Influence of Perineural (Pn), Lymphangio (L) and Vascular (V) Invasion on Survival after Resection of Perihilar Cholangiocarcinoma
Abstract
Simple Summary
Abstract
1. Introduction
2. Material and Methods
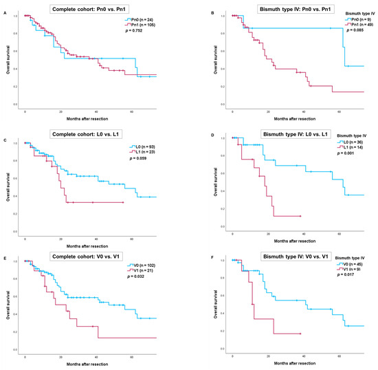
3. Results
4. Discussion
5. Conclusions
Author Contributions
Funding
Institutional Review Board Statement
Informed Consent Statement
Data Availability Statement
Conflicts of Interest
References
- van Keulen, A.M.; Franssen, S.; van der Geest, L.G.; de Boer, M.T.; Coenraad, M.; van Driel, L.M.J.W.; Erdmann, J.I.; Haj Mohammad, N.; Heij, L.; Klümpen, H.J.; et al. Nationwide treatment and outcomes of perihilar cholangiocarcinoma. Liver Int. 2021, 41, 1945–1953. [Google Scholar] [CrossRef] [PubMed]
- Mueller, M.; Breuer, E.; Mizuno, T.; Bartsch, F.; Ratti, F.; Benzing, C.; Ammar-Khodja, N.; Sugiura, T.; Takayashiki, T.; Hessheimer, A.; et al. Perihilar Cholangiocarcinoma—Novel Benchmark Values for Surgical and Oncological Outcomes from 24 Expert Centers. Ann. Surg. 2021, 274, 780–788. [Google Scholar] [CrossRef]
- Nechita, V.I.; Moiş, E.; Furcea, L.; Nechita, M.A.; Graur, F. Klatskin Tumor: A Survival Analysis According to Tumor Characteristics and Inflammatory Ratios. Medicina 2022, 58, 1788. [Google Scholar] [CrossRef]
- Wang, H.; Zheng, Q.; Lu, Z.; Wang, L.; Ding, L.; Xia, L.; Zhang, H.; Wang, M.; Chen, Y.; Li, G. Role of the nervous system in cancers: A review. Cell Death Discov. 2021, 7, 76. [Google Scholar] [CrossRef] [PubMed]
- Brierley, J.; Gospodarowicz, M.; Wittekind, C. International Union against Cancer. In TNM Classification of Malignant Tumours, 8th ed.; Wiley Blackwell: Oxford, UK, 2017. [Google Scholar]
- Oh, D.Y.; Ruth He, A.; Qin, S.; Chen, L.T.; Okusaka, T.; Vogel, A.; Kim, J.W.; Suksombooncharoen, T.; Ah Lee, M.; Kitano, M.; et al. Durvalumab plus Gemcitabine and Cisplatin in Advanced Biliary Tract Cancer. NEJM Evid. 2022, 1, EVIDoa2200015. [Google Scholar] [CrossRef]
- Ilyas, S.I.; Khan, S.A.; Hallemeier, C.L.; Kelley, R.K.; Gores, G.J. Cholangiocarcinoma—Evolving concepts and therapeutic strategies. Nat. Rev. Clin. Oncol. 2018, 15, 95–111. [Google Scholar] [CrossRef] [PubMed]
- Razumilava, N.; Gores, G.J. Cholangiocarcinoma. Lancet 2014, 383, 2168–2179. [Google Scholar] [CrossRef]
- Brito, A.F.; Abrantes, A.M.; Encarnação, J.C.; Tralhão, J.G.; Botelho, M.F. Cholangiocarcinoma: From molecular biology to treatment. Med. Oncol. 2015, 32, 245. [Google Scholar] [CrossRef]
- Kim, H.J.; Kim, C.Y.; Hur, Y.H.; Koh, Y.S.; Kim, J.C.; Kim, H.J.; Cho, C.K. Prognostic factors for survival after curative resection of distal cholangiocarcinoma: Perineural invasion and lymphovascular invasion. Surg. Today 2014, 44, 1879–1886. [Google Scholar] [CrossRef]
