
Sexual activityNot at all10/33 (30.3%)30/131 (22.9%)
Sexual activityA little10/33 (30.3%)24/131 (18.3%)
Sexual activityModerate8/33 (24.2%)72/131 (55%)
Sexual activityVery much5/33 (15.2%)5/131 (3.8%)
Sexual enjoymentNot at all1/23 (4.3%)6/104 (5.8%)
Sexual enjoymentA little5/23 (21.7%)8/104 (7.7%)
Sexual enjoymentModerate8/23 (34.8%)50/104 (48.1%)
Sexual enjoymentVery much9/23 (39.1%)40/104 (38.5%)
Body image—less attractiveNot at all18/34 (52.9%)99/136 (72.8%)
Body image—less attractiveA little3/34 (8.8%)10/136 (7.4%)
Body image—less attractiveModerate6/34 (17.6%)17/136 (12.5%)
Body image—less attractiveVery much7/34 (20.6%)10/136 (7.4%)
Body image—less feminineNot at all20/34 (58.8%)111/137 (81%)
Body image—less feminineA little5/34 (14.7%)10/137 (7.3%)
Body image—less feminineModerate4/34 (11.8%)7/137 (5.1%)
Body image—less feminineVery much5/34 (14.7%)9/137 (6.6%)
Table A7. Mortality according to baseline, clinical, and ovarian suppression variables. HR and Adjusted HR.
Table A7. Mortality according to baseline, clinical, and ovarian suppression variables. HR and Adjusted HR.
VariableMortalityTime to DeathAdj HR
Alive, N = 349Death, N = 14HR95% CIp-ValueHR95% CIp-Value
Age
<35 years39/44 (89.0%)5/44 (11%)1 (ref)
35–40 years76/78 (97.0%)2/78 (2.6%)0.170.03, 0.870.0330.250.04, 1.490.127
41–45 years108/111 (97.0%)3/111 (2.7%)0.210.05, 0.870.0310.330.07, 1.610.169
46–50 years126/130 (97.0%)4/130 (3.1%)0.260.07, 0.970.0450.470.11, 2.030.309
Stage
I147/148 (99.0%)1/148 (0.7%)1 (ref)
II146/152 (96.0%)6/152 (3.9%)5.140.62, 42.70.1305.520.65, 47.00.118
III56/63 (89.0%)7/63 (11%)12.71.56, 1030.0178.971.04, 77.00.046
Type of surgery
Skin-Sparing Mastectomy28/28 (100%)0/28 (0%)1 (ref)>0.999
Lumpectomy191/193 (99.0%)2/193 (1.0%)
Modified Radical Mastectomy129/141 (91.0%)12/141 (8.5%)
Chemotherapy
No84/84 (100%)0/84 (0%)1 (ref)>0.999
Yes265/279 (95.0%)14/279 (5.0%)
Abemaciclib
No343/356 (96.0%)13/356 (3.7%)1 (ref)
Yes6/7 (86%)1/7 (14%)2.240.29, 17.50.4411.140.11, 11.30.912
Tamoxifen
No74/78 (95%)4/78 (5.1%)1 (ref)
Yes275/285 (96%)10/285 (3.5%)0.660.21, 2.100.4801.030.23, 4.520.969
Ovarian Suppression
No282/290 (97%)8/290 (2.8%)1 (ref)
Yes67/73 (92%)6/73 (8.2%)2.200.76, 6.340.1451.250.29, 5.360.762
Figure A1. Study design.
Figure A1. Study design.
Cancers 17 03229 g0a1
Figure A2. Disease-Free Survivors according to ovarian suppression.
Figure A2. Disease-Free Survivors according to ovarian suppression.
Cancers 17 03229 g0a2
Figure A3. Overall survivor according to ovarian suppression.
Figure A3. Overall survivor according to ovarian suppression.
Cancers 17 03229 g0a3

