Cachexia-Affected Survival Based on Inflammatory Parameters Compared to Complex Conventional Nutritional Assessments in Patients with Pancreatic Cancer and Other Gastrointestinal Tumors—The CONKO 020 Investigation
Abstract
Simple Summary
Abstract
1. Introduction
2. Materials and Methods
2.1. Study Cohort
2.2. Data Collection and Study Definitions
2.3. Statistical Analysis
3. Results
3.1. Clinical and Demographic Data in PDAC Patients Compared to Patients with oAC
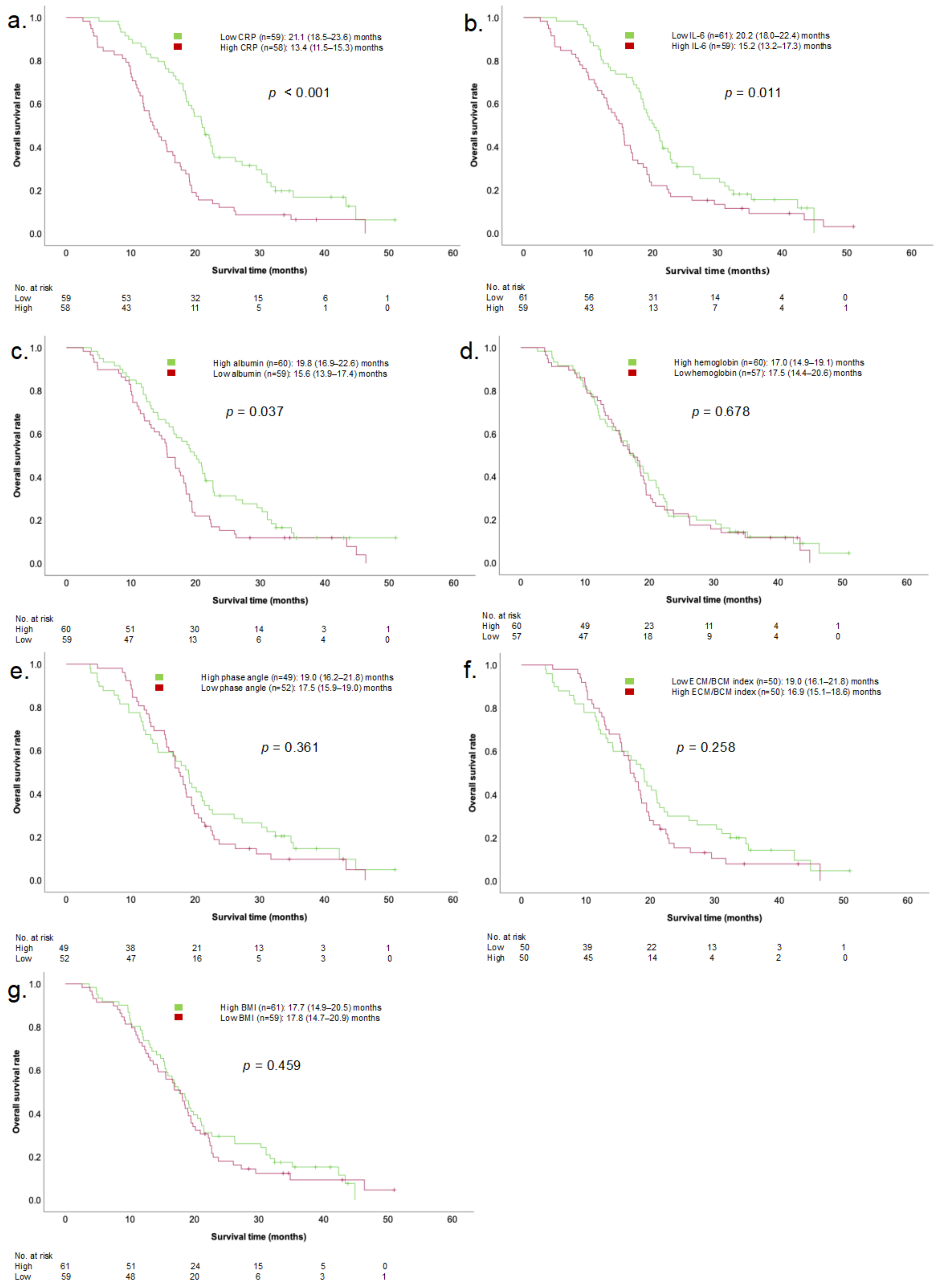
3.2. Effects of Parameters on Survival at the Time of Diagnosis
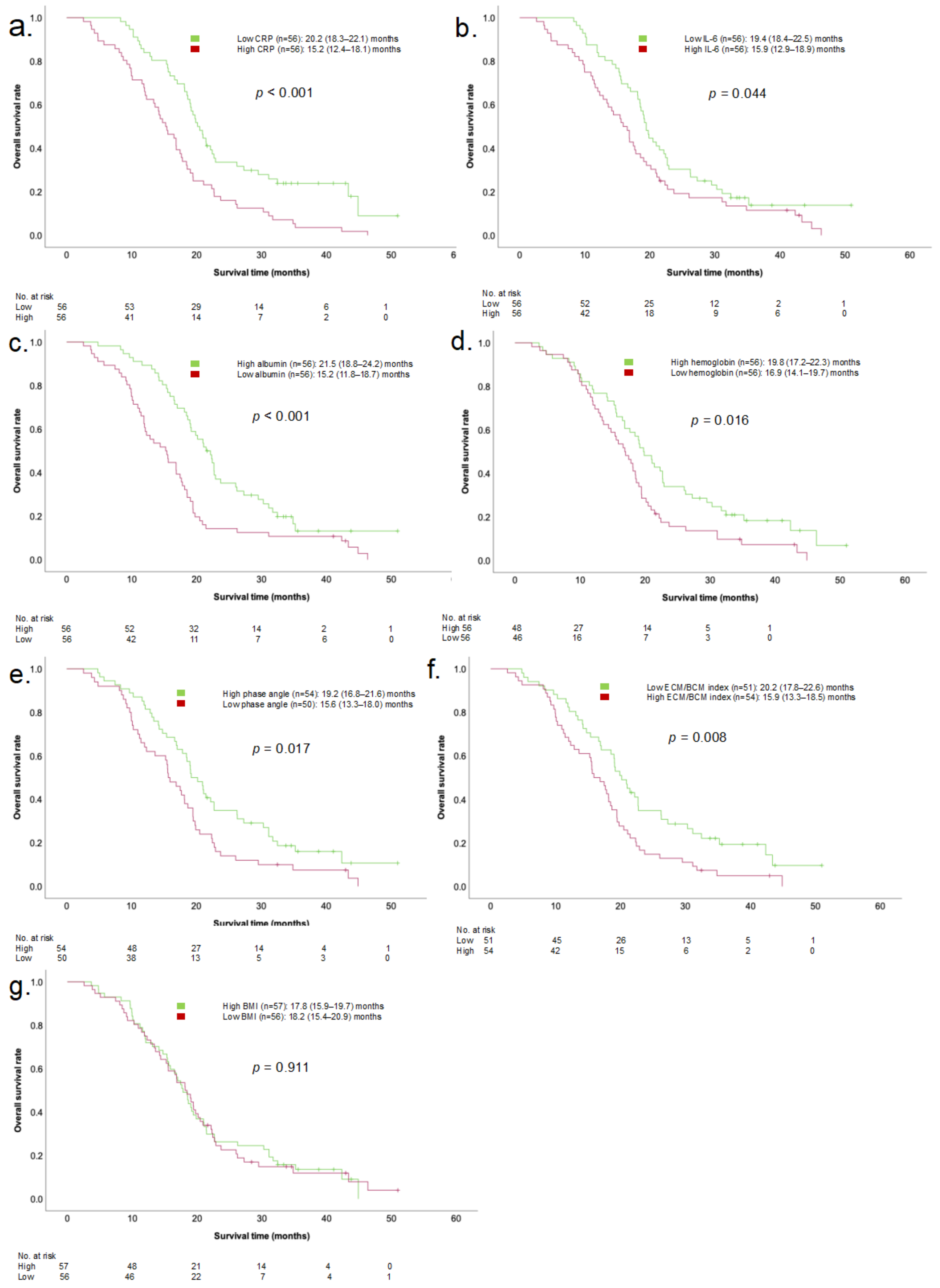
3.3. Effects of Parameters on Survival over the Course of the Disease
4. Discussion
5. Conclusions
Author Contributions
Funding
Institutional Review Board Statement
Informed Consent Statement
Data Availability Statement
Conflicts of Interest
References
- Quante, A.S.; Ming, C.; Rottmann, M.; Engel, J.; Boeck, S.; Heinemann, V.; Westphalen, C.B.; Strauch, K. Projections of cancer incidence and cancer-related deaths in Germany by 2020 and 2030. Cancer Med. 2016, 5, 2649–2656. [Google Scholar] [CrossRef]
- Rahib, L.; Smith, B.D.; Aizenberg, R.; Rosenzweig, A.B.; Fleshman, J.M.; Matrisian, L.M. Projecting cancer incidence and deaths to 2030: The unexpected burden of thyroid, liver, and pancreas cancers in the United States. Cancer Res. 2014, 74, 2913–2921. [Google Scholar] [CrossRef] [PubMed]
- Gesellschaft der Epidemiologischen Krebsregister in Deutschland e. V. (GEKID). Krebs in Deutschland Bauchspeicheldrüse. Available online: https://www.krebsdaten.de/Krebs/DE/Content/Publikationen/Krebs_in_Deutschland/kid_2021/kid_2021_c25_bauchspeicheldruese.pdf;jsessionid=6E98B79EEAAF3D5D93433AB6ED003D2B.internet051?__blob=publicationFile (accessed on 15 January 2024).
- Nemer, L.; Krishna, S.G.; Shah, Z.K.; Conwell, D.L.; Cruz-Monserrate, Z.; Dillhoff, M.; Guttridge, D.C.; Hinton, A.; Manilchuk, A.; Pawlik, T.M.; et al. Predictors of Pancreatic Cancer-Associated Weight Loss and Nutritional Interventions. Pancreas 2017, 46, 1152–1157. [Google Scholar] [CrossRef] [PubMed]
