Laparoscopic Microwave Ablation and Salvage Liver Transplantation in Patients with Hepatocellular Carcinoma
Simple Summary
Abstract
1. Introduction
2. Materials and Methods
2.1. Patient Population and Data Collection
2.2. Surgical Procedure and Follow-Up
2.3. Study Design
2.4. Statistical Analysis
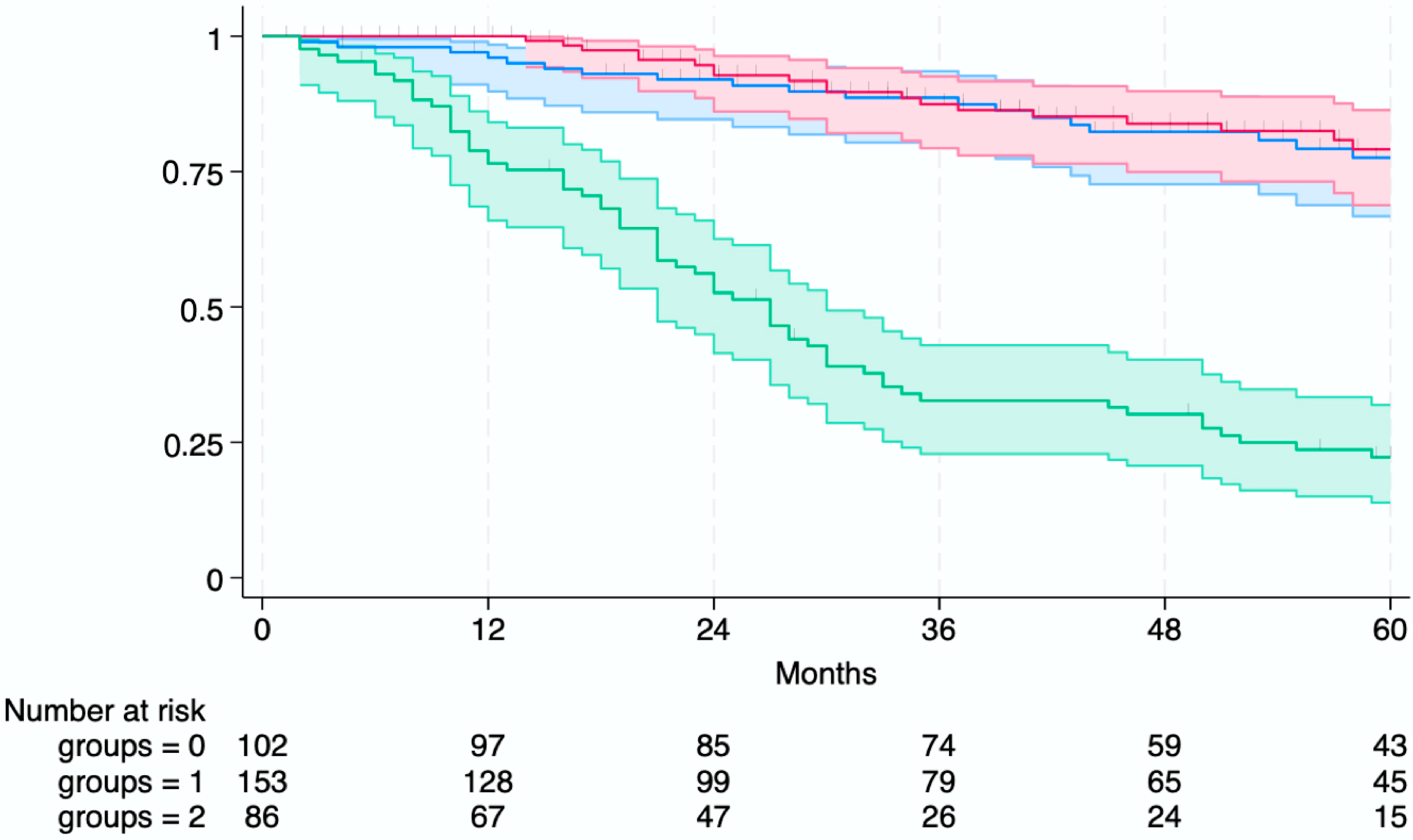
3. Results
3.1. Patient Characteristics and Short-Term Perioperative Outcomes
3.2. Success of the SLT Strategy
3.3. Overall Survival (OS)
4. Discussion
5. Conclusions
Author Contributions
Funding
Institutional Review Board Statement
Informed Consent Statement
Data Availability Statement
Conflicts of Interest
Abbreviations
| LT | Liver Transplantation |
| HCC | hepatocellular carcinoma |
| DCD | donation after circulatory death |
| LDLT | living donor liver transplantation |
| CRLM | colorectal liver metastases |
| NET | neuroendocrine tumour |
| SLT | salvage liver transplantation |
| PLT | primary liver transplantation |
| AFP | alpha-fetoprotein |
| P-MWA | percutaneous microwave ablation |
| L-MWA | laparoscopic microwave ablation |
| BMI | body mass index |
| DAA | direct-acting antiviral |
| HCV | hepatitis C Virus |
| HBV | hepatitis B Virus |
| MAFLD | metabolic-associated fatty liver disease |
| ALBI | Albumin-Bilirubin |
| MELD | Model for End-stage Liver Disease |
| BCLC | Barcelona Clinic Liver Cancer |
| CT | computed tomography |
| TACE | transarterial chemoembolization |
| ST | systemic therapy |
| ECOG | Eastern Cooperative Oncology Group |
| OR | odds ratio |
| CI | confidence interval |
| IQR | interquartile range |
| OS | overall survival |
Appendix A
| Ineligibility for liver resection (severe portal hypertension, location, impaired liver function) |
| Unsuitability for percutaneous ablation due to: |
|
References
- Halazun, K.J.; Quillin, R.C.; Rosenblatt, R.; Bongu, A.; Griesemer, A.D.; Kato, T.; Smith, C.; Michelassi, F.; Guarrera, J.V.; Samstein, B.; et al. Expanding the Margins: High Volume Utilization of Marginal Liver Grafts among >2000 Liver Transplants at a Single Institution. Ann. Surg. 2017, 266, 441–449. [Google Scholar] [CrossRef] [PubMed]
- De Carlis, R.; Muiesan, P.; Taner, B. Donation after Circulatory Death: Novel Strategies to Improve the Liver Transplant Outcome. J. Hepatol. 2023, 78, 1169–1180. [Google Scholar] [CrossRef] [PubMed]
- Mazzaferro, V.; Citterio, D.; Bhoori, S.; Bongini, M.; Miceli, R.; De Carlis, L.; Colledan, M.; Salizzoni, M.; Romagnoli, R.; Antonelli, B.; et al. Liver Transplantation in Hepatocellular Carcinoma after Tumour Downstaging (XXL): A Randomised, Controlled, Phase 2b/3 Trial. Lancet Oncol. 2020, 21, 947–956. [Google Scholar] [CrossRef] [PubMed]
