Local Endoscopic Treatment of Low-Grade Urothelial Tumors in the Upper Urinary Tract—Oncological Outcome of a Consecutive Single-Center Series of 118 Patients
Simple Summary
Abstract
1. Introduction
2. Methods
2.1. Patient Recruitment
2.2. Diagnosis and Treatment Plan
2.3. Statistical Analysis and Outcomes
2.4. Ethical Approvement
3. Results
3.1. Patient Characteristics
3.2. Local Recurrence
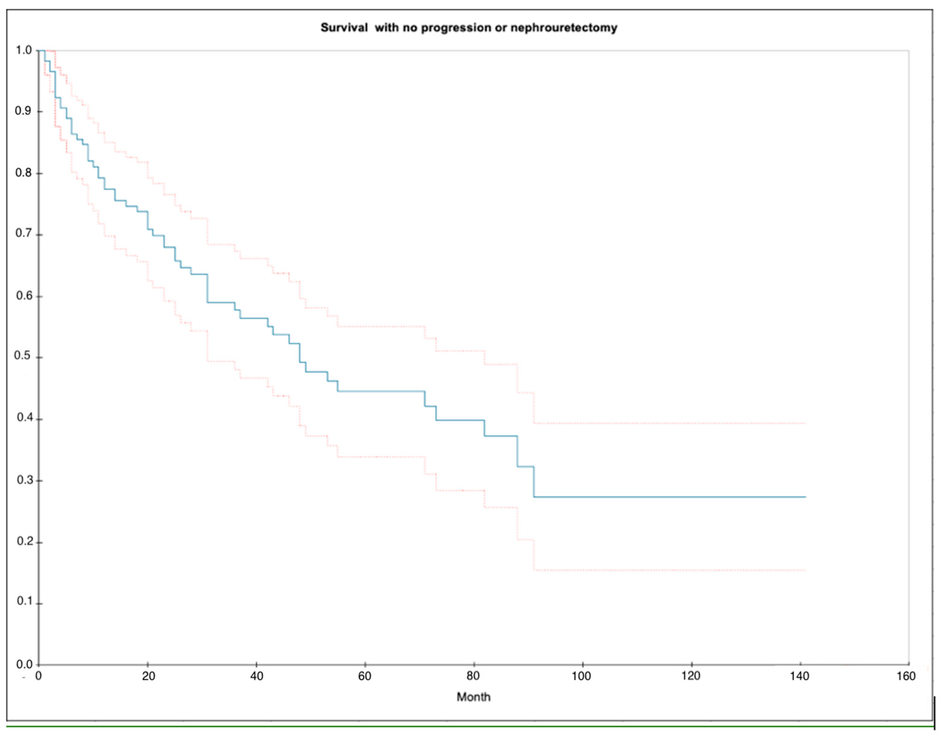
3.3. Progression
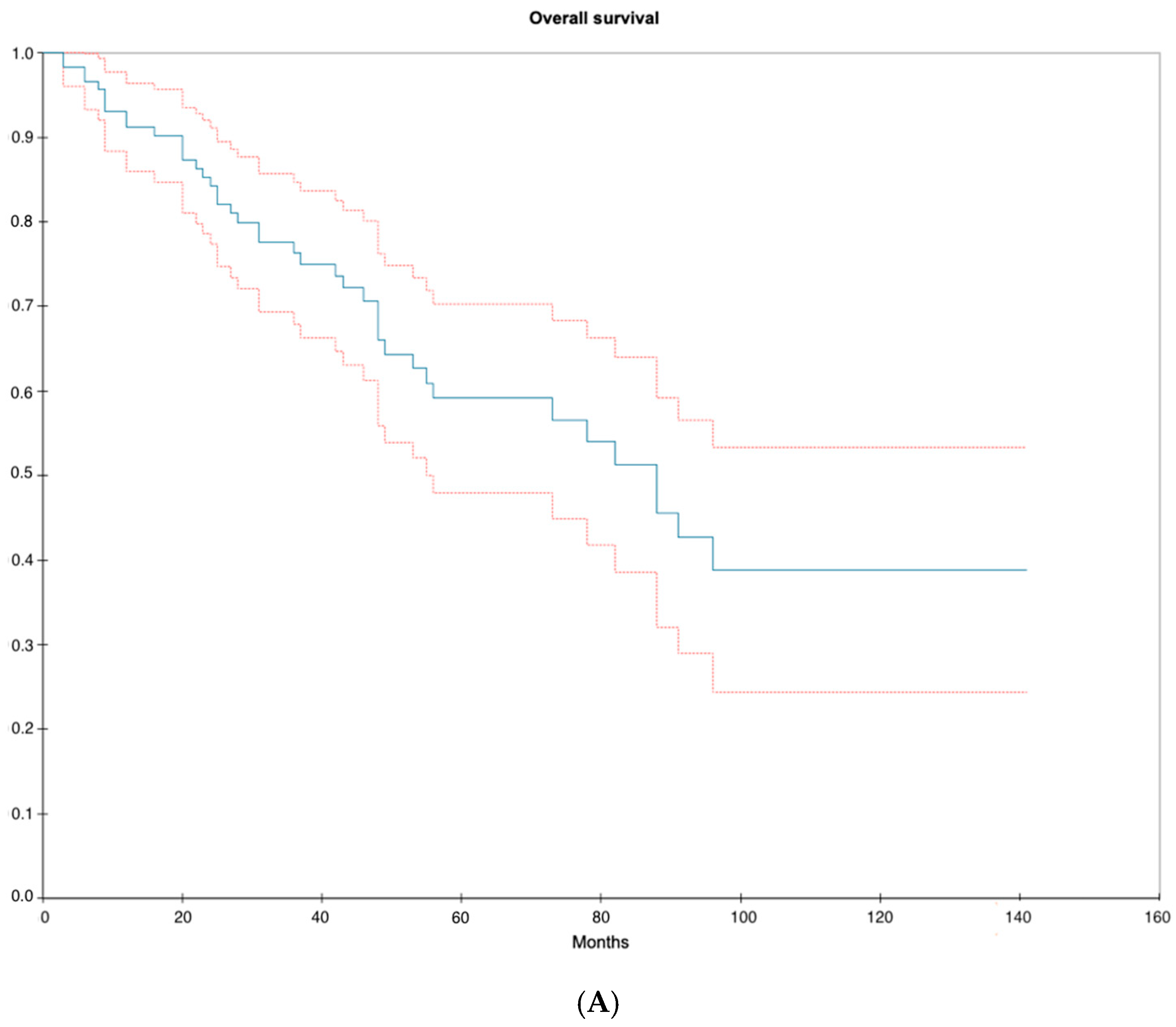
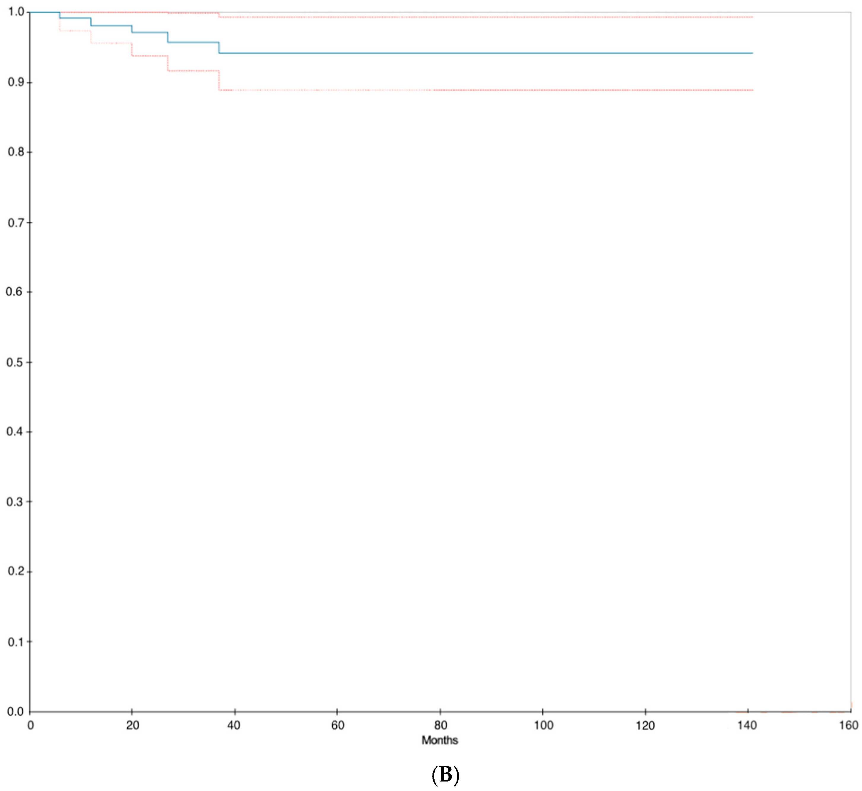
3.4. Long Term Survival
4. Discussion
5. Conclusions
Author Contributions
Funding
Institutional Review Board Statement
Informed Consent Statement
Data Availability Statement
Conflicts of Interest
Abbreviations
| LG | Low grade |
| UTUC | Upper tract urothelial cancer |
| EAU | European Association of Urology |
| OS | Overall survival |
| DSS | Disease-specific survival |
| CSS | Cancer-specific survival |
| HG | High grade |
| URS | Ureterorenoscopy |
| IQR | Interquartile range |
| SE | Standard error |
| RNU | Radical nephroureterectomy |
References
- Borre, M.; Sengeløv, L.; Bonfils, P.; Bojer, D. Uroteliale tTumorer i de Øvre Urinveje. Lægehåndbogen. 2022. Available online: https://www.sundhed.dk/sundhedsfaglig/laegehaandbogen/nyrer-og-urinveje/tilstande-og-sygdomme/urinvejssygdomme/uroteliale-tumorer-i-oevre-urinveje/ (accessed on 17 March 2023).
