Hyperthermic Intravesical Chemotherapy (HIVEC) Using Epirubicin in an Optimized Setting in Patients with NMIBC Recurrence after Failed BCG Therapy
Abstract
Simple Summary
Abstract
1. Introduction
2. Patients and Methods
2.1. Patients
2.2. Treatment
Schedule
2.3. Outcome Measurements
2.4. Statistical Analysis
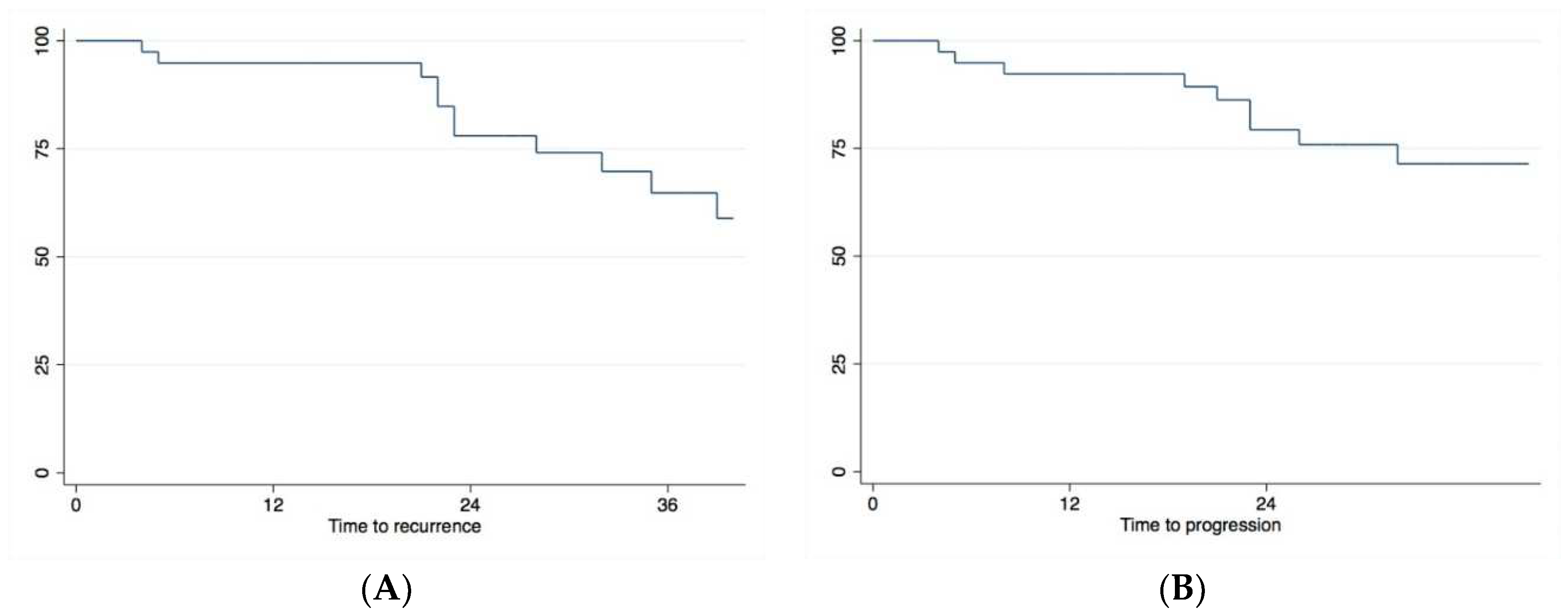
3. Results
4. Discussion
5. Conclusions
Supplementary Materials
Author Contributions
Funding
Institutional Review Board Statement
Informed Consent Statement
Data Availability Statement
Conflicts of Interest
References
- Richters, A.; Aben, K.K.H.; Kiemeney, L.A.L.M. The global burden of urinary bladder cancer: An update. World J. Urol. 2020, 38, 1895–1904. [Google Scholar] [CrossRef] [PubMed]
- Sylvester, R.J.; van der Meijden, A.P.M.; Oosterlinck, W.; Witjes, J.A.; Bouffioux, C.; Denis, L.; Newling, D.W.; Kurth, K. Predicting recurrence and progression in individual patients with stage Ta T1 bladder cancer using EORTC risk tables: A combined analysis of 2596 patients from seven EORTC trials. Eur. Urol. 2006, 49, 465–466. [Google Scholar] [CrossRef] [PubMed]
- Malmström, P.-U.; Sylvester, R.J.; Crawford, D.E.; Friedrich, M.; Krege, S.; Rintala, E.; Solsona, E.; Di Stasi, S.M.; Witjes, J.A. An individual patient data meta-analysis of the long-term outcome of randomised studies comparing intravesical mitomycin C versus bacillus Calmette-Guérin for non-muscle-invasive bladder cancer. Eur. Urol. 2009, 56, 247–256. [Google Scholar] [CrossRef]
- Shelley, M.D.; Wilt, T.J.; Court, J.; Coles, B.; Kynaston, H.; Mason, M.D. Intravesical bacillus Calmette-Guérin is superior to mitomycin C in reducing tumour recurrence in high-risk superficial bladder cancer: A meta-analysis of randomized trials. BJU Int. 2004, 93, 485–490. [Google Scholar] [CrossRef] [PubMed]
- Böhle, A.; Jocham, D.; Bock, P.R. Intravesical bacillus Calmette-Guerin versus mitomycin C for superficial bladder cancer: A formal meta-analysis of comparative studies on recurrence and toxicity. J. Urol. 2003, 169, 90–95. [Google Scholar] [CrossRef] [PubMed]
- Chou, R.; Selph, S.; Buckley, D.I.; Fu, R.; Griffin, J.C.; Grusing, S.; Gore, J.L. Intravesical Therapy for the Treatment of Nonmuscle Invasive Bladder Cancer: A Systematic Review and Meta-Analysis. J. Urol. 2017, 197, 1189–1199. [Google Scholar] [CrossRef] [PubMed]
- Martin, F.M.; Kamat, A.M. Definition and management of patients with bladder cancer who fail BCG therapy. Expert Rev. Anticancer. Ther. 2009, 9, 815–820. [Google Scholar] [CrossRef]
- EAU Guidelines: Non-Muscle-Invasive Bladder Cancer. Available online: https://uroweb.org/guideline/non-muscle-invasive-bladder-cancer/#6 (accessed on 19 December 2023).