References

  1. Ferlay, J.; Ervik, M.; Lam, F.; Laversanne, M.; Colombet, M.; Mery, L.; Piñeros, M.; Znaor, A.; Soerjomataram, I.; Bray, F. Global Cancer Observatory: Cancer Today; International Agency for Research on Cancer: Lyon, France, 2024; Available online: https://gco.iarc.fr/today (accessed on 1 August 2025).
  2. Franzoi, M.A.; Rosa, D.D.; Zaffaroni, F.; Werutsky, G.; Simon, S.; Bines, J.; Barrios, C.; Cronemberger, E.; Queiroz, G.S.; de Lima, V.C.; et al. Advanced Stage at Diagnosis and Worse Clinicopathologic Features in Young Women with Breast Cancer in Brazil: A Subanalysis of the AMAZONA III Study (GBECAM 0115). J. Glob. Oncol. 2019, 5, 1–10. [Google Scholar] [CrossRef]
  3. da Silva, J.L.; Thuler, L.C.S.; de Melo, A.C. Breast cancer patterns by age groups in Brazil: Insights from population-based registries data. BMC Cancer 2025, 25, 18. [Google Scholar] [CrossRef]
  4. Franco-Marina, F.; López-Carrillo, L.; Keating, N.L.; Arreola-Ornelas, H.; Marie Knaul, F. Breast cancer age at diagnosis patterns in four Latin American Populations: A comparison with North American countries. Cancer Epidemiol. 2015, 39, 831–837. [Google Scholar] [CrossRef] [PubMed]
  5. Bonadio, R.C.; Moreira, O.A.; Testa, L. Breast cancer trends in women younger than 40 years in Brazil. Cancer Epidemiol. 2022, 78, 102139. [Google Scholar] [CrossRef] [PubMed]
  6. Xu, S.; Murtagh, S.; Han, Y.; Wan, F.; Toriola, A.T. Breast cancer incidence among US women aged 20 to 49 years by race, stage, and hormone receptor status. JAMA Netw. Open 2024, 7, e2353331. [Google Scholar] [CrossRef]
  7. Lambertini, M.; Arecco, L.; Woodard, T.L.; Messelt, A.; Rojas, K.E. Advances in the Management of Menopausal Symptoms, Fertility Preservation, and Bone Health for Women with Breast Cancer on Endocrine Therapy. Am. Soc. Clin. Oncol. Educ. Book 2023, 43, e390442. [Google Scholar] [CrossRef] [PubMed]
  8. Goodwin, P.J.; Ennis, M.; Pritchard, K.I.; Trudeau, M.; Hood, N. Risk of menopause during the first year after breast cancer diagnosis. J. Clin. Oncol. 1999, 17, 2365–2370. [Google Scholar] [CrossRef] [PubMed]
  9. Pagani, O.; Regan, M.M.; Walley, B.A.; Fleming, G.F.; Colleoni, M.; Láng, I.; Gomez, H.L.; Tondini, C.; Burstein, H.J.; Perez, E.A.; et al. TEXT and SOFT Investigators; International Breast Cancer Study Group. Adjuvant exemestane with ovarian suppression in premenopausal breast cancer. N. Engl. J. Med. 2014, 371, 107–118. [Google Scholar] [CrossRef]
  10. Pagani, O.; Walley, B.A.; Fleming, G.F.; Colleoni, M.; Láng, I.; Gomez, H.L.; Tondini, C.; Burstein, H.J.; Goetz, M.P.; Ciruelos, E.M.; et al. Adjuvant Exemestane with Ovarian Suppression in Premenopausal Breast Cancer: Long-Term Follow-Up of the Combined TEXT and SOFT Trials. J. Clin. Oncol. 2023, 41, 1376–1382. [Google Scholar] [CrossRef] [PubMed] [PubMed Central]
  11. Early Breast Cancer Trialists’ Collaborative Group (EBCTCG). Aromatase inhibitors versus tamoxifen in premenopausal women with oestrogen receptor-positive early-stage breast cancer treated with ovarian suppression: A patient-level meta-analysis of 7030 women from four randomised trials. Lancet Oncol. 2022, 23, 382–392. [Google Scholar] [CrossRef]
  12. Lee, K.; Jun, H.S. Health-related quality of life of premenopausal young breast cancer survivors undergoing endocrine therapy. Eur. J. Oncol. Nurs. 2024, 68, 102496. [Google Scholar] [CrossRef] [PubMed]
  13. Bober, S.L.; Varela, V.S. Sexuality in adult cancer survivors: Challenges and intervention. J. Clin. Oncol. 2012, 30, 3712–3719. [Google Scholar] [CrossRef] [PubMed]
  14. Franzoi, M.A.; Aupomerol, M.; Havas, J.; Soldato, D.; Lambertini, M.; Massarotti, C.; Hang, H.; Pistilli, B.; Fasse, L.; Tredan, O.; et al. Investigating sexual health after breast cancer by longitudinal assessment of patient-reported outcomes. ESMO Open 2024, 9, 102236. [Google Scholar] [CrossRef]