- Dansk BlæreCancer Gruppe. Behandling af Uroteliale Tumorer i Øvre Urinvej; Kliniske Retningslinjer i Kræft: Aarhus, Denmark, 2022. [Google Scholar]
- Rouprêt, M.; Gontero, P.; Birtle, A.; Compérat, E.M.; Dominguez-Escrig, J.L.; Liedberg, F.; Mariappan, P.; Masson-Lecomte, A.; Mostafid, A.H.; van Rhijn, B.W.G.; et al. EAU Guidelines on Upper Urinary Tract Urothelial Cell Carcinoma; European Association of Urology: Arnhem, The Netherlands, 2023. [Google Scholar]
- Raman, J.; Shore, N.D. Management of Low-grade Upper Tract Urothelial Carcinoma: An Unmet Need. Rev. Urol. 2020, 22, 1–8. [Google Scholar] [PubMed]
- Seisen, T.; Peyronnet, B.; Dominguez-Escrig, J.L.; Bruins, H.M.; Yuan, C.Y.; Babjuk, M.; Böhle, A.; Burger, M.; Compérat, E.M.; Cowan, N.C.; et al. Oncologic Outcomes of Kidney-sparing Surgery Versus Radical Nephroureterectomy for Upper Tract Urothelial Carcinoma: A Systematic Review by the EAU Non-muscle Invasive Bladder Cancer Guidelines Panel. Eur. Urol. 2016, 70, 1052–1068. [Google Scholar] [CrossRef] [PubMed]
- Vemana, G.; Kim, E.H.; Bhayani, S.B.; Vetter, J.M.; Strope, S.A. Survival Comparison Between Endoscopic and Surgical Management for Patients With Upper Tract Urothelial Cancer: A Matched Propensity Score Analysis Using Surveillance, Epidemiology and End Results-Medicare Data. Urology 2016, 95, 115–120. [Google Scholar] [CrossRef] [PubMed]
- Cutress, M.L.; Stewart, G.D.; Wells-Cole, S.; Phipps, S.; Thomas, B.G.; Tolley, D.A. Long-term endoscopic management of upper tract urothelial carcinoma: 20-year single-centre experience. BJU Int. 2012, 110, 1608–1617. [Google Scholar] [CrossRef]
- Hasan, M.N.; Rouprêt, M.; Keeley, F.; Cracco, C.; Jones, R.; Straub, M.; Traxer, O.; Osther, P.J.S.; Brehmer, M. Consultation on UTUC, Stockholm 2018 aspects of risk stratification: Long-term results and follow-up. World J. Urol. 2019, 37, 2289–2296. [Google Scholar] [CrossRef]
- Kawada, T.; Laukhtina, E.; Araki, M.; Shariat, S.F. Reply to Kun-Peng Li, Shun Wan, Chen-Yang Wang, and Li Yang’s Letter to the Editor re: Tatsushi Kawada, Ekaterina Laukhtina, Fahad Quhal, et al. Oncologic and Safety Outcomes for Endoscopic Surgery Versus Radical Nephroureterectomy for Upper Tract Urothelial Carcinoma: An Updated Systematic Review and Meta-analysis. Eur Urol Focus 2023;9:236-40. Eur. Urol. Focus 2024, 10, 492. [Google Scholar]
- Rouprêt, M. Conservative management of urothelial carcinomas of the upper urinary tract. Prog. Urol. 2012, 22, 861–866. [Google Scholar] [CrossRef]
- Shenhar, C.; Veredgorn, Y.; Bulis, S.; Aviv, T.; Darawsha, A.E.; Gilad, R.; Baniel, J.; Ehrlich, Y.; Lifshitz, D. Endoscopic Management of Low-Grade Upper Tract Urothelial Carcinoma: Characterizing the Long-term Burden of Care in Comparison to Radical Nephroureterectomy. Urology 2022, 159, 152–159. [Google Scholar] [CrossRef]
- Milojevic, B.; Dzamic, Z.; Kajmakovic, B.; Milenkovic Petronic, D.; Sipetic Grujicic, S. Urothelial carcinoma: Recurrence and risk factors. JBUON 2015, 20, 391–398. [Google Scholar]