- Xu, E.; Tabrizian, P.; Gutierrez, J.; Hoteit, M.; Ghaziani, T.; Zhou, K.; Parikh, N.; Ajmera, V.; Aby, E.; Shui, A.; et al. Downstaging of Hepatocellular Carcinoma before Liver Transplantation: Results from a National Multi-Center Prospective Cohort Study. Hepatology 2025, ahead of print. [Google Scholar] [CrossRef]
- Sapisochin, G.; Barry, A.; Doherty, M.; Fischer, S.; Goldaracena, N.; Rosales, R.; Russo, M.; Beecroft, R.; Ghanekar, A.; Bhat, M.; et al. Stereotactic Body Radiotherapy vs. TACE or RFA as a Bridge to Transplant in Patients with Hepatocellular Carcinoma. An Intention-to-Treat Analysis. J. Hepatol. 2017, 67, 92–99. [Google Scholar] [CrossRef]
- Hagness, M.; Foss, A.; Line, P.D.; Scholz, T.; Jørgensen, P.F.; Fosby, B.; Boberg, K.M.; Mathisen, Ø.; Gladhaug, I.P.; Egge, T.S.; et al. Liver Transplantation for Nonresectable Liver Metastases from Colorectal Cancer. Ann. Surg. 2013, 257, 800–806. [Google Scholar] [CrossRef] [PubMed]
- Meyer, C.G.; Penn, I.; James, L. Liver Transplantation for Cholangiocarcinoma: Results in 207 Patients. Transplantation 2000, 69, 1633–1637. [Google Scholar] [CrossRef] [PubMed]
- Le Treut, Y.P.; Grégoire, E.; Klempnauer, J.; Belghiti, J.; Jouve, E.; Lerut, J.; Castaing, D.; Soubrane, O.; Boillot, O.; Mantion, G.; et al. Liver Transplantation for Neuroendocrine Tumors in Europe—Results and Trends in Patient Selection: A 213-Case European Liver Transplant Registry Study. Ann. Surg. 2013, 257, 807–815. [Google Scholar] [CrossRef]
- Cillo, U.; Vitale, A.; Volk, M.L.; Frigo, A.C.; Grigoletto, F.; Brolese, A.; Zanus, G.; D’Amico, F.; Farinati, F.; Burra, P.; et al. The Survival Benefit of Liver Transplantation in Hepatocellular Carcinoma Patients. Dig. Liver Dis. 2010, 42, 642–649. [Google Scholar] [CrossRef]
- Poon, R.T.P. Optimal Initial Treatment for Early Hepatocellular Carcinoma in Patients with Preserved Liver Function: Transplantation or Resection? Ann. Surg. Oncol. 2007, 14, 541–547. [Google Scholar] [CrossRef]
- Majno, P.E.; Sarasin, F.P.; Mentha, G.; Hadengue, A. Primary Liver Resection and Salvage Transplantation or Primary Liver Transplantation in Patients with Single, Small Hepatocellular Carcinoma and Preserved Liver Function: An Outcome-Oriented Decision Analysis. Hepatology 2000, 31, 899–906. [Google Scholar] [CrossRef] [PubMed]
- de Haas, R.J.; Lim, C.; Bhangui, P.; Salloum, C.; Compagnon, P.; Feray, C.; Calderaro, J.; Luciani, A.; Azoulay, D. Curative Salvage Liver Transplantation in Patients with Cirrhosis and Hepatocellular Carcinoma: An Intention-to-Treat Analysis. Hepatology 2018, 67, 204–215. [Google Scholar] [CrossRef] [PubMed]
