The Magee 3 Equation Predicts Favorable Pathologic Response to Neoadjuvant Endocrine Therapy in Breast Cancer Patients
Abstract
Simple Summary
Abstract
1. Introduction
2. Materials and Methods
2.1. Study Design and Setting
2.2. Ethical Aspects
2.3. Participants’ Accrual and Data Collection
2.4. Analyzed Variables
- Sociodemographic information: Age (continuous variable); menopausal status (pre-/peri- versus postmenopausal); gender (female versus male).
- Performance status: Functional performance measured using the Eastern Cooperative Oncology Group (ECOG) performance status scale, ranging from 0 (best functionality) to 5 (worst functionality) [15].
- Tumor stage: initial anatomic clinical staging grouped according to the TNM AJCC 8th edition staging system.
- Treatment-related variables: Type of medication used in neoadjuvant therapy; adjuvant chemotherapy (yes versus no); type of adjuvant chemotherapy; type of surgery (mastectomy versus breast-conserving surgery); type of adjuvant hormone therapy; adjuvant radiotherapy (yes versus no); duration of hormone therapy use (continuous variable, in days).
- Tumor pathology-related variables: Histological type (no special type (NST) versus lobular versus mucinous versus other types); Nottingham histological grade (ranging from 0 to 9 and classified as grades 1, 2, or 3); estrogen receptor (positive, if at least 1% of tested cells are positive versus negative); progesterone receptor (positive, if at least 1% of tested cells are positive versus negative); HER2 (positive versus negative versus equivocal); Ki-67 (continuous variable using a cut-off of 20%); molecular subtype (luminal A versus luminal B). ESMO criteria were used to define luminal A and B [16]. The H-Score for both ER and PR was calculated by multiplying the intensity of immunohistochemical staining (0 = absent, 1 = weak, 2 = moderate, 3 = strong) with the percentage of staining (ranging from 0 to 100). Thus, the H-Score for both ER and PR ranges from 0 to 300. Pretreatment tumor size was obtained from clinical records as the maximum unidimensional measurement. The preferred order for selecting the imaging modality for measuring tumor size was as follows: magnetic resonance imaging, ultrasound, or physical examination.
- Magee equations: Three multivariate models (Magee equations (MEs)) and an average score calculation are available. The MEs can be computed using a free online calculator (https://path.upmc.edu/onlineTools/mageeequations.html (accessed on 20 October 2023)). ME1 utilizes data on tumor size, Nottingham score, estrogen receptor (ER), progesterone receptor (PR), HER2, and Ki-67. ME2 employs similar data as ME1 but excludes Ki-67. ME3 relies solely on ER, PR, HER2, and Ki-67 for computation. The MEs were analyzed in three different ways: as a continuous variable, based on three categories from previous studies (original 3-tier; < 18 vs. 18–31 vs. > 31), and using a cutoff defined through the present analysis into two categories (new 2-tier, < or > the best cutoff point determined using the ROC curve).
- Response assessment: The pathological response was categorized as follows: complete pathological response (yp0), indicating no residual invasive carcinoma in the breast and axillary nodes, or PCR/minimal residual disease (PCR/MRD), which encompasses the occurrence of either yp0 or ypIA. Pathological stage group IA was included as an outcome, taking into account that PEPI score 0 includes tumors up to 2 cm and negative lymph nodes, i.e., ypIA.
