Long-Term Impact of D2 Lymphadenectomy during Gastrectomy for Cancer: Individual Patient Data Meta-Analysis and Restricted Mean Survival Time Estimation
Abstract
Simple Summary
Abstract
1. Introduction
2. Materials and Methods
2.1. Eligibility Criteria
2.2. Data Extraction
2.3. Outcome of Interest and Definition
2.4. Quality Assessment and Assessment of Certainty of Evidence
2.5. Statistical Analysis
3. Results
3.1. Systematic Review
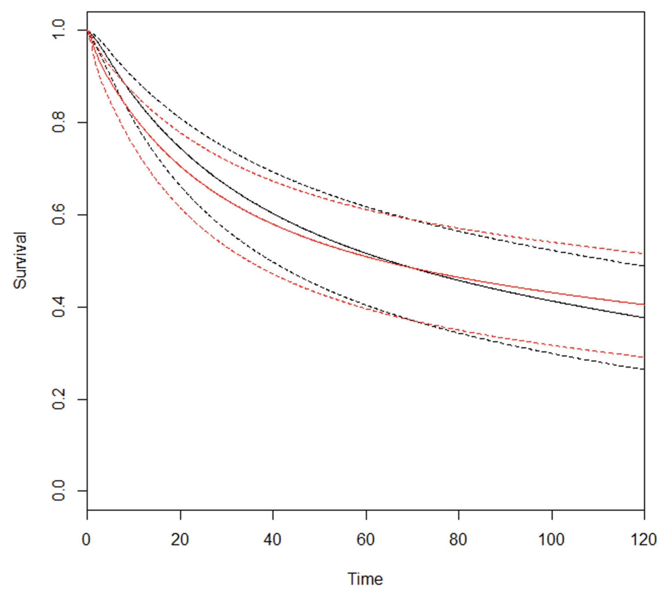
3.2. Meta-Analysis—OS
3.3. Meta-Analysis—CSS and DFS
4. Discussion
5. Conclusions
Supplementary Materials
Author Contributions
Funding
Institutional Review Board Statement
Informed Consent Statement
Data Availability Statement
Conflicts of Interest
References
- Cunningham, D.; Allum, W.H.; Stenning, S.P.; Thompson, J.N.; Van de Velde, C.J.; Nicolson, M.; Scarffe, J.H.; Lofts, F.J.; Falk, S.J.; Iveson, T.J.; et al. MAGIC Trial Participants. Perioperative chemotherapy versus surgery alone for resectable gastroesophageal cancer. N. Engl. J. Med. 2006, 355, 11–20. [Google Scholar] [CrossRef] [PubMed]
- Lordick, F.; Carneiro, F.; Cascinu, S.; Fleitas, T.; Haustermans, K.; Piessen, G.; Vogel, A.; Smyth, E.C.; ESMO Guidelines Committee. Gastric cancer: ESMO Clinical Practice Guideline for diagnosis, treatment and follow-up. Ann. Oncol. 2022, 33, 1005–1020. [Google Scholar] [CrossRef]
- NCCN Clinical Practice Guidelines in Oncology (NCCN Guidelines®) for Gastric Cancer 01.11.2022. p MS2, MS5–MS7, MS11–MS16. Available online: https://www.nccn.org/professionals/physician_gls/pdf/gastric.pdf (accessed on 15 January 2023).