- Hansen, E.; Larsson, H.; Nørgaard, M.; Thind, P.; Jensen, J.B. The Danish Bladder Cancer Database. Clin. Epidemiol. 2016, 8, 439–443. [Google Scholar] [CrossRef]
- Cockcroft, D.W.; Gault, M.H. Prediction of creatinine clearance from serum creatinine. Nephron 1976, 16, 31–41. [Google Scholar] [CrossRef] [PubMed]
- Charlson, M.E.; Carrozzino, D.; Guidi, J.; Patierno, C. Charlson Comorbidity Index: A Critical Review of Clinimetric Properties. Psychother. Psychosom. 2022, 91, 8–35. [Google Scholar] [CrossRef] [PubMed]
- Harris, P.A.; Taylor, R.; Thielke, R.; Payne, J.; Gonzalez, N.; Conde, J.G. Research electronic data capture (REDCap)—A metadata-driven methodology and workflow process for providing translational research informatics support. J. Biomed. Inform. 2009, 42, 377–381. [Google Scholar] [CrossRef] [PubMed]
- Masson-Lecomte, A.; Gontero, P.; Birtle, A.; Compérat, E.; Dominguez Escrig, J.L.; Liedberg, F.; Mariappan, P.; Mostafid, A.H.; van Rhijn, B.W.G.; Seisen, T.; et al. EAU Guidelines on Urothelial Carcinoma of the Upper Urinary Tract (UTUCs); European Association of Urology: Arnhem, The Netherlands, 2024. [Google Scholar]
- Metcalfe, M.J.; Petros, F.G.; Rao, P.; Mork, M.E.; Xiao, L.; Broaddus, R.R.; Matin, S.F. Universal Point of Care Testing for Lynch Syndrome in Patients with Upper Tract Urothelial Carcinoma. J. Urol. 2018, 199, 60–65. [Google Scholar] [CrossRef]
- Chen, Y.; Xu, C.; Mou, Z.; Hu, Y.; Yang, C.; Hu, J.; Chen, X.; Luo, J.; Zou, L.; Jiang, H. Endoscopic Cryoablation Versus Radical Nephroureterectomy for Upper Tract Urothelial Carcinoma. Eur. Urol. Oncol. 2024; in press. [Google Scholar]
- Adibi, M.; Youssef, R.; Shariat, S.F.; Lotan, Y.; Wood, C.G.; Sagalowsky, A.I.; Zigeuner, R.; Montorsi, F.; Bolenz, C.; Margulis, V. Oncological outcomes after radical nephroureterectomy for upper tract urothelial carcinoma: Comparison over the three decades. Int. J. Urol. 2012, 19, 1060–1066. [Google Scholar] [CrossRef]
- Shigeta, K.; Kikuchi, E.; Abe, T.; Hagiwara, M.; Ogihara, K.; Anno, T.; Umeda, K.; Baba, Y.; Sanjo, T.; Shojo, K.; et al. Long-Term Oncologic Outcomes of Laparoscopic Versus Open Radical Nephroureterectomy for Patients with T3N0M0 Upper Tract Urothelial Carcinoma: A Multicenter Cohort Study with Adjustment by Propensity Score Matching. Ann. Surg. Oncol. 2019, 26, 3774–3781. [Google Scholar] [CrossRef]
- Mori, K.; Janisch, F.; Parizi, M.K.; Mostafaei, H.; Lysenko, I.; Kimura, S.; Enikeev, D.V.; Egawa, S.; Shariat, S.F. Prognostic Value of Variant Histology in Upper Tract Urothelial Carcinoma Treated with Nephroureterectomy: A Systematic Review and Meta-Analysis. J. Urol. 2020, 203, 1075–1084. [Google Scholar] [CrossRef]
- Rink, M.; Robinson, B.D.; Green, D.A.; Cha, E.K.; Hansen, J.; Comploj, E.; Margulis, V.; Raman, J.D.; Ng, C.K.; Remzi, M.; et al. Impact of histological variants on clinical outcomes of patients with upper urinary tract urothelial carcinoma. J. Urol. 2012, 188, 398–404. [Google Scholar] [CrossRef]