- Hurle, R.; Casale, P.; Morenghi, E.; Saita, A.; Buffi, N.; Lughezzani, G.; Colombo, P.; Contieri, R.; Frego, N.; Guazzoni, G.; et al. Intravesical gemcitabine as bladder-preserving treatment for BCG unresponsive non-muscle-invasive bladder cancer. Results from a single-arm, open-label study. BJUI Compass 2020, 1, 126–132. [Google Scholar] [CrossRef] [PubMed]
- Barlow, L.; McKiernan, J.; Sawczuk, I.; Benson, M. A single-institution experience with induction and maintenance intravesical docetaxel in the management of non-muscle-invasive bladder cancer refractory to bacille Calmette-Guérin therapy. BJU Int. 2009, 104, 1098–1102. [Google Scholar] [CrossRef]
- Steinberg, G.; Bahnson, R.; Brosman, S.; Middleton, R.; Wajsman, Z.; Wehle, M. Efficacy and safety of valrubicin for the treatment of Bacillus Calmette-Guerin refractory carcinoma in situ of the bladder. Valrubicin Study Group. J. Urol. 2000, 163, 761–767. [Google Scholar]
- Han, M.A.; Maisch, P.; Jung, J.H.; Hwang, J.E.; Narayan, V.; Cleves, A.; Hwang, E.C.; Dahm, P. Intravesical gemcitabine for non-muscle invasive bladder cancer. Cochrane Database Syst. Rev. 2021, 6, CD009294. [Google Scholar] [PubMed]
- Morales, A.; Herr, H.; Steinberg, G.; Given, R.; Cohen, Z.; Amrhein, J.; Kamat, A.M. Efficacy and safety of MCNA in patients with nonmuscle invasive bladder cancer at high risk for recurrence and progression after failed treatment with bacillus Calmette-Guérin. J. Urol. 2015, 193, 1135–1143. [Google Scholar] [CrossRef]
- Joudi, F.N.; Smith, B.J.; O’Donnell, M.A. National BCG-Interferon Phase 2 Investigator Group. Final results from a national multicenter phase II trial of combination bacillus Calmette-Guérin plus interferon alpha-2B for reducing recurrence of superficial bladder cancer. Urol. Oncol. 2006, 24, 344–348. [Google Scholar] [CrossRef] [PubMed]
- Tan, W.P.; Longo, T.; Inman, B.A. Heated Intravesical Chemotherapy: Biology and Clinical Utility. Urol. Clin. N. Am. 2020, 47, 55–72. [Google Scholar] [CrossRef] [PubMed]
- Vartolomei, M.D.; Ferro, M.; Roth, B.; Teoh, J.Y.; Gontero, P.; Shariat, S.F. Device-assisted intravesical chemotherapy treatment for nonmuscle invasive bladder cancer: 2022 update. Curr. Opin. Urol. 2022, 32, 575–583. [Google Scholar] [CrossRef] [PubMed]
- Kiss, B.; Schneider, S.; Thalmann, G.N.; Roth, B. Is thermochemotherapy with the Synergo system a viable treatment option in patients with recurrent non-muscle-invasive bladder cancer? Int. J. Urol. Off. J. Jpn. Urol. Assoc. 2015, 22, 158–162. [Google Scholar] [CrossRef] [PubMed]