2.5. Statistical Analysis
3. Results
3.1. Patient Characteristics
3.2. Factors Correlating with Pathological Response
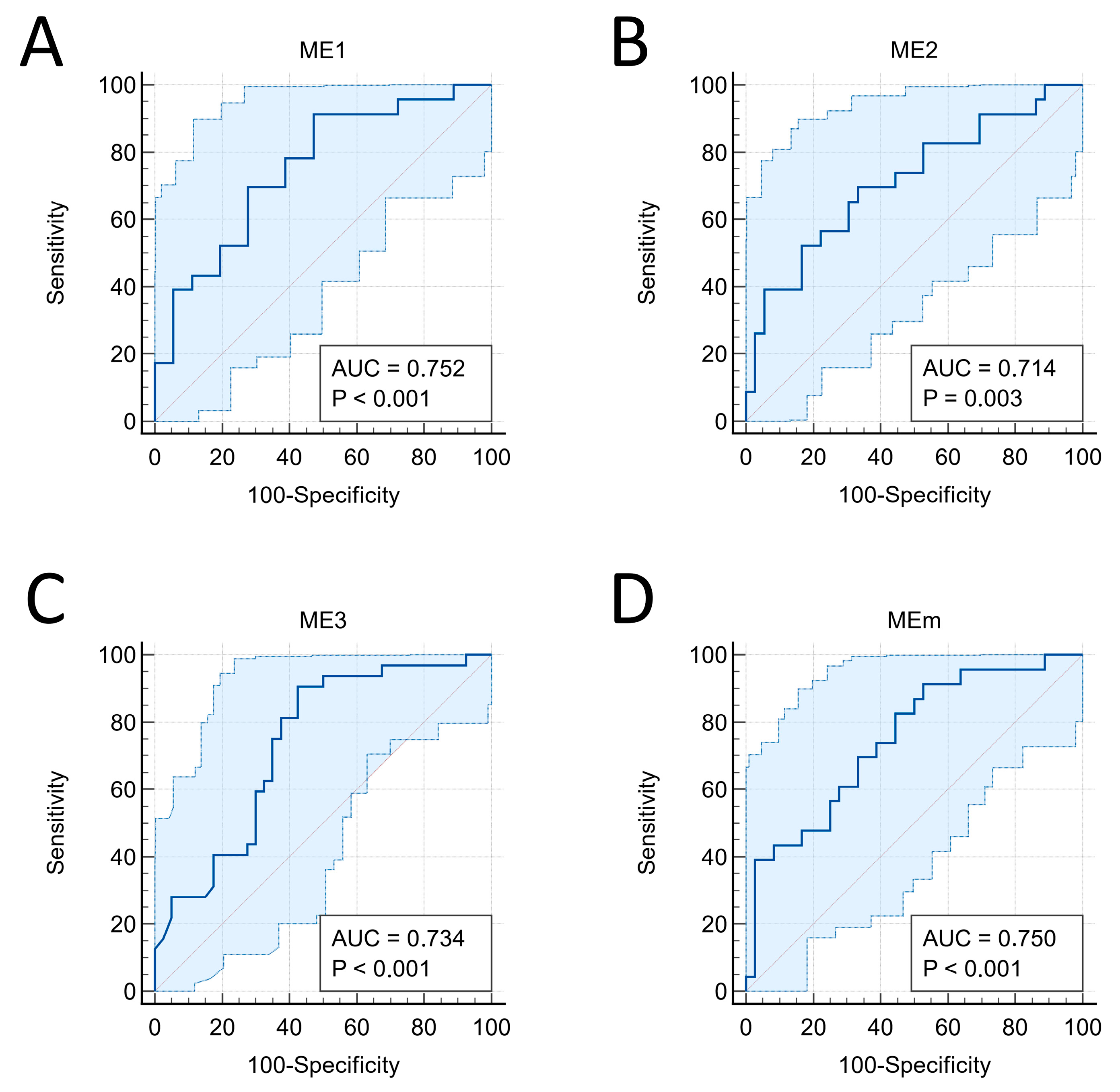
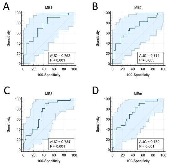
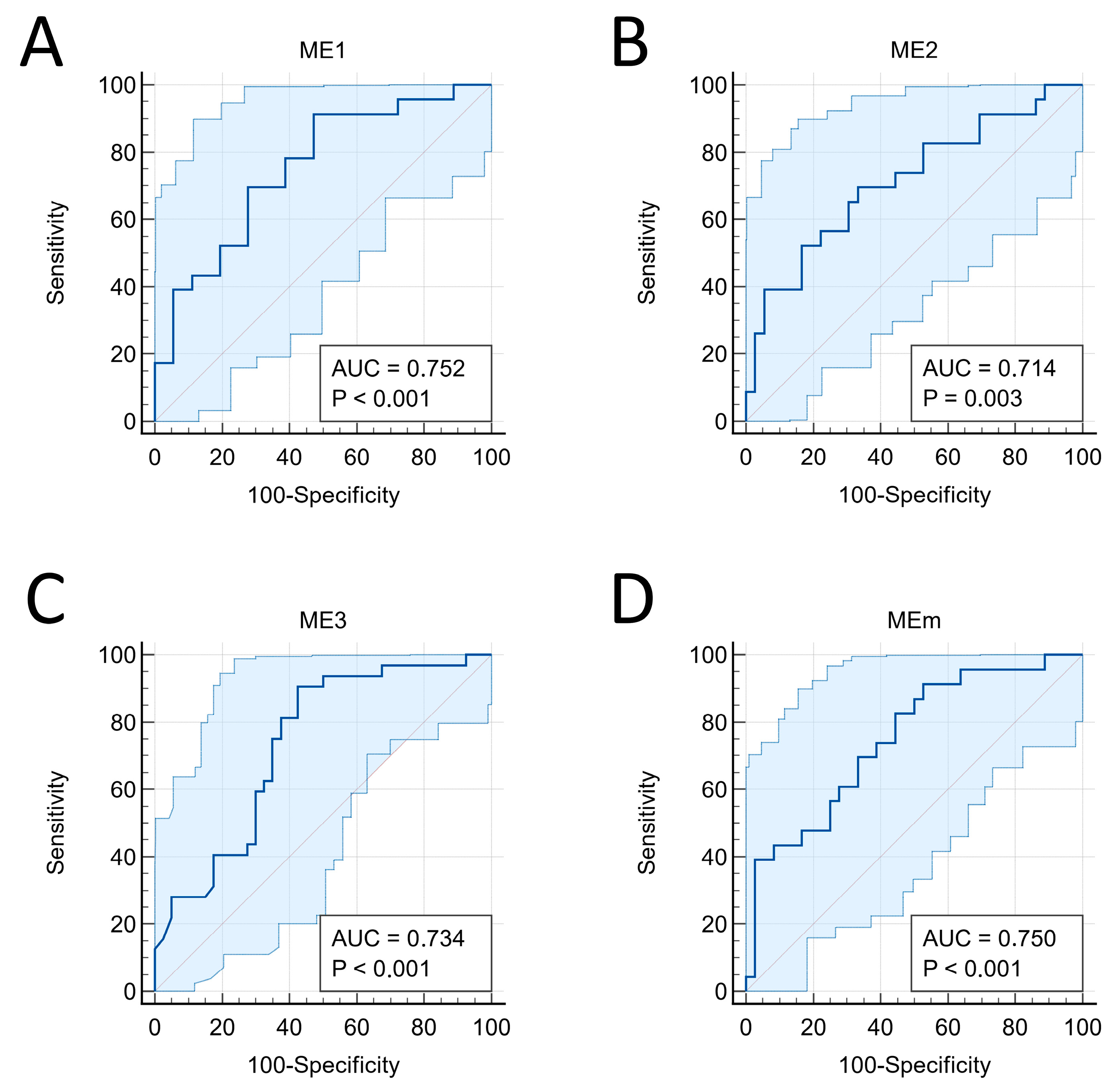
3.3. Association between ME3 and Pathologic Response
4. Discussion
5. Conclusions
Supplementary Materials
Author Contributions
Funding
Institutional Review Board Statement
Informed Consent Statement
Data Availability Statement
Acknowledgments
Conflicts of Interest
References
- Alba, E.; Calvo, L.; Albanell, J.; De la Haba, J.R.; Arcusa Lanza, A.; Chacon, J.I.; Sanchez-Rovira, P.; Plazaola, A.; Lopez Garcia-Asenjo, J.A.; Bermejo, B.; et al. Chemotherapy (CT) and hormonotherapy (HT) as neoadjuvant treatment in luminal breast cancer patients: Results from the GEICAM/2006-03, a multicenter, randomized, phase-II study. Ann. Oncol. 2012, 23, 3069–3074. [Google Scholar] [CrossRef] [PubMed]
- Palmieri, C.; Cleator, S.; Kilburn, L.S.; Kim, S.B.; Ahn, S.-H.; Beresford, M.; Gong, G.; Mansi, J.; Mallon, E.; Reed, S.; et al. NEOCENT: A randomised feasibility and translational study comparing neoadjuvant endocrine therapy with chemotherapy in ER-rich postmenopausal primary breast cancer. Breast Cancer Res. Treat. 2014, 148, 581–590. [Google Scholar] [CrossRef] [PubMed]
- Semiglazov, V.F.; Semiglazov, V.V.; Dashyan, G.A.; Ziltsova, E.K.; Ivanov, V.G.; Bozhok, A.A.; Melnikova, O.A.; Paltuev, R.M.; Kletzel, A.; Berstein, L.M. Phase 2 randomized trial of primary endocrine therapy versus chemotherapy in postmenopausal patients with estrogen receptor-positive breast cancer. Cancer 2007, 110, 244–254. [Google Scholar] [CrossRef] [PubMed]