- Colin, P.; Ouzzane, A.; Pignot, G.; Ravier, E.; Crouzet, S.; Ariane, M.M.; Audouin, M.; Neuzillet, Y.; Albouy, B.; Hurel, S.; et al. Comparison of oncological outcomes after segmental ureterectomy or radical nephroureterectomy in urothelial carcinomas of the upper urinary tract: Results from a large French multicentre study. BJU Int. 2012, 110, 1134–1141. [Google Scholar] [CrossRef]
- Jeldres, C.; Lughezzani, G.; Sun, M.; Isbarn, H.; Shariat, S.F.; Budaus, L.; Lattouf, J.B.; Widmer, H.; Graefen, M.; Montorsi, F.; et al. Segmental ureterectomy can safely be performed in patients with transitional cell carcinoma of the ureter. J. Urol. 2010, 183, 1324–1329. [Google Scholar] [CrossRef]
- Cutress, M.L.; Stewart, G.D.; Zakikhani, P.; Phipps, S.; Thomas, B.G.; Tolley, D.A. Ureteroscopic and percutaneous management of upper tract urothelial carcinoma (UTUC): Systematic review. BJU Int. 2012, 110, 614–628. [Google Scholar] [CrossRef] [PubMed]
- Rouprêt, M.; Traxer, O.; Tligui, M.; Conort, P.; Chartier-Kastler, E.; Richard, F.; Cussenot, O. Upper urinary tract transitional cell carcinoma: Recurrence rate after percutaneous endoscopic resection. Eur. Urol. 2007, 51, 709–713; discussion 714. [Google Scholar] [CrossRef] [PubMed]
- Kiss, B.; Furrer, M.A.; Wuethrich, P.Y.; Burkhard, F.C.; Thalmann, G.N.; Roth, B. Stenting Prior to Cystectomy is an Independent Risk Factor for Upper Urinary Tract Recurrence. J. Urol. 2017, 198, 1263–1268. [Google Scholar] [CrossRef] [PubMed]
- Sountoulides, P.; Pyrgidis, N.; Brookman-May, S.; Mykoniatis, I.; Karasavvidis, T.; Hatzichristou, D. Does Ureteral Stenting Increase the Risk of Metachronous Upper Tract Urothelial Carcinoma in Patients with Bladder Tumors? A Systematic Review and Meta-analysis. J. Urol. 2021, 205, 956–966. [Google Scholar] [CrossRef]
- Böhle, A.; Bock, P.R. Intravesical bacille Calmette-Guérin versus mitomycin C in superficial bladder cancer: Formal meta-analysis of comparative studies on tumor progression. Urology 2004, 63, 682–686; discussion 686–687. [Google Scholar] [CrossRef]






| Sex (male/female), n (%) | 82 (69.5)/36 (30.5) |
| Age (years), median (IQR) | 75 (69–81) |
| Body mass index (kg/m2), median (IQR) | 26 (23–28) |
| No BMI available, n | 24 |
| ASA grade, n (%) | |
| 1 | 8 (6.8) |
| 2 | 61 (51.7) |
| 3 | 46 (39.0) |
| 4 | 2 (1.7) |
| 5 | 0 (0.0) |
| NA | 1 (0.8) |
| Charlsons Comorbidity Index, n (%) | |
| 1 | 26 (26.5) |
| 2 | 28 (28.6) |
| 3 | 22 (21.4) |
| 4–5 | 12 (12.2) |
| 6–7 | 8 (8.2) |
| 8–9 | 3 (3.1) |
| Smoking, n (%) | |
| Never | 42 (35.6) |
| Former | 28 (24.6) |
| Present | 44 (37.3) |
| NA | 3 (2.5) |
| History of bladder tumors (yes/no), n (%) | 40 (35.6)/78 (64.4) |
| Treatment with cystectomy (yes/no), n (%) | 5 (12.5)/35 (87.5) |
| Former contralateral RNU (yes/no), n (%) | 8 (6.8)/110 (93.2) |
| Diagnosis characteristics | |
| Hydronephrosis, n (%) | |
| Yes | 23 (19.5) |
| No | 92 (78.0) |
| NA | 3 (25) |
| Creatinine (μmol/L), median (IQR) | 86.5 (73–108) |
| Creatinine clearance (μmol/L), median (IQR) | 63.0 (43.9–79.8) |
| Number of tumors, n (%) | |
| 1 | 95 (80.5) |
| 2 | 18 (15.3) |
| >2 | 3 (2.5) |
| NA | 2 (1.7) |
| Location of tumor, n (%) | |
| Right | 60 (50.8) |