  15. Vaz-Luis, I.; Masiero, M.; Cavaletti, G.; Cervantes, A.; Chlebowski, R.T.; Curigliano, G.; Felip, E.; Ferreira, A.R.; Ganz, P.A.; Hegarty, J.; et al. ESMO Expert Consensus Statements on Cancer Survivorship: Promoting high-quality survivorship care and research in Europe. Ann. Oncol. 2022, 33, 1119–1133. [Google Scholar] [CrossRef]
  16. Katz, A.; Agrawal, L.S.; Sirohi, B. Sexuality After Cancer as an Unmet Need: Addressing Disparities, Achieving Equality. Am. Soc. Clin. Oncol. Educ. Book 2022, 42, 11–17. [Google Scholar] [CrossRef] [PubMed]
  17. Michels, F.A.S.; Latorre, M.R.O.; Maciel, M.S. Validity, reliability, and understanding of the EORTC-C30 and EORTC-BR23 quality of life questionnaires. Rev. Bras. Epidemiol. 2013, 16, 352–363. [Google Scholar] [CrossRef]
  18. Osoba, D.; Rodrigues, G.; Myles, J.; Zee, B.; Pater, J. Interpreting the significance of changes in health-related quality-of-life scores. J. Clin. Oncol. 1998, 16, 139–144. [Google Scholar] [CrossRef]
  19. Boukai, A.; Gonçalves, A.C.; Padoan, M.; Andrade, P.; Carvalho, N.; Lemos, F.; Almeida, T.; Salem, J.; Gauí, M.F.D.; Teich, N.; et al. Outcome of Patients with Breast Cancer Treated in a Private Health Care Institution in Brazil. J. Glob. Oncol. 2018, 4, 1–10. [Google Scholar] [CrossRef]
  20. Monteiro, M.R.; Nunes, N.C.C.; Crespo, J.; Abrahão, A.B.K.; Buscacio, G.; Lerner, L.C.C.; Sermoud, L.; Arakelian, R.; Piotto, G.; Lemos, C.; et al. Patient-centered Outcomes in Breast Cancer: Description of EQ-5D-5L and EORTC-QLQ-BR23 Measurements in Real-world Data and Their Association with Survival. Clin. Oncol. (R. Coll. Radiol.) 2022, 34, 608–616. [Google Scholar] [CrossRef]
  21. Jiang, H.; Dong, Y.; Zong, W.; Zhang, X.J.; Xu, H.; Jin, F. The relationship among psychosocial adaptation, medication adherence and quality of life in breast cancer women with adjuvant endocrine therapy. BMC Women’s Health 2022, 22, 135. [Google Scholar] [CrossRef] [PubMed]
  22. Assad-Suzuki, D.; Laperche-Santos, D.; Resende, H.; Moura, F.C.; Oliveira, S.C.S.; Shimada, A.K.; Arakelian, R.; Galvão, A.L.Z.; de Souza, B.S.W.; Custódio, A.G.C.; et al. Adherence to Adjuvant Endocrine Therapy in Patients with Nonmetastatic Estrogen Receptor-Positive Breast Cancer: A Comprehensive Brazilian Real-World Data Study. JCO Glob. Oncol. 2025, 11, e2400351. [Google Scholar] [CrossRef]
  23. Ferrigno Guajardo, A.; Vaca-Cartagena, B.F.; Mesa-Chavez, F.; Platas, A.; Fonseca, A.; Cruz-Ramos, M.; Miaja Avila, M.; Rodriguez, A.L.; Cabrera-Galeana, P.; Mohar, A.; et al. Sexual function and satisfaction in young women with breast cancer: A 5-year prospective study. JNCI Cancer Spectr. 2024, 8, pkae111. [Google Scholar] [CrossRef]
  24. Bernhard, J.; Luo, W.; Ribi, K.; Colleoni, M.; Burstein, H.J.; Tondini, C.; Pinotti, G.; Spazzapan, S.; Ruhstaller, T.; Puglisi, F.; et al. Patient-reported outcomes with adjuvant exemestane versus tamoxifen in premenopausal women with early breast cancer undergoing ovarian suppression (TEXT and SOFT): A combined analysis of two phase 3 randomised trials. Lancet Oncol. 2015, 16, 848–858. [Google Scholar] [CrossRef] [PubMed]
  25. Smedsland, S.K.; Vandraas, K.F.; Falk, R.S.; Horn, J.; Reidunsdatter, R.J.; Kiserud, C.E.; Dahl, A.A.; Brekke, M.; Reinertsen, K.V. Sexual health in long-term breast cancer survivors: A comparison with female population controls from the HUNT study. Breast Cancer Res. Treat. 2023, 201, 479–488. [Google Scholar] [CrossRef] [PubMed]
  26. Instituto Brasileiro de Geografia e Estatística (IBGE). 2022 Demographic Census: Population by Color or Race; Agência IBGE Noticias: Rio de Janeiro, Brazil, 2023. Available online: https://agenciadenoticias.ibge.gov.br/agencia-noticias/2012-agencia-de-noticias/noticias/38719 (accessed on 1 August 2025).
  27. Coube, M.; Nikoloski, Z.; Mrejen, M.; Mossialos, E. Inequalities in unmet need for health care services and medications in Brazil: A decomposition analysis. Lancet Reg. Health Am. 2023, 19, 100426. [Google Scholar] [CrossRef] [PubMed]