- Singal, A.G.; Llovet, J.M.; Yarchoan, M.; Mehta, N.; Heimbach, J.K.; Dawson, L.A.; Jou, J.H.; Kulik, L.M.; Agopian, V.G.; Marrero, J.A.; et al. AASLD Practice Guidance on Prevention, Diagnosis, and Treatment of Hepatocellular Carcinoma. Hepatology 2023, 78, 1922–1965. [Google Scholar] [CrossRef] [PubMed]
- Guerrini, G.P.; Esposito, G.; Olivieri, T.; Magistri, P.; Ballarin, R.; Di Sandro, S.; Di Benedetto, F. Salvage versus Primary Liver Transplantation for Hepatocellular Carcinoma: A Twenty-Year Experience Meta-Analysis. Cancers 2022, 14, 3465. [Google Scholar] [CrossRef]
- Toso, C.; Meeberg, G.; Hernandez-Alejandro, R.; Dufour, J.F.; Marotta, P.; Majno, P.; Kneteman, N.M. Total Tumor Volume and Alpha-Fetoprotein for Selection of Transplant Candidates with Hepatocellular Carcinoma: A Prospective Validation. Hepatology 2015, 62, 158–165. [Google Scholar] [CrossRef] [PubMed]
- N’Kontchou, G.; Aout, M.; Laurent, A.; Nahon, P.; Ganne-Carrié, N.; Grando, V.; Baghad, I.; Roulot, D.; Trinchet, J.C.; Sellier, N.; et al. Survival after Radiofrequency Ablation and Salvage Transplantation in Patients with Hepatocellular Carcinoma and Child-Pugh A Cirrhosis. J. Hepatol. 2012, 56, 160–166. [Google Scholar] [CrossRef]
- Muaddi, H.; Al-Adra, D.P.; Beecroft, R.; Ghanekar, A.; Moulton, C.A.; Doyle, A.; Selzner, M.; Wei, A.; McGilvray, I.D.; Gallinger, S.; et al. Liver Transplantation Is Equally Effective as a Salvage Therapy for Patients with Hepatocellular Carcinoma Recurrence Following Radiofrequency Ablation or Liver Resection with Curative Intent. Ann. Surg. Oncol. 2018, 25, 991–999. [Google Scholar] [CrossRef] [PubMed]
- Liang, P.; Wang, Y.; Yu, X.L.; Dong, B. Malignant Liver Tumors: Treatment with Percutaneous Microwave Ablation—Complications among Cohort of 1136 Patients. Radiology 2009, 251, 933–940. [Google Scholar] [CrossRef]
- Vitale, A.; Farinati, F.; Pawlik, T.M.; Frigo, A.C.; Giannini, E.G.; Napoli, L.; Ciccarese, F.; Rapaccini, G.L.; Di Marco, M.; Caturelli, E.; et al. The Concept of Therapeutic Hierarchy for Patients with Hepatocellular Carcinoma: A Multicenter Cohort Study. Liver Int. 2019, 39, 1478–1489. [Google Scholar] [CrossRef]
- Cillo, U.; Noaro, G.; Vitale, A.; Neri, D.; D’Amico, F.; Gringeri, E.; Farinati, F.; Vincenzi, V.; Vigo, M.; Zanus, G. Laparoscopic Microwave Ablation in Patients with Hepatocellular Carcinoma: A Prospective Cohort Study. HPB 2014, 16, 979–986. [Google Scholar] [CrossRef]
- Cillo, U.; Caregari, S.; Barabino, M.; Billato, I.; Marchini, A.; Furlanetto, A.; Lazzari, S.; Brolese, M.; Ballo, M.; Biasini, E.; et al. Hierarchically Positioning Laparoscopic Microwave Ablation in the Therapeutic Span of Early Hepatocellular Carcinoma: A Real-Life Comparative Analysis. Ann. Surg. Oncol. 2024, 32, 1063–1072. [Google Scholar] [CrossRef] [PubMed]