| Left | 54 (45.8) |
| Bilateral | 4 (3.4) |
| Tumor stage, n (%) | |
| pTa LG | 116 (98.3) |
| pT1 LG | 0 (0.0) |
| pTis LG | 2 (1.7) |
| Size of largest tumor (mm), median (IQR) | 15 (10–20) |
| Urine cytology at diagnosis n (%) | |
| LG | 78 (66.1) |
| HG | 4 (3.4) |
| NA | 36 (30.5) |
| JJ-catheter following procedure (yes/no), n (%) | 113 (95.8)/5 (4.2) |
| Acute re-hospitalized within 90 days after procedure (yes/no), n (%) | 21 (17.8)/97 (82.2) |
| Recurrence | |
|---|---|
| Follow-up duration (months), median (IQR) | 36.0 (20.3–58.8) |
| Local recurrence in upper urinary tract (yes/no), n (%) | 83 (69.3)/35 (29.7) |
| Local recurrence with progression, n (%) | 20 (24.1) |
| Treatment with mitomycin C, n (%) | 8 (9.6) |
| Treatment with BCG, n (%) | 5 (6.0) |
| Recurrence in the contralateral urinary tract, n (%) | 10 (12.0) |
| Recurrence, n (%) | |
| In bladder | 52 (44.1) |
| Metastatic | 5 (4.2) |
| Number of recurrence pr. Patient, median (IQR) | 2 (1–5) |
| Time to first recurrence (months), median (IQR) | 5 (2–46) |
| Initial pTa LG, n (%) | 118 (100) |
| Salvage nephroureterectomy, n (%) | 20 (16.9) |
| Death, n (%) | 42 (35.6) |
| Death from other cause, n (%) | 37 (31.4) |
| UTUC-specific death (yes/no), n (%) | 5 (4.2) |
Disclaimer/Publisher’s Note: The statements, opinions and data contained in all publications are solely those of the individual author(s) and contributor(s) and not of MDPI and/or the editor(s). MDPI and/or the editor(s) disclaim responsibility for any injury to people or property resulting from any ideas, methods, instructions or products referred to in the content. |
© 2024 by the authors. Licensee MDPI, Basel, Switzerland. This article is an open access article distributed under the terms and conditions of the Creative Commons Attribution (CC BY) license (https://creativecommons.org/licenses/by/4.0/).
Share and Cite
Bislev, S.; Brandt, S.B.; Fuglsig, S.; Jensen, J.B. Local Endoscopic Treatment of Low-Grade Urothelial Tumors in the Upper Urinary Tract—Oncological Outcome of a Consecutive Single-Center Series of 118 Patients. Cancers 2024, 16, 3795. https://doi.org/10.3390/cancers16223795
Bislev S, Brandt SB, Fuglsig S, Jensen JB. Local Endoscopic Treatment of Low-Grade Urothelial Tumors in the Upper Urinary Tract—Oncological Outcome of a Consecutive Single-Center Series of 118 Patients. Cancers. 2024; 16(22):3795. https://doi.org/10.3390/cancers16223795
Chicago/Turabian StyleBislev, Sophie, Simone Buchardt Brandt, Sven Fuglsig, and Jørgen Bjerggaard Jensen. 2024. "Local Endoscopic Treatment of Low-Grade Urothelial Tumors in the Upper Urinary Tract—Oncological Outcome of a Consecutive Single-Center Series of 118 Patients" Cancers 16, no. 22: 3795. https://doi.org/10.3390/cancers16223795
APA StyleBislev, S., Brandt, S. B., Fuglsig, S., & Jensen, J. B. (2024). Local Endoscopic Treatment of Low-Grade Urothelial Tumors in the Upper Urinary Tract—Oncological Outcome of a Consecutive Single-Center Series of 118 Patients. Cancers, 16(22), 3795. https://doi.org/10.3390/cancers16223795