- Chiba, A.; Hoskin, T.L.; Heins, C.N.; Hunt, K.K.; Habermann, E.B.; Boughey, J.C. Trends in Neoadjuvant Endocrine Therapy Use and Impact on Rates of Breast Conservation in Hormone Receptor-Positive Breast Cancer: A National Cancer Data Base Study. Ann. Surg. Oncol. 2017, 24, 418–424. [Google Scholar] [CrossRef]
- Sparano, J.A.; Gray, R.J.; Makower, D.F.; Pritchard, K.I.; Albain, K.S.; Hayes, D.F.; Geyer, C.E.; Dees, E.C.; Goetz, M.P.; Olson, J.A.; et al. Adjuvant Chemotherapy Guided by a 21-Gene Expression Assay in Breast Cancer. N. Engl. J. Med. 2018, 379, 111–121. [Google Scholar] [CrossRef]
- Kalinsky, K.; Barlow, W.E.; Gralow, J.R.; Meric-Bernstam, F.; Albain, K.S.; Hayes, D.F.; Lin, N.U.; Perez, E.A.; Goldstein, L.J.; Chia, S.K.L.; et al. 21-Gene Assay to Inform Chemotherapy Benefit in Node-Positive Breast Cancer. N. Engl. J. Med. 2021, 385, 2336–2347. [Google Scholar] [CrossRef]
- Garufi, G.; Carbognin, L.; Arcanà, C.; Parola, S.; Ventriglia, A.; Doronzo, A.; Garutti, M.; Orlandi, A.; Palazzo, A.; Fabi, A.; et al. Tailoring neoadjuvant treatment of HR-positive/HER2-negative breast cancers: Which role for gene expression assays? Cancer Treat. Rev. 2022, 110, 102454. [Google Scholar] [CrossRef]
- Taylor, C.; Meisel, J.; Foreman, A.J.; Russell, C.; Bandyopadhyay, D.; Deng, X.; Floyd, L.; Zelnak, A.; Bear, H.; O’Regan, R. Using Oncotype DX breast recurrence score® assay to define the role of neoadjuvant endocrine therapy in early-stage hormone receptor-positive breast cancer. Breast Cancer Res. Treat. 2023, 199, 91–98. [Google Scholar] [CrossRef]
- Iwata, H.; Masuda, N.; Yamamoto, Y.; Fujisawa, T.; Toyama, T.; Kashiwaba, M.; Ohtani, S.; Taira, N.; Sakai, T.; Hasegawa, Y.; et al. Validation of the 21-gene test as a predictor of clinical response to neoadjuvant hormonal therapy for ER+, HER2-negative breast cancer: The TransNEOS study. Breast Cancer Res. Treat. 2019, 173, 123–133. [Google Scholar] [CrossRef]