- Sangro, B.; Argemi, J.; Ronot, M.; Paradis, V.; Meyer, T.; Mazzaferro, V.; Jepsen, P.; Golfieri, R.; Galle, P.; Dawson, L.; et al. EASL Clinical Practice Guidelines on the Management of Hepatocellular Carcinoma. J. Hepatol. 2025, 82, 315–374. [Google Scholar] [CrossRef] [PubMed]
- Azam, F.; Latif, M.F.; Farooq, A.; Tirmazy, S.H.; Alshahrani, S.; Bashir, S.; Bukhari, N. Performance Status Assessment by Using ECOG (Eastern Cooperative Oncology Group) Score for Cancer Patients by Oncology Healthcare Professionals. Case Rep. Oncol. 2019, 12, 728–736. [Google Scholar] [CrossRef]
- Pugh, R.N.H.; Murray-Lyon, I.M.; Dawson, J.L.; Pietroni, M.C.; Williams, R. Transection of the Oesophagus for Bleeding Oesophageal Varices. Br. J. Surg. 1973, 60, 646–649. [Google Scholar] [CrossRef] [PubMed]
- Mazzaferro, V.; Regalia, E.; Doci, R.; Andreola, S.; Pulvirenti, A.; Bozzetti, F.; Montalto, F.; Ammatuna, M.; Morabito, A.; Gennari, L. Liver Transplantation for the Treatment of Small Hepatocellular Carcinomas in Patients with Cirrhosis. N. Engl. J. Med. 1996, 334, 693–700. [Google Scholar] [CrossRef]
- Kamath, P.S.; Kim, W.R. The Model for End-Stage Liver Disease (MELD). Hepatology 2007, 45, 797–805. [Google Scholar] [CrossRef] [PubMed]
- Reig, M.; Forner, A.; Rimola, J.; Ferrer-Fàbrega, J.; Burrel, M.; Garcia-Criado, Á.; Kelley, R.K.; Galle, P.R.; Mazzaferro, V.; Salem, R.; et al. BCLC Strategy for Prognosis Prediction and Treatment Recommendation: The 2022 Update. J. Hepatol. 2022, 76, 681–693. [Google Scholar] [CrossRef] [PubMed]
- Dindo, D.; Demartines, N.; Clavien, P.A. Classification of Surgical Complications: A New Proposal with Evaluation in a Cohort of 6336 Patients and Results of a Survey. Ann. Surg. 2004, 240, 205–213. [Google Scholar] [CrossRef]
- Vitale, A.; Cabibbo, G.; Iavarone, M.; Viganò, L.; Pinato, D.J.; Ponziani, F.R.; Lai, Q.; Casadei-Gardini, A.; Celsa, C.; Galati, G.; et al. Personalised Management of Patients with Hepatocellular Carcinoma: A Multiparametric Therapeutic Hierarchy Concept. Lancet Oncol. 2023, 24, e312–e322. [Google Scholar] [CrossRef]
- Gorgen, A.; Rosales, R.; Sadler, E.; Beecroft, R.; Knox, J.; Dawson, L.A.; Ghanekar, A.; Grant, D.; Greig, P.D.; Sapisochin, G. Patterns and Predictors of Mortality after Waitlist Dropout of Patients with Hepatocellular Carcinoma Awaiting Liver Transplantation. Transplantation 2019, 103, 2136–2143. [Google Scholar] [CrossRef]
- Ministero della Salute. Centro Nazionale Trapianti. Report sulle Attività di Trapianto. 2024. Available online: https://www.trapianti.salute.gov.it/sites/default/files/2025-06/C_17_cntPubblicazioni_640_allegato.pdf (accessed on 1 July 2025).