- Li, G.Z.; Doherty, G.M.; Wang, J. Surgical Management of Gastric Cancer: A Review. JAMA Surg. 2022, 157, 446–454. [Google Scholar] [CrossRef] [PubMed]
- Smyth, E.C.; Nilsson, M.; Grabsch, H.I.; van Grieken, N.C.; Lordick, F. Gastric cancer. Lancet 2020, 396, 635–648. [Google Scholar] [CrossRef] [PubMed]
- Japanese Gastric Cancer Association. Japanese Gastric Cancer Treatment Guidelines 2021 (6th edition). Gastric Cancer 2023, 26, 1–25. [Google Scholar] [CrossRef] [PubMed]
- Lezama, M.M.; Duncan, N.S.M.; Bertona, S.; Schlottmann, F. Current standards of lymphadenectomy in gastric cancer. Updat. Surg. 2023, 75, 1751–1758. [Google Scholar] [CrossRef]
- Arigami, T.; Uenosono, Y.; Yanagita, S.; Nakajo, A.; Ishigami, S.; Okumura, H.; Kijima, Y.; Ueno, S.; Natsugoe, S. Clinical significance of lymph node micrometastasis in gastric cancer. Ann. Surg. Oncol. 2013, 20, 515–521. [Google Scholar] [CrossRef] [PubMed]
- Memon, M.A.; Subramanya, M.S.; Khan, S.; Hossain, B.; Osland, E.; Memon, B. Meta-analysis of D1 versus D2 gastrectomy for gastric adenocarcinoma. Ann. Surg. 2011, 253, 900–911. [Google Scholar] [CrossRef]
- Lu, J.; Zheng, C.-H.; Cao, L.-L.; Li, P.; Xie, J.-W.; Wang, J.-B.; Lin, J.-X.; Chen, Q.-Y.; Lin, M.; Huang, C.-M. The effectiveness of the 8th American Joint Committee on Cancer TNM classification in the prognosis evaluation of gastric cancer patients: A comparative study between the 7th and 8th editions. Eur. J. Surg. Oncol. (EJSO) 2017, 43, 2349–2356. [Google Scholar] [CrossRef]
- Siewert, J.R.; Böttcher, K.; Stein, H.J.; Roder, J.D. Relevant prognostic factors in gastric cancer: Ten-year results of the German Gastric Cancer Study. Ann. Surg. 1998, 228, 449–461. [Google Scholar] [CrossRef]
- Lee, H.K.; Yang, H.-K.; Kim, W.H.; Lee, K.U.; Choe, K.J.; Kim, J.-P. Influence of the number of lymph nodes examined on staging of gastric cancer. Br. J. Surg. 2001, 88, 1408–1412. [Google Scholar] [CrossRef] [PubMed]
- Kim, D.; Choi, M.; Noh, J.; Sohn, T.; Bae, J.; Kim, S. Clinical significance of skip lymph node metastasis in gastric cancer patients. Eur. J. Surg. Oncol. (EJSO) 2015, 41, 339–345. [Google Scholar] [CrossRef]
- Back, J.; Sallinen, V.; Kokkola, A.; Puolakkainen, P. Surgical and oncological outcomes of D1 versus D2 gastrectomy among elderly patients treated for gastric cancer. Scand. J. Surg. 2022, 111, 14574969221096193. [Google Scholar] [CrossRef]
- Schmidt, B.; Yoon, S.S. D1 versus D2 lymphadenectomy for gastric cancer. J. Surg. Oncol. 2013, 107, 259–264. [Google Scholar] [CrossRef]
- Rausei, S.; Ruspi, L.; Rosa, F.; Morgagni, P.; Marrelli, D.; Cossu, A.; Cananzi, F.; Lomonaco, R.; Coniglio, A.; Biondi, A.; et al. Extended lymphadenectomy in elderly and/or highly co-morbid gastric cancer patients: A retrospective multicenter study. Eur. J. Surg. Oncol. (EJSO) 2016, 42, 1881–1889. [Google Scholar] [CrossRef] [PubMed]
- Randle, R.W.; Swords, D.S.; Levine, E.A.; Fino, N.F.; Squires, M.H.; Poultsides, G.; Fields, R.C.; Bloomston, M.; Weber, S.M.; Pawlik, T.M.; et al. Optimal extent of lymphadenectomy for gastric adenocarcinoma: A 7-institution study of the U.S. gastric cancer collaborative. J. Surg. Oncol. 2016, 113, 750–755. [Google Scholar] [CrossRef] [PubMed]