- Klein, M.E.; Dabbs, D.J.; Shuai, Y.; Brufsky, A.M.; Jankowitz, R.; Puhalla, S.L.; Bhargava, R. Prediction of the Oncotype DX recurrence score: Use of pathology-generated equations derived by linear regression analysis. Mod. Pathol. 2013, 26, 658–664. [Google Scholar] [CrossRef]
- Turner, B.M.; Skinner, K.A.; Tang, P.; Jackson, M.C.; Soukiazian, N.; Shayne, M.; Huston, A.; Ling, M.; Hicks, D.G. Use of modified Magee equations and histologic criteria to predict the Oncotype DX recurrence score. Mod. Pathol. 2015, 28, 921–931. [Google Scholar] [CrossRef] [PubMed]
- Bhargava, R.; Clark, B.Z.; Carter, G.J.; Brufsky, A.M.; Dabbs, D.J. The healthcare value of the Magee Decision AlgorithmTM: Use of Magee EquationsTM and mitosis score to safely forgo molecular testing in breast cancer. Mod. Pathol. 2020, 33, 1563–1570. [Google Scholar] [CrossRef] [PubMed]
- Bhargava, R.; Dabbs, D.J. The Story of the Magee Equations: The Ultimate in Applied Immunohistochemistry. Appl. Immunohistochem. Mol. Morphol. AIMM 2023, 31, 490–499. [Google Scholar] [CrossRef] [PubMed]
- Harris, P.A.; Taylor, R.; Thielke, R.; Payne, J.; Gonzalez, N.; Conde, J.G. Research electronic data capture (REDCap)-A metadata-driven methodology and workflow process for providing translational research informatics support. J. Biomed. Inform. 2009, 42, 377–381. [Google Scholar] [CrossRef]
- Oken, M.M.; Creech, R.H.; Tormey, D.C.; Horton, J.; Davis, T.E.; McFadden, E.T.; Carbone, P.P. Toxicity and response criteria of the Eastern Cooperative Oncology Group. Am. J. Clin. Oncol. 1982, 5, 649–655. [Google Scholar] [CrossRef]