- Cillo, U.; Burra, P.; Mazzaferro, V.; Belli, L.; Pinna, A.D.; Spada, M.; Costa, A.N.; Toniutto, P. A Multistep, Consensus-Based Approach to Organ Allocation in Liver Transplantation: Toward a “Blended Principle Model”. Am. J. Transpl. 2015, 15, 2552–2561. [Google Scholar] [CrossRef] [PubMed]
- Cherqui, D.; Laurent, A.; Mocellin, N.; Tayar, C.; Luciani, A.; Van Nhieu, J.T.; Decaens, T.; Hurtova, M.; Memeo, R.; Mallat, A.; et al. Liver Resection for Transplantable Hepatocellular Carcinoma: Long-Term Survival and Role of Secondary Liver Transplantation. Ann. Surg. 2009, 250, 738–745. [Google Scholar] [CrossRef] [PubMed]
- Belghiti, J.; Cortes, A.; Abdalla, E.K.; Régimbeau, J.M.; Prakash, K.; Durand, F.; Sommacale, D.; Dondero, F.; Lesurtel, M.; Sauvanet, A.; et al. Resection Prior to Liver Transplantation for Hepatocellular Carcinoma. Ann. Surg. 2003, 238, 885–893. [Google Scholar] [CrossRef] [PubMed]
- Farinati, F.; Vanin, V.; Giacomin, A.; Pozzan, C.; Cillo, U.; Vitale, A.; Di Nolfo, A.M.; Del Poggio, P.; Benvegnu’, L.; Rapaccini, G.; et al. BCLC Stage B Hepatocellular Carcinoma and Transcatheter Arterial Chemoembolization: A 20-Year Survey by the Italian Liver Cancer Group. Liver Int. 2015, 35, 223–231. [Google Scholar] [CrossRef]
- Aliberti, C.; Carandina, R.; Lonardi, S.; Dadduzio, V.; Vitale, A.; Gringeri, E.; Zanus, G.; Cillo, U. Transarterial Chemoembolization with Small Drug-Eluting Beads in Patients with Hepatocellular Carcinoma: Experience from a Cohort of 421 Patients at an Italian Center. J. Vasc. Interv. Radiol. 2017, 28, 1495–1502. [Google Scholar] [CrossRef] [PubMed]
- Serper, M.; Kaplan, D.E.; Serper, M.; Goldberg, D.S.; Kaplan, D.E.; Taddei, T.H.; Mehta, R.; D’Addeo, K.; Dai, F.; Aytaman, A.; et al. Association of Provider Specialty and Multidisciplinary Care with Hepatocellular Carcinoma Treatment and Mortality. Gastroenterology 2017, 152, 1954–1964. [Google Scholar] [CrossRef] [PubMed]
- Lanari, J.; Caregari, S.; Billato, I.; Gringeri, E.; D’Amico, F.; Gemo, G.; Bassi, D.; D’Amico, F.E.; Boetto, R.; Bertacco, A.; et al. Textbook Outcome of Laparoscopic Microwave Ablation for Hepatocellular Carcinoma. Cancers 2023, 15, 436. [Google Scholar] [CrossRef]
- Chan, D.L.; Alzahrani, N.A.; Morris, D.L.; Chua, T.C. Systematic Review of Efficacy and Outcomes of Salvage Liver Transplantation after Primary Hepatic Resection for Hepatocellular Carcinoma. J. Gastroenterol. Hepatol. 2014, 29, 31–41. [Google Scholar] [CrossRef]
- Piñero, F.; Thompson, M.; Boin, I.; Chagas, A.; Quiñonez, E.; Bermúdez, C.; Vilatobá, M.; Santos, L.; Anders, M.; Hoyos Duque, S.; et al. Performance of Pre-Transplant Criteria in Prediction of Hepatocellular Carcinoma Progression and Waitlist Dropout. Liver Int. 2022, 42, 1879–1890. [Google Scholar] [CrossRef]
- Nevola, R.; Ruocco, R.; Criscuolo, L.; Villani, A.; Alfano, M.; Beccia, D.; Imbriani, S.; Claar, E.; Cozzolino, D.; Sasso, F.C.; et al. Predictors of Early and Late Hepatocellular Carcinoma Recurrence. World J. Gastroenterol. 2023, 29, 1243–1260. [Google Scholar] [CrossRef]
- Guo, H.; Wu, T.; Lu, Q.; Dong, J.; Ren, Y.F.; Nan, K.J.; Lv, Y.; Zhang, X.F. Hepatocellular Carcinoma in Elderly: Clinical Characteristics, Treatments and Outcomes Compared with Younger Adults. PLoS ONE 2017, 12, e0184160. [Google Scholar] [CrossRef]