- Brisinda, G.; Chiarello, M.M.; Crocco, A.; Adams, N.J.; Fransvea, P.; Vanella, S. Postoperative mortality and morbidity after D2 lymphadenectomy for gastric cancer: A retrospective cohort study. World J. Gastroenterol. 2022, 28, 381–398. [Google Scholar] [CrossRef] [PubMed]
- Page, M.J.; McKenzie, J.E.; Bossuyt, P.M.; Boutron, I.; Hoffmann, T.C.; Mulrow, C.D.; Shamseer, L.; Tetzlaff, J.M.; Akl, E.A.; Brennan, S.E.; et al. The PRISMA 2020 statement: An updated guideline for reporting systematic reviews. Syst. Rev. 2021, 10, 89. [Google Scholar] [CrossRef]
- Goossen, K.; Tenckhoff, S.; Probst, P.; Grummich, K.; Mihaljevic, A.L.; Büchler, M.W.; Diener, M.K. Optimal literature search for systematic reviews in surgery. Langenbeck’s Arch. Surg. 2018, 403, 119–129. [Google Scholar] [CrossRef]
- Higgins, J.P.T.; Altman, D.G.; Gøtzsche, P.C.; Jüni, P.; Moher, D.; Oxman, A.D.; Savović, J.; Schulz, K.F.; Weeks, L.; Sterne, J.A.C.; et al. The Cochrane Collaboration’s tool for assessing risk of bias in randomised trials. BMJ 2011, 343, d5928. [Google Scholar] [CrossRef]
- Guyatt, G.H.; Oxman, A.D.; Vist, G.E.; Kunz, R.; Falck-Ytter, Y.; Alonso-Coello, P.; Schünemann, H.J. GRADE: An emerging consensus on rating quality of evidence and strength of recommendations. BMJ 2008, 336, 924–926. [Google Scholar] [CrossRef]
- Schünemann, H.; Brożek, J.; Guyatt, G.; Oxman, A. GRADE Handbook: 5 Quality of Evidence. 2013. Available online: https://gdt.gradepro.org/app/handbook/handbook.html#h.9rdbelsnu4iy (accessed on 1 November 2023).
- Royston, P.; Parmar, M.K. Restricted mean survival time: An alternative to the hazard ratio for the design and analysis of randomized trials with a time-to-event outcome. BMC Med. Res. Methodol. 2013, 13, 152. [Google Scholar] [CrossRef]
- Aiolfi, A.; Griffiths, E.A.; Sozzi, A.; Manara, M.; Bonitta, G.; Bonavina, L.; Bona, D. Effect of Anastomotic Leak on Long-Term Survival after Esophagectomy: Multivariate Meta-analysis and Restricted Mean Survival Times Examination. Ann. Surg. Oncol. 2023, 30, 5564–5572. [Google Scholar] [CrossRef] [PubMed]
- Jackson, D.; White, I.R.; Riley, R.D. A matrix-based method of moments for fitting the multivariate random effects model for meta-analysis and meta-regression. Biom. J. 2013, 55, 231–245. [Google Scholar] [CrossRef]
- Guyot, P.; Ades, A.E.; Ouwens, M.J.N.M.; Welton, N.J. Enhanced secondary analysis of survival data: Reconstructing the data from published Kaplan-Meier survival curves. BMC Med. Res. Methodol. 2012, 12, 9. [Google Scholar] [CrossRef] [PubMed]
- Charvat, H.; Belot, A. Mexhaz: An R package for fitting flexible hazard-based regression models for overall and excess mortality with a random effect. J. Stat. Softw. 2021, 98, 1–36. [Google Scholar] [CrossRef]
- R Core Team. R: A Language and Environment for Statistical Computing; R Foundation for Statistical Computing: Vienna, Austria; Available online: http://www.R-project.org/ (accessed on 20 October 2023).