Figure 1. Sexual enjoyment (a) and sexual functioning (b) scales from the EORTC-QLQ-BR23 questionnaire. Patients under OFS showed a clinically significant decrease (greater than 10 points) in the 6-month timeline compared to baseline. At 24 months, patients in the ET-only group had returned to baseline, while patients in the OFS-ET group persisted with lower scores, although not considered clinically significant. No statistically significant differences were found between the groups.
Figure 1. Sexual enjoyment (a) and sexual functioning (b) scales from the EORTC-QLQ-BR23 questionnaire. Patients under OFS showed a clinically significant decrease (greater than 10 points) in the 6-month timeline compared to baseline. At 24 months, patients in the ET-only group had returned to baseline, while patients in the OFS-ET group persisted with lower scores, although not considered clinically significant. No statistically significant differences were found between the groups.
Cancers 17 03229 g001
Table 1. Baseline characteristics of patients.
Table 1. Baseline characteristics of patients.
VariablesDistribution, n/N (%)
Age at Diagnosis, n/N (%)
<35 years44/363 (12.0%)
Between 35 and 40 years78/363 (21.0%)
Between 41 and 45 years111/363 (31.0%)
Between 46 and 50 years130/363 (36.0%)
Ethnicity, n/N (%)
White182/363 (50.1%)
Brown (Mixed Race)62/363 (17.0%)
Black25/363 (6.9%)
Asian2/363 (0.6%)
Indigenous1/363 (0.3%)
Missing91/363 (25.1%)
Chemotherapy Treatment Received279/363 (77.0%)
Adjuvant187/363 (51.5%)
Neoadjuvant96/363 (26.0%)
Ovarian Suppression73/363 (20.0%)
Type of Surgery
Lumpectomy193/363 (53.0%)
Skin-Sparing Mastectomy28/363 (7.7%)
Modified Radical Mastectomy141/363 (39%)
Missing1/363 (0.3)
Histological Grade
G152/363 (14.0%)
G2193/363 (53.0%)
G380/363 (22.0%)
Not Specified36/363 (10.4%)
T Stage
T1185/363 (50.9%)
T2119/363 (32.7%)
T346/363 (12.8%)
T410/363 (2.8%)
Tx3/363 (0.8%)
N Stage
N0212/363 (58.0%)
N1121/363 (33.0%)
N1mi2/363 (0.6%)
N2a16/363 (4.4%)
N2b4/363 (1.1%)
N3a3/363 (0.8%)
N3b1/363 (0.3%)
N3c3/363 (0.8%)
NX1/363 (0.3%)
Stage
I44/363 (12.0%)
IA102/363 (28.0%)
IB2/363 (0.6%)
IIA92/363 (25.0%)
IIB60/363 (17.0%)
IIIA47/363 (13.0%)
IIIB9/363 (2.5%)
IIIC7/363 (1.9%)
HER2 Status
Positive64/363 (17.6%)
Negative296/363 (81.5%)
Missing3/363 (0.8%)
Estrogen Receptor-Positive354/363 (97.5%)
Progesterone Receptor-Positive336/363 (92.5%)
Ki67 Index
≤20%191/363 (52.6%)
>20%153/363 (42.1.0%)
Missing19/363 (5.2%)
Table 2. Demographic and clinical characteristics by ovarian suppression. OR = Odds Ratio; CI = confidence interval.
Table 2. Demographic and clinical characteristics by ovarian suppression. OR = Odds Ratio; CI = confidence interval.
TotalOvarian SuppressionOdds Ratio
N = 363Yes, N = 73No, N = 290OR95% CIp-Value
Age, n/N (%)
<35 years44/363 (12.0%)24/44 (55.0%)20/44 (45.0%)
35 to 40 years78/363 (21.0%)23/78 (29.0%)55/78 (71.0%)0.350.16, 0.750.007
41 to 45 years111/363 (31.0%)16/111 (14.0%)95/111 (86.0%)0.140.06, 0.31<0.001
46 to 50 years130/363 (36.0%)10/130 (7.7%)120/130 (92.0%)0.070.03, 0.16<0.001
Stage, n/N(%)
I148/363 (41.0%)16/148 (11.0%)132/148 (89.0%)
II152/363 (42.0%)34/152 (22.0%)118/152 (78.0%)2.381.27, 4.630.008
III63/363 (17.0%)23/63 (37.0%)40/63 (63.0%)4.742.31, 10.0<0.001
Type of Surgery, n/N (%)
Lumpectomy193/362 (53.0%)34/193 (18.0%)159/193 (82.0%)
Skin-Sparing Mastectomy28/362 (7.7%)4/28 (14%)24/28 (86%)
Modified Radical Mastectomy141/362 (39%)34/141 (24%)107/141 (76%)1.910.68, 6.820.262
Chemotherapy, n/N (%)279/363 (77.0%)66/279 (24.0%)213/279 (76.0%)3.411.60, 8.450.003
Use of Abemaciclib, n/N (%)7/363 (1.9%)3/7 (43.0%)4/7 (57.0%)3.060.59, 14.20.149
Use of Tamoxifen, n/N (%)285/363 (79.0%)26/285 (9.1%)259/285 (91.0%)0.070.04, 0.12<0.001
Disclaimer/Publisher’s Note: The statements, opinions and data contained in all publications are solely those of the individual author(s) and contributor(s) and not of MDPI and/or the editor(s). MDPI and/or the editor(s) disclaim responsibility for any injury to people or property resulting from any ideas, methods, instructions or products referred to in the content.