- Murakami, Y.; Uemura, K.; Sudo, T.; Hashimoto, Y.; Kondo, N.; Nakagawa, N.; Muto, T.; Sasaki, H.; Urabe, K.; Sueda, T. Perineural invasion in extrahepatic cholangiocarcinoma: Prognostic impact and treatment strategies. J. Gastrointest. Surg. 2013, 17, 1429–1439. [Google Scholar] [CrossRef]
- Liebig, C.; Ayala, G.; Wilks, J.A.; Berger, D.H.; Albo, D. Perineural invasion in cancer: A review of the literature. Cancer 2009, 115, 3379–3391. [Google Scholar] [CrossRef] [PubMed]
- Bartsch, F.; Heuft, L.K.; Baumgart, J.; Hoppe-Lotichius, M.; Margies, R.; Gerber, T.S.; Foerster, F.; Weinmann, A.; Straub, B.K.; Mittler, J.; et al. Influence of Lymphangio (L), Vascular (V), and Perineural (Pn) Invasion on Recurrence and Survival of Resected Intrahepatic Cholangiocarcinoma. J. Clin. Med. 2021, 10, 2426. [Google Scholar] [CrossRef] [PubMed]
- Bae, J.; Shin, D.W.; Cho, K.B.; Ahn, K.S.; Kim, T.S.; Kim, Y.H.; Kang, K.J. Survival outcome of surgical resection compared to non-resection for Bismuth type IV perihilar cholangiocarcinoma. Langenbecks Arch. Surg. 2023, 408, 229. [Google Scholar] [CrossRef] [PubMed]
- Yoo, T.; Park, S.-J.; Han, S.-S.; Kim, S.H.; Lee, S.D.; Kim, T.H.; Lee, S.-A.; Woo, S.M.; Lee, W.J.; Hong, E.K. Proximal Resection Margins: More Prognostic than Distal Resection Margins in Patients Undergoing Hilar Cholangiocarcinoma Resection. Cancer Res. Treat. 2018, 50, 1106–1113. [Google Scholar] [CrossRef]
- Lee, J.H.; Hwang, D.W.; Lee, S.Y.; Park, K.-M.; Lee, Y.-J. The Proximal Margin of Resected Hilar Cholangiocarcinoma: The Effect of Microscopic Positive Margin on Long-Term Survival. Am. Surg. 2012, 78, 471–477. [Google Scholar] [CrossRef]
- Seehofer, D.; Neuhaus, P. Strategien zur Optimierung der R0-Resektionsrate von zentralen Gallengangskarzinomen [Strategies to Optimise R0 Resection for Hilar Cholangiocarcinoma]. Zentralbl Chir. 2016, 141, 397–404. [Google Scholar]
- Jonas, S.; Benckert, C.; Thelen, A.; Lopez-Hänninen, E.; Rösch, T.; Neuhaus, P. Radical surgery for hilar cholangiocarcinoma. Eur. J. Surg. Oncol. 2008, 34, 263–271. [Google Scholar] [CrossRef]
- Mizuno, T.; Ebata, T.; Yokoyama, Y.; Igami, T.; Yamaguchi, J.; Onoe, S.; Watanabe, N.; Kamei, Y.; Nagino, M. Combined Vascular Resection for Locally Advanced Perihilar Cholangiocarcinoma. Ann. Surg. 2022, 275, 382–390. [Google Scholar] [CrossRef]
- Nagino, M.; Ebata, T.; Mizuno, T. Oncological Superiority of Right-sided Hepatectomy over Left-sided Hepatectomy as Surgery for Perihilar Cholangiocarcinoma: Truth or Biased View? Ann. Surg. 2021, 274, 31–32. [Google Scholar] [CrossRef]
- Nagino, M. Left Hepatic Trisectionectomy with Caudate Lobectomy: Demanding But Essential Routine Surgical Procedure for Perihilar Cholangiocarcinoma. Ann. Surg. 2021, 274, e638–e640. [Google Scholar] [CrossRef]
- Lang, H.; van Gulik, T.M. Extended Right-hemihepatectomy Is Preferred for Perihilar Cholangiocarcinoma. Ann. Surg. 2021, 274, 33–34. [Google Scholar] [CrossRef] [PubMed]