- Robertson, C.S.; Chung, S.C.S.; Woods, S.D.S.; Griffin, S.M.; Raimes, S.A.; Lau, J.T.F.; Li, A.K.C. A prospective randomized trial comparing R1 subtotal gastrectomy with R3 total gastrectomy for antral cancer. Ann. Surg. 1994, 220, 176–182. [Google Scholar] [CrossRef]
- Cuschieri, A.; for the Surgical Co-operative Group; Weeden, S.; Fielding, J.; Bancewicz, J.; Craven, J.; Joypaul, V.; Sydes, M.; Fayers, P. Patient survival after D1 and D2 resections for gastric cancer: Long-term results of the MRC randomized surgical trial. Br. J. Cancer 1999, 79, 1522–1530. [Google Scholar] [CrossRef]
- Wu, C.-W.; Hsiung, C.A.; Lo, S.-S.; Hsieh, M.-C.; Chen, J.-H.; Li, A.F.-Y.; Lui, W.-Y.; Whang-Peng, J. Nodal dissection for patients with gastric cancer: A randomised controlled trial. Lancet Oncol. 2006, 7, 309–315. [Google Scholar] [CrossRef]
- Songun, I.; Putter, H.; Kranenbarg, E.M.-K.; Sasako, M.; van de Velde, C.J. Surgical treatment of gastric cancer: 15-year follow-up results of the randomised nationwide Dutch D1D2 trial. Lancet Oncol. 2010, 11, 439–449. [Google Scholar] [CrossRef]
- Degiuli, M.; Reddavid, R.; Tomatis, M.; Ponti, A.; Morino, M.; Sasako, M.; Rebecchi, F.; Garino, M.; Vigano, L.; Scaglione, D.; et al. D2 dissection improves disease-specific survival in advanced gastric cancer patients: 15-year follow-up results of the Italian Gastric Cancer Study Group D1 versus D2 randomised controlled trial. Eur. J. Cancer 2021, 150, 10–22. [Google Scholar] [CrossRef] [PubMed]
- Wu, C.W.; Hsiung, C.A.; Lo, S.S.; Hsieh, M.C.; Shia, L.T.; Whang-Peng, J. Randomized clinical trial of morbidity after D1 and D3 surgery for gastric cancer. Br. J. Surg. 2004, 91, 283–287. [Google Scholar] [CrossRef] [PubMed]
- Hartgrink, H.; van de Velde, C.; Putter, H.; Bonenkamp, J.; Kranenbarg, E.K.; Songun, I.; Welvaart, K.; van Krieken, J.; Meijer, S.; Plukker, J.; et al. Extended lymph node dissection for gastric cancer: Who may benefit? Final results of the randomized Dutch gastric cancer group trial. J. Clin. Oncol. 2004, 22, 2069–2077. [Google Scholar] [CrossRef]
- The Italian Gastric Cancer Study Group; Degiuli, M.; Sasako, M.; Ponti, A.; Vendrame, A.; Tomatis, M.; Mazza, C.; Borasi, A.; Capussotti, L.; Fronda, G.; et al. Randomized clinical trial comparing survival after D1 or D2 gastrectomy for gastric cancer. Br. J. Surg. 2014, 101, 23–31. [Google Scholar] [CrossRef]
- McCulloch, P.; Niita, M.E.; Kazi, H.; Gama-Rodrigues, J.J. Gastrectomy with extended lymphadenectomy for primary treatment of gastric cancer. Br. J. Surg. 2005, 92, 5–13. [Google Scholar] [CrossRef] [PubMed]
- Seevaratnam, R.; Bocicariu, A.; Cardoso, R.; Mahar, A.; Kiss, A.; Helyer, L.; Law, C.; Coburn, N. A meta-analysis of D1 versus D2 lymph node dissection. Gastric Cancer 2012, 15 (Suppl. S1), 60–69. [Google Scholar] [CrossRef] [PubMed]