- Pelzer, U.; Arnold, D.; Gövercin, M.; Stieler, J.; Doerken, B.; Riess, H.; Oettle, H. Parenteral nutrition support for patients with pancreatic cancer. Results of a phase II study. BMC Cancer 2010, 10, 86. [Google Scholar] [CrossRef] [PubMed]
- Hendifar, A.E.; Petzel, M.Q.B.; Zimmers, T.A.; Denlinger, C.S.; Matrisian, L.M.; Picozzi, V.J.; Rahib, L. Pancreas Cancer-Associated Weight Loss. Oncologist 2019, 24, 691–701. [Google Scholar] [CrossRef] [PubMed]
- Falconer, J.S.; Fearon, K.C.; Ross, J.A.; Elton, R.; Wigmore, S.J.; Garden, O.J.; Carter, D.C. Acute-phase protein response and survival duration of patients with pancreatic cancer. Cancer 1995, 75, 2077–2082. [Google Scholar] [CrossRef] [PubMed]
- Tan, B.H.; Fearon, K.C. Cachexia: Prevalence and impact in medicine. Curr. Opin. Clin. Nutr. Metab. Care 2008, 11, 400–407. [Google Scholar] [CrossRef] [PubMed]
- Yoon, S.L.; Kim, J.A.; Kelly, D.L.; Lyon, D.; George, T.J., Jr. Predicting unintentional weight loss in patients with gastrointestinal cancer. J. Cachexia Sarcopenia Muscle 2019, 10, 526–535. [Google Scholar] [CrossRef]
- Arends, J. Struggling with nutrition in patients with advanced cancer: Nutrition and nourishment-focusing on metabolism and supportive care. Ann. Oncol. 2018, 29 (Suppl. S2), ii27–ii34. [Google Scholar] [CrossRef]
- Bye, A.; Jordhøy, M.S.; Skjegstad, G.; Ledsaak, O.; Iversen, P.O.; Hjermstad, M.J. Symptoms in advanced pancreatic cancer are of importance for energy intake. Support. Care Cancer 2013, 21, 219–227. [Google Scholar] [CrossRef]
- Wigmore, S.J.; Plester, C.E.; Richardson, R.A.; Fearon, K.C. Changes in nutritional status associated with unresectable pancreatic cancer. Br. J. Cancer 1997, 75, 106–109. [Google Scholar] [CrossRef] [PubMed]
- Argilés, J.M.; Busquets, S.; Stemmler, B.; López-Soriano, F.J. Cancer cachexia: Understanding the molecular basis. Nat. Rev. Cancer 2014, 14, 754–762. [Google Scholar] [CrossRef] [PubMed]