Share and Cite

MDPI and ACS Style

Nunes, N.; Carvalho, G.; Ramos, B.; Pecoraro, J.; Lerner, L.; Azevedo, D.; Ferreira, T.; de Moura, L.S.; Galvão, C.; Monteiro, M. Self-Reported Outcomes of Endocrine Therapy with or Without Ovarian Suppression in Premenopausal Breast Cancer Patients: A Brazilian Quality-of-Life Prospective Cohort. Cancers 2025, 17, 3229. https://doi.org/10.3390/cancers17193229

AMA Style

Nunes N, Carvalho G, Ramos B, Pecoraro J, Lerner L, Azevedo D, Ferreira T, de Moura LS, Galvão C, Monteiro M. Self-Reported Outcomes of Endocrine Therapy with or Without Ovarian Suppression in Premenopausal Breast Cancer Patients: A Brazilian Quality-of-Life Prospective Cohort. Cancers. 2025; 17(19):3229. https://doi.org/10.3390/cancers17193229

Chicago/Turabian Style

Nunes, Natália, Giselle Carvalho, Bernardo Ramos, Juliana Pecoraro, Lilian Lerner, Debora Azevedo, Thamirez Ferreira, Larissa Santiago de Moura, Carolina Galvão, and Mariana Monteiro. 2025. "Self-Reported Outcomes of Endocrine Therapy with or Without Ovarian Suppression in Premenopausal Breast Cancer Patients: A Brazilian Quality-of-Life Prospective Cohort" Cancers 17, no. 19: 3229. https://doi.org/10.3390/cancers17193229

APA Style

Nunes, N., Carvalho, G., Ramos, B., Pecoraro, J., Lerner, L., Azevedo, D., Ferreira, T., de Moura, L. S., Galvão, C., & Monteiro, M. (2025). Self-Reported Outcomes of Endocrine Therapy with or Without Ovarian Suppression in Premenopausal Breast Cancer Patients: A Brazilian Quality-of-Life Prospective Cohort. Cancers, 17(19), 3229. https://doi.org/10.3390/cancers17193229

Note that from the first issue of 2016, this journal uses article numbers instead of page numbers. See further details here.

Article Metrics

Back to TopTop