- Mocellin, S.; Nitti, D. Lymphadenectomy extent and survival of patients with gastric carcinoma: A systematic review and meta-analysis of time-to-event data from randomized trials. Cancer Treat. Rev. 2015, 41, 448–454. [Google Scholar] [CrossRef]
- Mocellin, S.; McCulloch, P.; Kazi, H.; Gama-Rodrigues, J.J.; Yuan, Y.; Nitti, D. Extent of lymph node dissection for adenocarcinoma of the stomach. Cochrane Database Syst. Rev. 2015, 2015, CD001964. [Google Scholar] [CrossRef]
- El-Sedfy, A.; Dixon, M.; Seevaratnam, R.; Bocicariu, A.; Cardoso, R.; Mahar, A.; Kiss, A.; Helyer, L.; Law, C.; Coburn, N.G. Personalized Surgery for Gastric Adenocarcinoma: A Meta-analysis of D1 versus D2 Lymphadenectomy. Ann. Surg. Oncol. 2015, 22, 1820–1827. [Google Scholar] [CrossRef]
- Verlato, G.; Giacopuzzi, S.; Bencivenga, M.; Morgagni, P.; De Manzoni, G. Problems faced by evidence-based medicine in evaluating lymphadenectomy for gastric cancer. World J. Gastroenterol. 2014, 20, 12883–12891. [Google Scholar] [CrossRef]
- Al-Batran, S.-E.; Homann, N.; Pauligk, C.; Goetze, T.O.; Meiler, J.; Kasper, S.; Kopp, H.-G.; Mayer, F.; Haag, G.M.; Luley, K.; et al. Perioperative chemotherapy with fluorouracil plus leucovorin, oxaliplatin, and docetaxel versus fluorouracil or capecitabine plus cisplatin and epirubicin for locally advanced, resectable gastric or gastro-oesophageal junction adenocarcinoma (FLOT4): A randomised, phase 2/3 trial. Lancet 2019, 393, 1948–1957. [Google Scholar] [CrossRef] [PubMed]
- Wu, Z.-M.; Teng, R.-Y.; Shen, J.-G.; Xie, S.-D.; Xu, C.-Y.; Wang, L.-B. Reduced lymph node harvest after neoadjuvant chemotherapy in gastric cancer. J. Int. Med. Res. 2011, 39, 2086–2095. [Google Scholar] [CrossRef]
- Yeung, J.C.; Bains, M.S.; Barbetta, A.; Nobel, T.; DeMeester, S.R.; Louie, B.E.; Orringer, M.B.; Martin, L.W.; Reddy, R.M.; Schlottmann, F.; et al. How many nodes need to be removed to make esophagectomy an adequate cancer operation, and does the number change when a patient has chemoradiotherapy before surgery? Ann. Surg. Oncol. 2020, 27, 1227–1232. [Google Scholar] [CrossRef] [PubMed]
- Pelc, Z.; Skórzewska, M.; Rawicz-Pruszyński, K.; Polkowski, W.P. Lymph Node Involvement in Advanced Gastric Cancer in the Era of Multimodal Treatment—Oncological and Surgical Perspective. Cancers 2021, 13, 2509. [Google Scholar] [CrossRef] [PubMed]
- Eshuis, W.J.; van Berge Henegouwen, M.I.; Draaisma, W.A.; Gisbertz, S.S. Compliance to D2 lymphadenectomy in laparoscopic gastrectomy. Updat. Surg. 2018, 70, 197–205. [Google Scholar] [CrossRef] [PubMed]
- Bonenkamp, J.; Songun, I.; Welvaart, K.; van de Velde, C.; Hermans, J.; Sasako, M.; Plukker, J.; van Elk, P.; Obertop, H.; Gouma, D.; et al. Randomised comparison of morbidity after D1 and D2 dissection for gastric cancer in 996 Dutch patients. Lancet 1995, 345, 745–748. [Google Scholar] [CrossRef] [PubMed]