- Kovalenko, Y.A.; Zharikov, Y.O.; Konchina, N.A.; Gurmikov, B.N.; Marinova, L.A.; Zhao, A.V. Perihilar cholangiocarcinoma: A different concept for radical resection. Surg. Oncol. 2020, 33, 270–275. [Google Scholar] [CrossRef] [PubMed]
- Komaya, K.; Ebata, T.; Yokoyama, Y.; Igami, T.; Sugawara, G.; Mizuno, T.; Yamaguchi, J.; Nagino, M. Recurrence after curative-intent resection of perihilar cholangiocarcinoma: Analysis of a large cohort with a close postoperative follow-up approach. Surgery 2018, 163, 732–738. [Google Scholar] [CrossRef] [PubMed]
- Zhang, X.F.; Bagante, F.; Chen, Q.; Beal, E.W.; Lv, Y.; Weiss, M.; Popescu, I.; Marques, H.P.; Aldrighetti, L.; Maithel, S.K.; et al. Perioperative and long-term outcome of intrahepatic cholangiocarcinoma involving the hepatic hilus after curative-intent resection: Comparison with peripheral intrahepatic cholangiocarcinoma and hilar cholangiocarcinoma. Surgery 2018, 163, 1114–1120. [Google Scholar] [CrossRef] [PubMed]
- Groot Koerkamp, B.; Wiggers, J.K.; Allen, P.J.; Besselink, M.G.; Blumgart, L.H.; Busch, O.R.; Coelen, R.J.; D’Angelica, M.I.; DeMatteo, R.P.; Gouma, D.J.; et al. Recurrence Rate and Pattern of Perihilar Cholangiocarcinoma after Curative Intent Resection. J. Am. Coll. Surg. 2015, 221, 1041–1049. [Google Scholar] [CrossRef]
- Bröring, T.S.; Wagner, K.C.; von Hahn, T.; Oldhafer, K.J. Parenchyma-Preserving Hepatectomy in Perihilar Cholangiocarcinoma: A Chance for Critical Patients? Visc. Med. 2024, 40, 53–60. [Google Scholar] [CrossRef]
- Benzing, C.; Krenzien, F.; Mieg, A.; Wolfsberger, A.; Andreou, A.; Nevermann, N.; Pelzer, U.; Fehrenbach, U.; Haiden, L.M.; Öllinger, R.; et al. A tailored approach in lymph node-positive perihilar cholangiocarcinoma. Langenbecks Arch. Surg. 2021, 406, 1499–1509. [Google Scholar] [CrossRef]
- van Keulen, A.M.; Buettner, S.; Erdmann, J.I.; Pratschke, J.; Ratti, F.; Jarnagin, W.R.; Schnitzbauer, A.A.; Lang, H.; Ruzzenente, A.; Nadalin, S.; et al. perihilar cholangiocarcinoma collaboration group. Multivariable prediction model for both 90-day mortality and long-term survival for individual patients with perihilar cholangiocarcinoma: Does the predicted survival justify the surgical risk? Br. J. Surg. 2023, 110, 599–605. [Google Scholar] [CrossRef]
- Belkouz, A.; Nooijen, L.E.; Riady, H.; Franken, L.C.; van Oijen, M.G.; Punt, C.J.; Erdmann, J.I.; Klümpen, H.-J. Efficacy and safety of systemic induction therapy in initially unresectable locally advanced intrahepatic and perihilar cholangiocarcinoma: A systematic review. Cancer Treat Rev. 2020, 91, 102110. [Google Scholar] [CrossRef]
- Nassour, I.; Mokdad, A.A.; Porembka, M.R.; Choti, M.A.; Polanco, P.M.; Mansour, J.C.; Minter, R.M.; Wang, S.C.; Yopp, A.C. Adjuvant Therapy Is Associated with Improved Survival in Resected Perihilar Cholangiocarcinoma: A Propensity Matched Study. Ann. Surg. Oncol. 2018, 25, 1193–1201. [Google Scholar] [CrossRef]