- Soria, F.; Milla, P.; Fiorito, C.; Pisano, F.; Sogni, F.; Di Marco, M.; Pagliarulo, V.; Dosio, F.; Gontero, P. Efficacy and safety of a new device for intravesical thermochemotherapy in non-grade 3 BCG recurrent NMIBC: A phase I-II study. World J. Urol. 2016, 34, 189–195. [Google Scholar] [CrossRef] [PubMed]
- Groos, E.; Walker, L.; Masters, J.R. Intravesical chemotherapy. Studies on the relationship between pH and cytotoxicity. Cancer 1986, 58, 1199–1203. [Google Scholar] [CrossRef] [PubMed]
- Kuroda, M.; Niijima, T.; Kotake, T.; Akaza, H.; Hinotsu, S. Effect of prophylactic treatment with intravesical epirubicin on recurrence of superficial bladder cancer-The 6th Trial of the Japanese Urological Cancer Research Group (JUCRG): A randomized trial of intravesical epirubicin at dose of 20mg/40mL, 30mg/40mL, 40mg/40mL. Eur. Urol. 2004, 45, 600–605. [Google Scholar]
- Raj, G.V.; Herr, H.; Serio, A.M.; Donat, S.M.; Bochner, B.H.; Vickers, A.J.; Dalbagni, G. Treatment paradigm shift may improve survival of patients with high risk superficial bladder cancer. J. Urol. 2007, 177, 1283–1286. [Google Scholar] [CrossRef]
- Kamat, A.M.; Colombel, M.; Sundi, D.; Lamm, D.; Boehle, A.; Brausi, M.; Buckley, R.; Persad, R.; Palou, J.; Soloway, M.; et al. BCG-unresponsive non–muscle-invasive bladder cancer: Recommendations from the IBCG. Nat. Rev. Urol. 2017, 14, 244–255. [Google Scholar] [CrossRef] [PubMed]
- Jarow, J.P.; Lerner, S.P.; Kluetz, P.G.; Liu, K.; Sridhara, R.; Bajorin, D.; Chang, S.; Dinney, C.P.; Groshen, S.; Morton, R.A.; et al. Clinical trial design for the development of new therapies for nonmuscle-invasive bladder cancer: Report of a Food and Drug Administration and American Urological Association public workshop. Urology 2014, 83, 262–264. [Google Scholar] [CrossRef] [PubMed]
- Wettstein, M.; Naimark, D.; Hermanns, T.; Herrera-Caceres, J.O.; Ahmad, A.; Jewett, M.A.; Kulkarni, G.S. Required efficacy for novel therapies in BCG-unresponsive non-muscle invasive bladder cancer: Do current recommendations really reflect clinically meaningful outcomes? Cancer Med. 2020, 9, 3287–3296. [Google Scholar] [CrossRef]
- Khan, M.S.; Gan, C.; Ahmed, K.; Ismail, A.F.; Watkins, J.; Summers, J.A.; Peacock, J.L.; Rimington, P.; Dasgupta, P. A single-centre early phase randomised controlled three-arm trial of open, Robotic, and Laparoscopic Radical Cystectomy (CORAL). Eur. Urol. 2016, 69, 613–621. [Google Scholar] [CrossRef] [PubMed]
- Soloway, M.S.; Hepps, D.; Katkoori, D.; Ayyathurai, R.; Manoharan, M. Radical cystectomy for BCG failure: Has the timing improved in recent years? BJU Int. 2011, 108, 182–185. [Google Scholar] [CrossRef] [PubMed]