- Shinohara, H.; Kurahashi, Y.; Kanaya, S.; Haruta, S.; Ueno, M.; Udagawa, H.; Sakai, Y. Topographic anatomy and laparoscopic technique for dissection of no. 6 infrapyloric lymph nodes in gastric cancer surgery. Gastric Cancer 2013, 16, 615–620. [Google Scholar] [CrossRef]
- Lu, J.; Wang, W.; Zheng, C.-H.; Fang, C.; Li, P.; Xie, J.-W.; Wang, J.-B.; Lin, J.-X.; Chen, Q.-Y.; Cao, L.-L.; et al. Influence of Total Lymph Node Count on Staging and Survival After Gastrectomy for Gastric Cancer: An Analysis From a Two-Institution Database in China. Ann. Surg. Oncol. 2017, 24, 486–493. [Google Scholar] [CrossRef]
- Jeon, C.-H.; Park, K.B.; Lee, H.; Kim, D.J.; Seo, H.S.; Lee, J.; Jun, K.H.; Kim, J.J.; Lee, H.H. Refining gastric cancer staging: Examining the interplay between number and anatomical location of metastatic lymph nodes—A retrospective multi-institutional study. BMC Cancer 2023, 23, 1192. [Google Scholar] [CrossRef]
- Cuschieri, S.A.; Hanna, G.B. Meta-analysis of D1 versus D2 gastrectomy for gastric adenocarcinoma: Let us move on to another era. Ann. Surg. 2014, 259, e90. [Google Scholar] [CrossRef]
- Zhou, D.; Quan, Z.; Wang, J.; Zhao, M.; Yang, Y. Laparoscopic-assisted versus open distal gastrectomy with D2 lymph node resection for advanced gastric cancer: Effect of learning curve on short-term outcomes. a meta-analysis. J. Laparoendosc. Adv. Surg. Tech. 2014, 24, 139–150. [Google Scholar] [CrossRef] [PubMed]
- Aiolfi, A.; Lombardo, F.; Matsushima, K.; Sozzi, A.; Cavalli, M.; Panizzo, V.; Bonitta, G.; Bona, D. Systematic review and updated network meta-analysis of randomized controlled trials comparing open, laparoscopic-assisted, and robotic distal gastrectomy for early and locally advanced gastric cancer. Surgery 2021, 170, 942–951. [Google Scholar] [CrossRef] [PubMed]
- Okubo, K.; Uenosono, Y.; Arigami, T.; Matsushita, D.; Yanagita, S.; Kijima, T.; Amatatsu, M.; Ishigami, S.; Maemura, K.; Natsugoe, S. Quantitative assessment of fluorescence intensity of ICG in sentinel nodes in early gastric cancer. Gastric Cancer 2018, 21, 776–781. [Google Scholar] [CrossRef]
- Kwon, I.G.; Son, T.; Kim, H.-I.; Hyung, W.J. Fluorescent Lymphography–Guided Lymphadenectomy During Robotic Radical Gastrectomy for Gastric Cancer. JAMA Surg. 2019, 154, 150–158. [Google Scholar] [CrossRef] [PubMed]
- Park, S.-H.; Berlth, F.; Choi, J.-H.; Park, J.-H.; Suh, Y.-S.; Kong, S.-H.; Park, D.J.; Lee, H.-J.; Yang, H.-K. Near-infrared fluorescence-guided surgery using indocyanine green facilitates secure infrapyloric lymph node dissection during laparoscopic distal gastrectomy. Surg. Today 2020, 50, 1187–1196. [Google Scholar] [CrossRef] [PubMed]
- Wadhwa, R.; Song, S.; Lee, J.-S.; Yao, Y.; Wei, Q.; Ajani, J.A. Gastric cancer—Molecular and clinical dimensions. Nat. Rev. Clin. Oncol. 2013, 10, 643–655. [Google Scholar] [CrossRef]