- Primrose, J.N.; Fox, R.P.; Palmer, D.H.; Malik, H.Z.; Prasad, R.; Mirza, D.; Anthony, A.; Corrie, P.; Falk, S.; Finch-Jones, M.; et al. Capecitabine compared with observation in resected biliary tract cancer (BILCAP): A randomised, controlled, multicentre, phase 3 study. Lancet Oncol. 2019, 20, 663–673. [Google Scholar] [CrossRef] [PubMed]
- Zhao, J.; Zhang, W.; Zhang, J.; Chen, Y.T.; Ma, W.J.; Liu, S.Y.; Li, F.Y.; Song, B. Independent Risk Factors of Early Recurrence After Curative Resection for Perihilar Cholangiocarcinoma: Adjuvant Chemotherapy May Be Beneficial in Early Recurrence Subgroup. Cancer Manag. Res. 2020, 12, 13111–13123. [Google Scholar] [CrossRef] [PubMed]
- Elvevi, A.; Laffusa, A.; Scaravaglio, M.; Rossi, R.E.; Longarini, R.; Stagno, A.M.; Cristoferi, L.; Ciaccio, A.; Cortinovis, D.L.; Invernizzi, P.; et al. Clinical treatment of cholangiocarcinoma: An updated comprehensive review. Ann. Hepatol. 2022, 27, 100737. [Google Scholar] [CrossRef] [PubMed]
- Katayose, Y.; Rikiyama, T.; Motoi, F.; Yamamoto, K.; Yoshida, H.; Morikawa, T.; Hayashi, H.; Kanno, A.; Hirota, M.; Satoh, K.; et al. Phase I trial of neoadjuvant chemoradiation with gemcitabine and surgical resection for cholangiocarcinoma patients (NACRAC study). Hepatogastroenterology 2011, 58, 1866–1872. [Google Scholar]



| T-Status | N-Status | R-Status | UICC | ||||
|---|---|---|---|---|---|---|---|
| T1 | 10 | N0 | 104 | R0 | 129 | I | 6 |
| T2a | 51 | N1 | 50 | R1 | 38 | II | 89 |
| T2b | 91 | N2 | 6 | Rx | 1 | IIIA | 8 |
| T3 | 13 | Nx | 8 | IIIB | 4 | ||
| T4 | 3 | IIIC | 48 | ||||
| IVA | 6 | ||||||
| Nx | 8 | ||||||
| Type I (n = 11) | Type II (n = 11) | Type IIIa (n = 25) | Type IIIb (n = 40) | Type IV (n = 81) | ||
|---|---|---|---|---|---|---|
| Pn0 | n = 26 | 1 | 2 | 5 | 8 | 10 |
| Pn1 | n = 133 | 9 | 9 | 18 | 29 | 68 |
| n.d. | n = 9 | 1 | - | 2 | 3 | 3 |
| L0 | n = 114 | 10 | 7 | 17 | 30 | 50 |
| L1 | n = 29 | 0 | 3 | 4 | 5 | 17 |
| n.d. | n = 25 | 1 | 1 | 4 | 5 | 14 |
| V0 | n = 126 | 10 | 7 | 18 | 31 | 60 |
| V1 | n = 24 | 0 | 3 | 4 | 6 | 11 |
| n.d. | n = 18 | 1 | 1 | 3 | 3 | 10 |
| Pn1 | Pn0 | p | L1 | L0 | p | V1 | V0 | p | |
|---|---|---|---|---|---|---|---|---|---|
| n = 133 | n = 26 | n = 29 | n = 114 | n = 24 | n = 126 | ||||
| T-status | 0.660 | 0.282 | <0.001 | ||||||
| T1 + T2 n = 153 | 119 | 24 | 28 | 103 | 14 | 121 | |||
| T3 + T4 n = 16 | 14 | 2 | 1 | 11 | 10 | 5 | |||
| N-status a | 0.230 | <0.001 | 0.365 | ||||||
| N0 n = 104 | 79 | 18 | 9 | 78 | 13 | 79 | |||
| N1 n = 56 | 48 | 6 | 19 | 29 | 10 | 40 | |||
| M-status | 0.529 | 0.473 | 0.534 | ||||||
| M0 n = 166 | 131 | 26 | 29 | 112 | 24 | 124 | |||
| M1 n = 2 | 2 | - | - | 2 | - | 2 | |||
| Pn-status | - | 0.069 | 0.189 | ||||||
| Pn0 n = 26 | - | - | 2 | 24 | 2 | 24 | |||
| Pn1 n = 133 | - | - | 27 | 87 | 22 | 99 | |||