- Giannarini, G.; Birkhäuser, F.D.; Recker, F.; Thalmann, G.N.; Studer, U.E. Bacillus Calmette-Guérin failure in patients with non-muscle-invasive urothelial carcinoma of the bladder may be due to the urologist’s failure to detect urothelial carcinoma of the upper urinary tract and urethra. Eur. Urol. 2014, 65, 825–831. [Google Scholar] [CrossRef] [PubMed]
- Gakis, G.; Black, P.C.; Bochner, B.H.; Boorjian, S.A.; Stenzl, A.; Thalmann, G.N.; Kassouf, W. Systematic review on the fate of the remnant urothelium after radical cystectomy. Eur. Urol. 2017, 71, 545–557. [Google Scholar] [CrossRef]
- Shen, S.S.; Lerner, S.P.; Muezzinoglu, B.; Truong, L.D.; Amiel, G.; Wheeler, T.M. Prostatic involvement by transitional cell carcinoma in patients with bladder cancer and its prognostic significance. Hum. Pathol. 2006, 37, 726–734. [Google Scholar] [CrossRef]
- Van den Bosch, S.; Witjes, J.A. Long-term cancer-specific survival in patients with high-risk, nonmuscle-invasive bladder cancer and tumour progression: A systematic review. Eur. Urol. 2011, 60, 493–500. [Google Scholar] [CrossRef]

| Variable | |
|---|---|
| Number of patients included | 39 |
| Follow-up—median (IQR) | 28 (20–39) |
| Age—median; years (IQR) | 70 (64–77) |
| Months after BCG treatment—median (IQR) | 12 (6–28) |
| Median number of recurrences before HIVEC—n (range) | 2 (1–7) |
| Gender—n (%) | |
| Female | 6 (15) |
| Male | 33 (85) |
| Tumor stage at HIVEC (stage of recurrence after previous BCG therapy—n (%) | |
| pTa high grade | 13 (33) |
| pT1 | 13 (33) |
| pTis only | 13 (33) |
| Highest tumor stage at any time before HIVEC—n (%) | |
| pTa high grade | 13 (33) |
| pT1 | 24 (62) |
| pTis only | 2 (5) |
| BCG failure—n (%) | |
| BCG refractory | 13 (33) |
| BCG relapsing | 22 (57) |
| BCG unresponsive | 4 (10) |
| EORTC recurrence score category—n (%) | |
| 1 (score 1–4) | 2 (5) |
| 2 (score 5–9) | 28 (72) |
| 3 (score 10–17) | 9 (23) |
| EORTC progression score category—n (%) | |
| 1 (score 2–6) | 1 (2) |
| 2 (score 7–13) | 17 (44) |
| 3 (score 14–23) | 21 (54) |
| EAU risk category [8]—n (%) | |
| High | 13 (33) |
| Very high | 26 (67) |
| Variable | Univariate | Multivariate | ||||
|---|---|---|---|---|---|---|
| HR | 95% CI | p | HR | 95% CI | p | |
| Age | 0.98 | 0.93–1.04 | 0.54 | |||
| Gender | 2.77 | 0.31–24.88 | 0.31 | |||
| BCG unresponsive (yes/no) | 3.51 | 0.76–16.31 | 0.11 | |||
| Number of HIVEC instillations | 0.61 | 0.26–1.46 | 0.27 | |||
| Tumor stage | 1.90 | 0.89–4.06 | 0.10 | |||
| CIS at any time before HIVEC | 1.10 | 0.24–5.09 | 0.91 | |||
| CIS at HIVEC | 8.45 | 1.03–69.30 | 0.047 | 2.52 | 0.11–57.36 | 0.56 |
| Number of recurrences before HIVEC | 0.74 | 0.46–1.19 | 0.21 | |||
| Months after BCG instillation | 0.93 | 0.87–1.01 | 0.07 | |||