- Potthoff, K.; Dechow, T.; Lorenzen, S.; Reinacher-Schick, A.; Binninger, A.; Matillon, C.; Siebenbach, H.-U.; Haffner, I.; Hacker, U.; Bläker, H.; et al. SAPHIR: Real-world clinical research platform for molecular testing, treatment, and clinical and patient-reported outcomes in patients with gastroesophageal cancer in Germany. ESMO Real World Data Digit. Oncol. 2023, 2, 100007. [Google Scholar] [CrossRef]
- Yeoh, K.G.; Tan, P. Mapping the genomic diaspora of gastric cancer. Nat. Rev. Cancer 2022, 22, 71–84. [Google Scholar] [CrossRef]




| Author, Year, Trial Tile (Country) | Period | Group | No. Pts | Age (yrs) | M/F | Stage I | Stage II | Stage III | Stage IV | T1-T2 | T3-T4 | N0 | N+ | SG | TG |
|---|---|---|---|---|---|---|---|---|---|---|---|---|---|---|---|
| Robertson et al., 1994 Hong Kong trial, (Hong Kong) [30] | 1987–1991 | D1 | 25 | 60 (32–75) | 20/5 | nr | nr | nr | nr | 17 | 8 | 14 | 11 | 25 | 0 |
| D2 | 29 | 58 (31–75) | 22/7 | nr | nr | nr | nr | 17 | 12 | 14 | 15 | 0 | 29 | ||
| Cuschieri et al., 1999, MRC trial (UK) [31] | 1986–1993 | D1 | 200 | 67 (38–86) | 132/68 | 67 | 37 | 80 | 0 | 111 | 84 | 69 | 115 | 88 | 110 |
| D2 | 200 | 67 (26–83) | 138/62 | 63 | 53 | 75 | 0 | 109 | 86 | 78 | 114 | 91 | 108 | ||
| Wu et al., 2006, Taiwan trial (Taiwan), [32] | 1993–1999 | D1 | 110 | 63 (60.9–65.1) | 84/26 | nr | nr | nr | nr | 49 | 61 | 39 | 71 | 80 | 30 |
| D2 | 111 | 65.2 (63.2–67.2) | 86/25 | nr | nr | nr | nr | 49 | 62 | 44 | 67 | 88 | 23 | ||
| Songun et al., 2010, Dutch trial (Netherlands) [33] | 1989–1993 | D1 | 380 | 252 (≤70), 128 (>70) | 215/165 | 172 | 93 | 84 | 28 | 279 | 94 | 171 | 209 | 265 | 115 |
| D2 | 331 | 229 (≤70), 102 (>70) | 186/145 | 141 | 77 | 74 | 36 | 237 | 82 | 144 | 187 | 205 | 126 | ||
| Degiuli et al., 2021, IGCSG trial (Italy) [34] | 1998–2006 | D1 | 133 | 64 (30–81) | 65/64 | 61 | 24 | 36 | 9 | 91 | 40 | 63 | 68 | 98 | 35 |
| D2 | 134 | 62 (22–87) | 64/67 | 56 | 33 | 27 | 15 | 94 | 37 | 57 | 74 | 103 | 31 |
| Time Horizon | No. Trials | RMSTD (mos) | SE | 95% CI | p Value |
|---|---|---|---|---|---|
| 12 months | 5 | 0.2 | 0.25 | −0.72, 0.3 | 0.37 |
| 24 months | 5 | 0.6 | 0.3 | −1.8, 0.5 | 0.27 |
| 36 months | 5 | 1.2 | 0.9 | −3.1, 0.6 | 0.19 |
| 48 months | 5 | 1.7 | 1.2 | −4.1, 0.6 | 0.15 |
| 60 months | 5 | 1.8 | 1.2 | −4.2, 0.7 | 0.14 |
| 72 months | 4 | 1.8 | 1.5 | −4.7, 1.2 | 0.25 |
| 96 months | 3 | 1.8 | 2.5 | −6.6, 3.2 | 0.48 |
| 120 months | 3 | 1.6 | 3.9 | −9.2, 6.1 | 0.68 |
| Time Horizon | No. Trials | RMSTD (mos) | SE | 95% CI | p Value |
|---|---|---|---|---|---|
| 12 months | 3 | 0.1 | 0.2 | −0.3, 0.6 | 0.48 |
| 24 months | 3 | 0.1 | 0.7 | −1.5, 1.4 | 0.87 |
| 36 months | 3 | 0.2 | 1.3 | −2.8, 2.3 | 0.84 |
| 48 months | 3 | 0.1 | 1.9 | −3.6, 3.8 | 0.95 |