- Yao, L.Q.; Fan, Z.Q.; Wang, M.D.; Diao, Y.K.; Chen, T.H.; Zeng, Y.Y.; Chen, Z.; Wang, X.M.; Zhou, Y.H.; Li, J.; et al. Prognostic Value of Serum A-Fetoprotein Level as an Important Characteristic of Tumor Biology for Patients Undergoing Liver Resection of Early-Stage Hepatocellular Carcinoma (BCLC Stage 0/A): A Large Multicenter Analysis. Ann. Surg. Oncol. 2024, 31, 1219–1231. [Google Scholar] [CrossRef]
- Mehta, N.; Dodge, J.L.; Roberts, J.P.; Hirose, R.; Yao, F.Y. Alpha-Fetoprotein Decrease from >1000 to <500 Ng/ML in Patients with Hepatocellular Carcinoma Leads to Improved Posttransplant Outcomes. Hepatology 2019, 69, 1193–1205. [Google Scholar] [CrossRef]
- Tan, D.J.H.; Lim, W.H.; Yong, J.N.; Ng, C.H.; Muthiah, M.D.; Tan, E.X.; Xiao, J.; Lim, S.Y.; Pin Tang, A.S.; Pan, X.H.; et al. UNOS Down-Staging Criteria for Liver Transplantation of Hepatocellular Carcinoma: Systematic Review and Meta-Analysis of 25 Studies. Clin. Gastroenterol. Hepatol. 2023, 21, 1475–1484. [Google Scholar] [CrossRef] [PubMed]
- Goh, M.J.; Kang, W.; Kim, K.M.; Sinn, D.H.; Gwak, G.Y.; Paik, Y.H.; Choi, M.S.; Lee, J.H.; Koh, K.C.; Paik, S.W. Incidence and Risk Factors for Development of Hepatocellular Carcinoma at Young Age in Patients with Chronic Hepatitis B. Scand. J. Gastroenterol. 2022, 57, 70–77. [Google Scholar] [CrossRef] [PubMed]
- Wang, Z.; Liu, M.; Zhang, D.-z.; Wu, S.-s.; Hong, Z.-x.; He, G.-b.; Yang, H.; Xiang, B.-d.; Li, X.; Jiang, T.-a.; et al. Microwave Ablation versus Laparoscopic Resection as First-Line Therapy for Solitary 3–5-Cm HCC. Hepatology 2022, 76, 66–77. [Google Scholar] [CrossRef]
- Thamtorawat, S.; Hicks, R.M.; Yu, J.; Siripongsakun, S.; Lin, W.C.; Raman, S.S.; McWilliams, J.P.; Douek, M.; Bahrami, S.; Lu, D.S.K. Preliminary Outcome of Microwave Ablation of Hepatocellular Carcinoma: Breaking the 3-Cm Barrier? J. Vasc. Interv. Radiol. 2016, 27, 623–630. [Google Scholar] [CrossRef] [PubMed]
- Lu, X.Y.; Xi, T.; Lau, W.Y.; Dong, H.; Xian, Z.H.; Yu, H.; Zhu, Z.; Shen, F.; Wu, M.C.; Cong, W.M. Pathobiological Features of Small Hepatocellular Carcinoma: Correlation between Tumor Size and Biological Behavior. J. Cancer Res. Clin. Oncol. 2011, 137, 567–575. [Google Scholar] [CrossRef]
- Mehta, N.; Dodge, J.L.; Roberts, J.P.; Yao, F.Y. A Novel Waitlist Dropout Score for Hepatocellular Carcinoma—Identifying a Threshold That Predicts Worse Post-Transplant Survival. J. Hepatol. 2021, 74, 829–837. [Google Scholar] [CrossRef]
- Giannini, E.G.; Aglitti, A.; Borzio, M.; Gambato, M.; Guarino, M.; Iavarone, M.; Lai, Q.; Sandri, G.B.L.; Melandro, F.; Morisco, F.; et al. Overview of Immune Checkpoint Inhibitors Therapy for Hepatocellular Carcinoma, and the ITA.LI.ca Cohort Derived Estimate of Amenability Rate to Immune Checkpoint Inhibitors in Clinical Practice. Cancers 2019, 11, 1689. [Google Scholar] [CrossRef]



| Patients’ Characteristics | TOT (n = 341) |
|---|---|
| Females, n (%) | 57 (16.7) |
| Age, years, median (IQR) | 64 (57; 69) |
| ECOG performance status > 0, n (%) | 45 (13.2) |
| Diabetes, n (%) | 118 (34.6) |
| Cardiopulmonary disease, n (%) | 45 (13.2) |
| CCI, median (IQR) | 4 (3; 5) |
| BMI (Kg/m2), median (IQR) | 27 (25; 29) |
| Liver Cirrhosis, n (%) | 321 (94.1) |
| MASLD | 59 (17.3) |
| HCV | 141 (41.3) |
| HBV | 60 (17.3) |
| ALD | 111 (32.6) |
| Child Pugh Score 6, n (%) | 111 (32.6) |
| Cirrhosis-related complications, n (%) | |