- Fonseca, G.; Farkas, J.; Dora, E.; von Haehling, S.; Lainscak, M. Cancer Cachexia and Related Metabolic Dysfunction. Int. J. Mol. Sci. 2020, 21, 2321. [Google Scholar] [CrossRef] [PubMed]
- Tisdale, M.J. Cachexia in cancer patients. Nat. Rev. Cancer 2002, 2, 862–871. [Google Scholar] [CrossRef] [PubMed]
- Padoan, A.; Plebani, M.; Basso, D. Inflammation and Pancreatic Cancer: Focus on Metabolism, Cytokines, and Immunity. Int. J. Mol. Sci. 2019, 20, 676. [Google Scholar] [CrossRef]
- Glass, D.J. Signaling pathways perturbing muscle mass. Curr. Opin. Clin. Nutr. Metab. Care 2010, 13, 225–229. [Google Scholar] [CrossRef]
- Fearon, K.C.; Glass, D.J.; Guttridge, D.C. Cancer cachexia: Mediators, signaling, and metabolic pathways. Cell Metab. 2012, 16, 153–166. [Google Scholar] [CrossRef]
- Petruzzelli, M.; Wagner, E.F. Mechanisms of metabolic dysfunction in cancer-associated cachexia. Genes Dev. 2016, 30, 489–501. [Google Scholar] [CrossRef]
- Di Vincenzo, O.; Marra, M.; Di Gregorio, A.; Pasanisi, F.; Scalfi, L. Bioelectrical impedance analysis (BIA)—Derived phase angle in sarcopenia: A systematic review. Clin. Nutr. 2021, 40, 3052–3061. [Google Scholar] [CrossRef]
- Zarowitz, B.J.; Pilla, A.M. Bioelectrical impedance in clinical practice. DICP 1989, 23, 548–555. [Google Scholar] [CrossRef]
- Barton, B.E. IL-6-like cytokines and cancer cachexia: Consequences of chronic inflammation. Immunol. Res. 2001, 23, 41–58. [Google Scholar] [CrossRef]
- Fearon, K.; Arends, J.; Baracos, V. Understanding the mechanisms and treatment options in cancer cachexia. Nat. Rev. Clin. Oncol. 2013, 10, 90–99. [Google Scholar] [CrossRef]
- Fearon, K.C.; Voss, A.C.; Hustead, D.S. Definition of cancer cachexia: Effect of weight loss, reduced food intake, and systemic inflammation on functional status and prognosis. Am. J. Clin. Nutr. 2006, 83, 1345–1350. [Google Scholar] [CrossRef] [PubMed]
- Markus, M.; Abendroth, A.; Noureddine, R.; Paul, A.; Breitenbuecher, S.; Virchow, I.; Schmid, K.W.; Markus, P.; Schumacher, B.; Wiesweg, M.; et al. Combined systemic inflammation score (SIS) correlates with prognosis in patients with advanced pancreatic cancer receiving palliative chemotherapy. J. Cancer Res. Clin. Oncol. 2021, 147, 579–591. [Google Scholar] [CrossRef] [PubMed]