| 60 months | 3 | 1.2 | 2.5 | −3.9, 5.7 | 0.72 |
| 72 months | 3 | 1.7 | 3.1 | −4.3, 7.7 | 0.57 |
| 96 months | 2 | 3.7 | 4.5 | −5.1, 12.5 | 0.41 |
| 120 months | 2 | 6.1 | 5.9 | −5.2, 17.7 | 0.28 |
| Time Horizon | No. Trials | RMSTD (mos) | SE | 95% CI | p Value |
|---|---|---|---|---|---|
| 12 months | 3 | 0.2 | 0.12 | −0.02, 0.4 | 0.07 |
| 24 months | 3 | 0.4 | 0.2 | −0.2, 0.9 | 0.17 |
| 36 months | 3 | 0.4 | 0.5 | −0.7, 1.4 | 0.49 |
| 48 months | 3 | 0.4 | 1.0 | −1.5, 2.4 | 0.65 |
| 60 months | 3 | 0.8 | 1.3 | −1.7, 3.4 | 0.53 |
| 72 months | 3 | 1.3 | 1.6 | −1.8, 4.5 | 0.41 |
| 96 months | 2 | 2.4 | 2.3 | −2.2, 7.1 | 0.32 |
| 120 months | 2 | 3.5 | 3.3 | −3.1, 10.2 | 0.29 |
Disclaimer/Publisher’s Note: The statements, opinions and data contained in all publications are solely those of the individual author(s) and contributor(s) and not of MDPI and/or the editor(s). MDPI and/or the editor(s) disclaim responsibility for any injury to people or property resulting from any ideas, methods, instructions or products referred to in the content. |
© 2024 by the authors. Licensee MDPI, Basel, Switzerland. This article is an open access article distributed under the terms and conditions of the Creative Commons Attribution (CC BY) license (https://creativecommons.org/licenses/by/4.0/).
Share and Cite
Aiolfi, A.; Bona, D.; Bonitta, G.; Lombardo, F.; Manara, M.; Sozzi, A.; Schlanger, D.; Popa, C.; Cavalli, M.; Campanelli, G.; et al. Long-Term Impact of D2 Lymphadenectomy during Gastrectomy for Cancer: Individual Patient Data Meta-Analysis and Restricted Mean Survival Time Estimation. Cancers 2024, 16, 424. https://doi.org/10.3390/cancers16020424
Aiolfi A, Bona D, Bonitta G, Lombardo F, Manara M, Sozzi A, Schlanger D, Popa C, Cavalli M, Campanelli G, et al. Long-Term Impact of D2 Lymphadenectomy during Gastrectomy for Cancer: Individual Patient Data Meta-Analysis and Restricted Mean Survival Time Estimation. Cancers. 2024; 16(2):424. https://doi.org/10.3390/cancers16020424
Chicago/Turabian StyleAiolfi, Alberto, Davide Bona, Gianluca Bonitta, Francesca Lombardo, Michele Manara, Andrea Sozzi, Diana Schlanger, Calin Popa, Marta Cavalli, Giampiero Campanelli, and et al. 2024. "Long-Term Impact of D2 Lymphadenectomy during Gastrectomy for Cancer: Individual Patient Data Meta-Analysis and Restricted Mean Survival Time Estimation" Cancers 16, no. 2: 424. https://doi.org/10.3390/cancers16020424
APA StyleAiolfi, A., Bona, D., Bonitta, G., Lombardo, F., Manara, M., Sozzi, A., Schlanger, D., Popa, C., Cavalli, M., Campanelli, G., Biondi, A., & Bonavina, L., on behalf of OGSA Group for Esophagogastric Surgery. (2024). Long-Term Impact of D2 Lymphadenectomy during Gastrectomy for Cancer: Individual Patient Data Meta-Analysis and Restricted Mean Survival Time Estimation. Cancers, 16(2), 424. https://doi.org/10.3390/cancers16020424