| Oesophageal varices | 134 (39.3) |
| Ascites | 40 (11.7) |
| Hepatic encephalopathy | 13 (3.8) |
| Platelet count <100 × 109/L | 152 (44.6) |
| CRPH (%) | 193 (56.6) |
| MELD Score, median (IQR) | 6 (6; 9) |
| MELD score ≥ 10, n (%) | 52 (15.2) |
| ALBI grade ≥ 2, n (%) | 243 (71.3) |
| Tumour characteristics | |
| Total tumour diameter (mm), median (IQR) | 27 (20; 35) |
| Largest lesion diameter, (mm), median (IQR) | 22 (18; 29) |
| Tumour size class (mm), n (%) | |
| ≤20 | 161 (47.2) |
| 21–30 | 135 (39.6) |
| 31–50 | 45 (13.2) |
| Oligonodular (2 or 3 nodules), n (%) | 108 (31.7) |
| BCLC stage A, n (%) | 239 (70.1) |
| AFP values ng/mL, n (%) | |
| ≤20 | 247 (72.4) |
| 21–100 | 55 (16.1) |
| >100 | 39 (11.5) |
| Variable | Univariable Analysis | Multivariable Analysis | ||||
|---|---|---|---|---|---|---|
| OR | 95% CI | p | OR | 95% CI | p | |
| Age (per 10 years) | 1.52 | 1.11–2.07 | 0.009 | 1.49 | 1.08–2.06 | 0.016 |
| Sex (male) | 0.84 | 0.44–1.59 | 0.587 | – | – | – |
| ECOG PST > 0 vs. 0 | 1.57 | 0.89–2.79 | 0.120 | – | – | – |
| Diabetes | 1.24 | 0.75–2.07 | 0.396 | – | – | – |
| Cardiopulmonary comorbidity | 1.24 | 0.62–2.49 | 0.544 | – | – | – |
| CCI | 1.01 | 0.90–1.14 | 0.857 | – | – | – |
| BMI (per 10 units) | 0.99 | 0.53–1.86 | 0.980 | – | – | – |
| MASLD | 0.63 | 0.31–1.28 | 0.204 | – | – | – |
| HCV infection | 1.41 | 0.86–2.31 | 0.169 | – | – | – |
| HBV infection | 0.40 | 0.18–0.88 | 0.023 | 0.42 | 0.19–0.95 | 0.037 |
| ALD | 1.23 | 0.74–2.06 | 0.424 | – | – | – |
| Child score 6 vs. 5 | 1.41 | 0.85–2.35 | 0.184 | – | – | – |
| Oesophageal varices | 1.40 | 0.85–2.29 | 0.185 | – | – | – |
| Ascites | 0.84 | 0.38–1.85 | 0.674 | – | – | – |
| Hepatic encephalopathy | 1.91 | 0.61–5.99 | 0.270 | – | – | – |
| Platelets <100 × 109/L | 1.26 | 0.77–2.05 | 0.358 | – | – | – |
| CRPH | 1.32 | 0.80–2.17 | 0.277 | – | – | – |
| MELD | 1.09 | 0.99–1.21 | 0.079 | – | – | – |
| MELD ≥ 10 | 1.39 | 0.73–2.66 | 0.318 | – | – | – |
| ALBI grade ≥ 2 | 1.73 | 0.96–3.09 | 0.066 | 1.76 | 0.96–3.21 | 0.065 |
| Total tumour diameter (cm) | 1.21 | 0.99–1.49 | 0.062 | 1.21 | 0.98–1.51 | 0.078 |
| Largest lesion size (cm) | 1.32 | 0.98–1.77 | 0.067 | – | – | – |
| Tumour size class (mm), ≤20 reference | – | – | – | – | – | – |
| 21–30 | 1.76 | 1.03–3.00 | 0.038 | – | – | – |
| 31–50 | 1.64 | 0.77–3.47 | 0.199 | – | – | – |
| Number of nodules | 1.00 | 0.71–1.41 | 0.988 | – | – | – |
| Nodule class (2 vs. 1) | 0.98 | 0.58–1.66 | 0.949 | – | – | – |
| BCLC stage A | 1.33 | 0.77–2.31 | 0.311 | – | – | – |
| AFP ≤ 20 reference | – | – | – | – | – | – |
| 21–100 | 1.60 | 0.84–3.05 | 0.155 | 1.38 | 0.70–2.72 | 0.355 |
| >100 | 2.23 | 1.10–4.55 | 0.027 | 2.14 | 1.03–4.47 | 0.042 |
| Variable | Univariable Analysis | Multivariable Analysis | ||||
|---|---|---|---|---|---|---|
| HR | 95% CI | p | HR | 95% CI | p | |
| Age (per 10 years) | 1.24 | 0.99–1.53 | 0.055 | – | – | – |
| Sex (male) | 1.42 | 0.82–2.44 | 0.190 | 1.59 | 0.91–2.76 | 0.102 |
| ECOG PST > 0 vs. 0 | 1.29 | 0.83–1.99 | 0.264 | – | – | – |
| Diabetes | 1.29 | 0.89–1.88 | 0.181 | – | – | – |
| Cardiopulmonary comorbidity | 1.65 | 1.01–2.67 | 0.044 | 1.75 | 1.07–2.85 | 0.025 |
| CCI | 1.15 | 1.04–1.26 | 0.007 | – | – | – |
| BMI (per 10 units) | 0.87 | 0.54–1.40 | 0.570 | – | – | – |
| MASLD | 1.04 | 0.61–1.77 | 0.881 | – | – | – |