- Moses, A.G.; Maingay, J.; Sangster, K.; Fearon, K.C.; Ross, J.A. Pro-inflammatory cytokine release by peripheral blood mononuclear cells from patients with advanced pancreatic cancer: Relationship to acute phase response and survival. Oncol. Rep. 2009, 21, 1091–1095. [Google Scholar] [PubMed]
- McMillan, D.C. The systemic inflammation-based Glasgow Prognostic Score: A decade of experience in patients with cancer. Cancer Treat. Rev. 2013, 39, 534–540. [Google Scholar] [CrossRef] [PubMed]
- Wu, D.; Wang, X.; Shi, G.; Sun, H.; Ge, G. Prognostic and clinical significance of modified glasgow prognostic score in pancreatic cancer: A meta-analysis of 4629 patients. Aging 2021, 13, 1410–1421. [Google Scholar] [CrossRef] [PubMed]
- Shimada, A.; Matsuda, T.; Sawada, R.; Hasegawa, H.; Yamashita, K.; Harada, H.; Urakawa, N.; Goto, H.; Kanaji, S.; Oshikiri, T.; et al. The modified Glasgow prognostic score is a reliable predictor of oncological outcomes in patients with rectal cancer undergoing neoadjuvant chemoradiotherapy. Sci. Rep. 2023, 13, 17111. [Google Scholar] [CrossRef] [PubMed]
- Yeh, K.Y.; Li, Y.Y.; Hsieh, L.L.; Lu, C.H.; Chou, W.C.; Liaw, C.C.; Tang, R.P.; Liao, S.K. Analysis of the effect of serum interleukin-6 (IL-6) and soluble IL-6 receptor levels on survival of patients with colorectal cancer. Jpn. J. Clin. Oncol. 2010, 40, 580–587. [Google Scholar] [CrossRef] [PubMed]
- Ebrahimi, B.; Tucker, S.L.; Li, D.; Abbruzzese, J.L.; Kurzrock, R. Cytokines in pancreatic carcinoma: Correlation with phenotypic characteristics and prognosis. Cancer 2004, 101, 2727–2736. [Google Scholar] [CrossRef]
- Kuroda, K.; Nakashima, J.; Kanao, K.; Kikuchi, E.; Miyajima, A.; Horiguchi, Y.; Nakagawa, K.; Oya, M.; Ohigashi, T.; Murai, M. Interleukin 6 is associated with cachexia in patients with prostate cancer. Urology 2007, 69, 113–117. [Google Scholar] [CrossRef] [PubMed]