| EORTC recurrence score | 4.83 | 1.15–20.30 | 0.031 | 2.85 | 0.34–23.53 | 0.33 |
| EAU risk category (high/highest) | 0.57 | 0.17–1.95 | 0.38 | |||
| Extravesical disease | 1.38 | 0.46–4.14 | 0.56 | |||
| Variable | Univariate | ||
|---|---|---|---|
| HR | 95% CI | p | |
| Age | 1.05 | 0.98–1.12 | 0.15 |
| Gender | 1.69 | 0.19–15.25 | 0.64 |
| BCG unresponsive (yes/no) | 3.98 | 0.55–28.72 | 0.17 |
| Number of HIVEC instillations | 0.71 | 0.40–1.28 | 0.26 |
| Tumor stage | 0.72 | 0.33–1.61 | 0.43 |
| CIS at any time before HIVEC | 1.03 | 0.48–2.22 | 0.93 |
| CIS at HIVEC | 1.64 | 0.40–6.75 | 0.50 |
| Number of recurrences before HIVEC | 0.75 | 0.49–1.15 | 0.19 |
| Months after BCG instillation | 0.97 | 0.93–1.01 | 0.18 |
| EORTC progression score | 1.27 | 0.94–1.72 | 0.11 |
| EAU risk category (high/highest) | 2.57 | 0.54–12.16 | 0.23 |
| Extravesical disease | 1.70 | 0.49–5.93 | 0.40 |
Disclaimer/Publisher’s Note: The statements, opinions and data contained in all publications are solely those of the individual author(s) and contributor(s) and not of MDPI and/or the editor(s). MDPI and/or the editor(s) disclaim responsibility for any injury to people or property resulting from any ideas, methods, instructions or products referred to in the content. |
© 2024 by the authors. Licensee MDPI, Basel, Switzerland. This article is an open access article distributed under the terms and conditions of the Creative Commons Attribution (CC BY) license (https://creativecommons.org/licenses/by/4.0/).
Share and Cite
Blanc, J.; Ruggiero, J.; Lucca, I.; Arnold, N.; Kiss, B.; Roth, B. Hyperthermic Intravesical Chemotherapy (HIVEC) Using Epirubicin in an Optimized Setting in Patients with NMIBC Recurrence after Failed BCG Therapy. Cancers 2024, 16, 1398. https://doi.org/10.3390/cancers16071398
Blanc J, Ruggiero J, Lucca I, Arnold N, Kiss B, Roth B. Hyperthermic Intravesical Chemotherapy (HIVEC) Using Epirubicin in an Optimized Setting in Patients with NMIBC Recurrence after Failed BCG Therapy. Cancers. 2024; 16(7):1398. https://doi.org/10.3390/cancers16071398
Chicago/Turabian StyleBlanc, Julien, Jonathan Ruggiero, Ilaria Lucca, Nicolas Arnold, Bernhard Kiss, and Beat Roth. 2024. "Hyperthermic Intravesical Chemotherapy (HIVEC) Using Epirubicin in an Optimized Setting in Patients with NMIBC Recurrence after Failed BCG Therapy" Cancers 16, no. 7: 1398. https://doi.org/10.3390/cancers16071398
APA StyleBlanc, J., Ruggiero, J., Lucca, I., Arnold, N., Kiss, B., & Roth, B. (2024). Hyperthermic Intravesical Chemotherapy (HIVEC) Using Epirubicin in an Optimized Setting in Patients with NMIBC Recurrence after Failed BCG Therapy. Cancers, 16(7), 1398. https://doi.org/10.3390/cancers16071398