| HCV infection | 1.02 | 0.71–1.46 | 0.929 | – | – | – |
| HBV infection | 0.69 | 0.41–1.15 | 0.135 | – | – | – |
| ALD | 1.20 | 0.81–1.76 | 0.362 | – | – | – |
| Child score 6 vs. 5 | 1.64 | 1.13–2.37 | 0.008 | 1.51 | 1.03–2.21 | 0.036 |
| Oesophageal varices | 1.71 | 1.19–2.45 | 0.004 | 1.54 | 1.05–2.24 | 0.026 |
| Ascites | 1.40 | 0.82–2.37 | 0.231 | – | – | – |
| Hepatic encephalopathy | 2.02 | 0.89–4.60 | 0.096 | – | – | – |
| Platelets <100 × 109/L | 1.50 | 1.05–2.15 | 0.027 | – | – | – |
| CRPH | 1.67 | 1.14–2.43 | 0.007 | – | – | – |
| MELD | 1.09 | 1.02–1.16 | 0.012 | – | – | – |
| MELD ≥ 10 | 1.58 | 1.00–2.50 | 0.049 | – | – | – |
| ALBI grade ≥ 2 | 1.25 | 0.83–1.88 | 0.293 | – | – | – |
| Total tumour diameter (cm) | 1.27 | 0.97–1.31 | 0.112 | – | – | – |
| Largest lesion size (cm) | 1.30 | 1.04–1.61 | 0.023 | 1.39 | 1.10–1.75 | 0.006 |
| Tumour size class (mm), ≤20 reference | – | – | – | – | – | – |
| 21–30 | 1.54 | 1.04–2.27 | 0.030 | – | – | – |
| 31–50 | 1.55 | 0.89–2.70 | 0.117 | – | – | – |
| Number of nodules | 0.92 | 0.71–1.19 | 0.528 | – | – | – |
| Nodule class (2 vs. 1) | 0.88 | 0.60–1.29 | 0.502 | – | – | – |
| BCLC stage A | 1.18 | 0.79–1.77 | 0.408 | – | – | – |
| AFP ≤ 20 reference | – | – | – | – | – | – |
| 21–100 | 1.75 | 1.11–2.75 | 0.016 | 1.52 | 0.96–2.41 | 0.073 |
| >100 | 2.40 | 1.46–3.95 | 0.001 | 2.68 | 1.62–4.44 | <0.001 |
Disclaimer/Publisher’s Note: The statements, opinions and data contained in all publications are solely those of the individual author(s) and contributor(s) and not of MDPI and/or the editor(s). MDPI and/or the editor(s) disclaim responsibility for any injury to people or property resulting from any ideas, methods, instructions or products referred to in the content. |
© 2025 by the authors. Licensee MDPI, Basel, Switzerland. This article is an open access article distributed under the terms and conditions of the Creative Commons Attribution (CC BY) license (https://creativecommons.org/licenses/by/4.0/).
Share and Cite
Vitale, A.; Brolese, M.; Govoni, I.; Naldini, C.; Canitano, N.; Gringeri, E.; D’Amico, F.; Bassi, D.; D’Amico, F.E.; Lanari, J.; et al. Laparoscopic Microwave Ablation and Salvage Liver Transplantation in Patients with Hepatocellular Carcinoma. Cancers 2025, 17, 2248. https://doi.org/10.3390/cancers17132248
Vitale A, Brolese M, Govoni I, Naldini C, Canitano N, Gringeri E, D’Amico F, Bassi D, D’Amico FE, Lanari J, et al. Laparoscopic Microwave Ablation and Salvage Liver Transplantation in Patients with Hepatocellular Carcinoma. Cancers. 2025; 17(13):2248. https://doi.org/10.3390/cancers17132248
Chicago/Turabian StyleVitale, Alessandro, Marco Brolese, Ilaria Govoni, Chiara Naldini, Nicola Canitano, Enrico Gringeri, Francesco D’Amico, Domenico Bassi, Francesco Enrico D’Amico, Jacopo Lanari, and et al. 2025. "Laparoscopic Microwave Ablation and Salvage Liver Transplantation in Patients with Hepatocellular Carcinoma" Cancers 17, no. 13: 2248. https://doi.org/10.3390/cancers17132248
APA StyleVitale, A., Brolese, M., Govoni, I., Naldini, C., Canitano, N., Gringeri, E., D’Amico, F., Bassi, D., D’Amico, F. E., Lanari, J., Furlanetto, A., Padoan, V., Salinas, D., & Cillo, U. (2025). Laparoscopic Microwave Ablation and Salvage Liver Transplantation in Patients with Hepatocellular Carcinoma. Cancers, 17(13), 2248. https://doi.org/10.3390/cancers17132248