- Wigmore, S.J.; Fearon, K.C.; Sangster, K.; Maingay, J.P.; Garden, O.J.; Ross, J.A. Cytokine regulation of constitutive production of interleukin-8 and -6 by human pancreatic cancer cell lines and serum cytokine concentrations in patients with pancreatic cancer. Int. J. Oncol. 2002, 21, 881–886. [Google Scholar] [CrossRef] [PubMed]
- Zhang, X.W.; Zhang, Q.; Song, M.M.; Zhang, K.P.; Zhang, X.; Ruan, G.T.; Yang, M.; Ge, Y.Z.; Tang, M.; Li, X.R.; et al. The prognostic effect of hemoglobin on patients with cancer cachexia: A multicenter retrospective cohort study. Support. Care Cancer 2022, 30, 875–885. [Google Scholar] [CrossRef] [PubMed]
- Gupta, D.; Lis, C.G.; Dahlk, S.L.; Vashi, P.G.; Grutsch, J.F.; Lammersfeld, C.A. Bioelectrical impedance phase angle as a prognostic indicator in advanced pancreatic cancer. Br. J. Nutr. 2004, 92, 957–962. [Google Scholar] [CrossRef]
- Gupta, D.; Lammersfeld, C.A.; Burrows, J.L.; Dahlk, S.L.; Vashi, P.G.; Grutsch, J.F.; Hoffman, S.; Lis, C.G. Bioelectrical impedance phase angle in clinical practice: Implications for prognosis in advanced colorectal cancer. Am. J. Clin. Nutr. 2004, 80, 1634–1638. [Google Scholar] [CrossRef]


| Characteristics | PDAC | oAC | ||
|---|---|---|---|---|
| Male sex | ||||
| n (%) | 68 (56.7) | 34 (54.8%) | ||
| Age (years) | ||||
| Median (IQR) | 63.9 (55.2–71.7) | 63.0 (54.8–70.2) | ||
| OS | 20.1 (10.3–35.8) | |||
| Median (IQR) | 17.8 (11.9–22.9) | |||
| Deceased | ||||
| n (%) | 107 (89.2) | 54 (87.1) | ||
| Parameter | Baseline | Follow-up | Baseline | Follow-up |
| CRP (mg/L) | ||||
| Median (IQR) | 4.3 (1.7–15.6) | 12.9 (6.6–29.4) | 8.8 (4.5–20.9) | 15.5 (7.8–34.5) |
| Missing | 3 | 8 | 4 | 8 |
| IL-6 (pg/mL) | ||||
| Median (IQR) | 7.6 (4.3–12.0) | 14.8 (8.9–25.5) | 9.6 (5.6–20.4) | 15.3 (8.6–24.1) |
| Missing | 8 | 1 | 7 | |
| Albumin (g/dL) | ||||
| Median (IQR) | 38.3 (35.2–40.9) | 36.7 (24.2–38.9) | 37.9 (34.0–40.2) | 37.3 (33.9–39.8) |
| Missing | 1 | 8 | 6 | 7 |
| Hemoglobin (g/dL) | ||||
| Median (IQR) | 11.5 (10.5–12.6) | 10.8 (10.0–11.8) | 11.6 (10.6–12.3) | 10.8 (9.8–11.7) |