| L-status | 0.069 | - | 0.006 | ||||||
| L0 n = 114 | 87 | 24 | - | - | 10 | 104 | |||
| L1 n = 29 | 27 | 2 | - | - | 8 | 21 | |||
| V-status | 0.189 | 0.006 | - | ||||||
| V0 n = 126 | 99 | 24 | 21 | 104 | - | - | |||
| V1 n = 24 | 22 | 2 | 8 | 10 | - | - | |||
| Grading b | 0.283 | 0.205 | 0.989 | ||||||
| G1 + G2 n = 117 | 88 | 19 | 16 | 79 | 16 | 84 | |||
| G3 n = 45 | 41 | 5 | 11 | 31 | 7 | 37 | |||
| R-status c | 0.010 | 0.006 | <0.001 | ||||||
| R0 n = 129 | 96 | 25 | 16 | 93 | 9 | 104 | |||
| R1 n = 38 | 36 | 1 | 12 | 21 | 14 | 22 |
| Kaplan–Meier | Multivariate Cox Regression | ||||
|---|---|---|---|---|---|
| OS | OS | ||||
| HR | 95% CI | p-Value | |||
| T-status | T1 + T2a + T2b/T3 + T4 | 0.132 | |||
| N-status a | N0/N+ | 0.008 | 0.369 | 0.089–1.533 | 0.170 |
| V-status | V0/V1 | 0.216 | |||
| L-status | L0/L1 | 0.131 | |||
| Pn-status | Pn0/Pn1 | 0.543 | |||
| M-status | M0/M1 | 0.540 | |||
| R-status b | R0/R1 | 0.704 | |||
| Grading c | G1 + G2/G3 | <0.001 | 1.572 | 1.240–1.994 | <0.001 |
| UICC stage | I + II/IIIa + IIIb + IIIc + IVa + IVb | 0.006 | 1.773 | 1.111–2.830 | 0.016 |
Disclaimer/Publisher’s Note: The statements, opinions and data contained in all publications are solely those of the individual author(s) and contributor(s) and not of MDPI and/or the editor(s). MDPI and/or the editor(s) disclaim responsibility for any injury to people or property resulting from any ideas, methods, instructions or products referred to in the content. |
© 2024 by the authors. Licensee MDPI, Basel, Switzerland. This article is an open access article distributed under the terms and conditions of the Creative Commons Attribution (CC BY) license (https://creativecommons.org/licenses/by/4.0/).
Share and Cite
Margies, R.; Gröger, L.-K.; Straub, B.K.; Bartsch, F.; Lang, H. Influence of Perineural (Pn), Lymphangio (L) and Vascular (V) Invasion on Survival after Resection of Perihilar Cholangiocarcinoma. Cancers 2024, 16, 3463. https://doi.org/10.3390/cancers16203463
Margies R, Gröger L-K, Straub BK, Bartsch F, Lang H. Influence of Perineural (Pn), Lymphangio (L) and Vascular (V) Invasion on Survival after Resection of Perihilar Cholangiocarcinoma. Cancers. 2024; 16(20):3463. https://doi.org/10.3390/cancers16203463
Chicago/Turabian StyleMargies, Rabea, Lisa-Katharina Gröger, Beate K. Straub, Fabian Bartsch, and Hauke Lang. 2024. "Influence of Perineural (Pn), Lymphangio (L) and Vascular (V) Invasion on Survival after Resection of Perihilar Cholangiocarcinoma" Cancers 16, no. 20: 3463. https://doi.org/10.3390/cancers16203463
APA StyleMargies, R., Gröger, L.-K., Straub, B. K., Bartsch, F., & Lang, H. (2024). Influence of Perineural (Pn), Lymphangio (L) and Vascular (V) Invasion on Survival after Resection of Perihilar Cholangiocarcinoma. Cancers, 16(20), 3463. https://doi.org/10.3390/cancers16203463