| Missing | 3 | 8 | 0 | 6 |
| Phase angle (°) | ||||
| Median (IQR) | 4.4 (3.7–5.0) | 4.0 (3.7–4.5) | 4.7 (4.0–5.3) | 4.6 (4.0–5.0) |
| Missing | 19 | 16 | 8 | 10 |
| ECM/BCM index | ||||
| Median (IQR) | 1.3 (1.1–1.7) | 1.5 (1.3–1.7) | 1.2 (1.1–1.5) | 1.3 (1.1–1.5) |
| Missing | 20 | 15 | 9 | 11 |
| BMI (kg/m2) | ||||
| Median (IQR) | 22.9 (19.7–25.1) | 22.5 (20.0–24.7) | 22.8 (20.6–25.5) | 22.8 (20.9–25.8) |
| Missing | 7 | 7 | ||
| Parameter | Univariate Analysis | Multivariate Analysis | ||||
|---|---|---|---|---|---|---|
| HR | 95% CI | p | HR | 95% CI | p | |
| CRP > 4.3 mg/L | 2.17 | 1.47–3.22 | <0.001 | 1.91 | 1.25–2.92 | 0.003 |
| IL-6 > 7.6 pg/mL | 1.63 | 1.12–2.41 | 0.012 | 1.21 | 0.77–1.89 | 0.409 |
| Albumin < 38.3 g/dL | 1.50 | 1.02–2.21 | 0.039 | 1.015 | 0.74–1.77 | 0.539 |
| Hemoglobin < 11.5 g/dL | 1.08 | 0.74–1.59 | 0.679 | |||
| Phase angle < 4.4° | 1.21 | 0.80–1.84 | 0.361 | |||
| ECM/BCM-Index > 1.3 | 1.27 | 0.84–1.94 | 0.259 | |||
| BMI < 22.9 kg/m2 | 1.16 | 0.79–1.70 | 0.460 | |||
| Parameter | Univariate Analysis | Multivariate Analysis | ||||
|---|---|---|---|---|---|---|
| HR | 95% CI | p | HR | 95% CI | p | |
| CRP > 12.9 mg/L | 2.08 | 1.40–3.10 | <0.001 | 2.21 | 1.38–3.55 | <0.001 |
| IL-6 > 14.8 pg/mL | 1.50 | 1.01–2.22 | 0.046 | 0.71 | 0.43–1.16 | 0.170 |
| Albumin < 36.7 g/dL | 2.00 | 1.33–2.97 | <0.001 | 1.71 | 1.05–2.77 | 0.030 |
| Hemoglobin < 11.5 g/dL | 1.63 | 1.09–2.43 | 0.017 | 1.21 | 0.76–1.93 | 0.429 |
| Phase angle < 4.0° | 1.64 | 1.09–2.47 | 0.018 | 1.41 | 0.75–2.64 | 0.283 |
| ECM/BCM Index > 1.5 | 1.74 | 1.15–2.62 | 0.008 | 1.12 | 0.59–2.12 | 0.731 |
| BMI < 22.5 kg/m2 | 1.02 | 0.69–1.51 | 0.911 | |||
Disclaimer/Publisher’s Note: The statements, opinions and data contained in all publications are solely those of the individual author(s) and contributor(s) and not of MDPI and/or the editor(s). MDPI and/or the editor(s) disclaim responsibility for any injury to people or property resulting from any ideas, methods, instructions or products referred to in the content. |
© 2024 by the authors. Licensee MDPI, Basel, Switzerland. This article is an open access article distributed under the terms and conditions of the Creative Commons Attribution (CC BY) license (https://creativecommons.org/licenses/by/4.0/).
Share and Cite
Meyer-Knees, J.W.; Falkenthal, J.; Geisel, D.; Neumann, C.C.M.; Hilfenhaus, G.; Stephan, L.U.; Schöning, W.; Malinka, T.; Pratschke, J.; Stintzing, S.; et al. Cachexia-Affected Survival Based on Inflammatory Parameters Compared to Complex Conventional Nutritional Assessments in Patients with Pancreatic Cancer and Other Gastrointestinal Tumors—The CONKO 020 Investigation. Cancers 2024, 16, 1194. https://doi.org/10.3390/cancers16061194
Meyer-Knees JW, Falkenthal J, Geisel D, Neumann CCM, Hilfenhaus G, Stephan LU, Schöning W, Malinka T, Pratschke J, Stintzing S, et al. Cachexia-Affected Survival Based on Inflammatory Parameters Compared to Complex Conventional Nutritional Assessments in Patients with Pancreatic Cancer and Other Gastrointestinal Tumors—The CONKO 020 Investigation. Cancers. 2024; 16(6):1194. https://doi.org/10.3390/cancers16061194
Chicago/Turabian StyleMeyer-Knees, Johanna W., Janina Falkenthal, Dominik Geisel, Christopher C. M. Neumann, Georg Hilfenhaus, Lars U. Stephan, Wenzel Schöning, Thomas Malinka, Johann Pratschke, Sebastian Stintzing, and et al. 2024. "Cachexia-Affected Survival Based on Inflammatory Parameters Compared to Complex Conventional Nutritional Assessments in Patients with Pancreatic Cancer and Other Gastrointestinal Tumors—The CONKO 020 Investigation" Cancers 16, no. 6: 1194. https://doi.org/10.3390/cancers16061194
APA StyleMeyer-Knees, J. W., Falkenthal, J., Geisel, D., Neumann, C. C. M., Hilfenhaus, G., Stephan, L. U., Schöning, W., Malinka, T., Pratschke, J., Stintzing, S., & Pelzer, U. (2024). Cachexia-Affected Survival Based on Inflammatory Parameters Compared to Complex Conventional Nutritional Assessments in Patients with Pancreatic Cancer and Other Gastrointestinal Tumors—The CONKO 020 Investigation. Cancers, 16(6), 1194. https://doi.org/10.3390/cancers16061194