- Maisonneuve, P.; Disalvatore, D.; Rotmensz, N.; Curigliano, G.; Colleoni, M.; Dellapasqua, S.; Pruneri, G.; Mastropasqua, M.G.; Luini, A.; Bassi, F.; et al. Proposed new clinicopathological surrogate definitions of luminal A and luminal B (HER2-negative) intrinsic breast cancer subtypes. Breast Cancer Res. BCR 2014, 16, R65. [Google Scholar] [CrossRef] [PubMed]
- Alsaleh, K.; Al Zahwahry, H.; Bounedjar, A.; Oukkal, M.; Saadeddine, A.; Mahfouf, H.; Bouzid, K.; Bensalem, A.; Filali, T.; Abdel-Razeq, H.; et al. Neoadjuvant endocrine therapy with or without palbociclib in low-risk patients: A phase III randomized double-blind SAFIA trial. J. Cancer Res. Clin. Oncol. 2023, 149, 6171–6179. [Google Scholar] [CrossRef]
- Soran, A.; Tane, K.; Sezgin, E.; Bhargava, R. The Correlation of Magee EquationsTM and Oncotype DX® Recurrence Score From Core Needle Biopsy Tissues in Predicting Response to Neoadjuvant Chemotherapy in ER+ and HER2- Breast Cancer. Eur. J. Breast Health 2020, 16, 117–123. [Google Scholar] [CrossRef]
- Hou, Y.; Zynger, D.L.; Li, X.; Li, Z. Comparison of Oncotype DX With Modified Magee Equation Recurrence Scores in Low-Grade Invasive Carcinoma of Breast. Am. J. Clin. Pathol. 2017, 148, 167–172. [Google Scholar] [CrossRef]
- Farrugia, D.J.; Landmann, A.; Zhu, L.; Diego, E.J.; Johnson, R.R.; Bonaventura, M.; Soran, A.; Dabbs, D.J.; Clark, B.Z.; Puhalla, S.L.; et al. Magee Equation 3 Predicts Pathologic Response to Neoadjuvant Systemic Chemotherapy in Estrogen Receptor Positive, HER2 Negative/Equivocal Breast Tumors. Mod. Pathol. 2017, 30, 1078–1085. [Google Scholar] [CrossRef]
- Bhargava, R.; Esposito, N.N.; O’Connor, S.M.; Li, Z.; Turner, B.M.; Moisini, I.; Ranade, A.; Harris, R.P.; Miller, D.V.; Li, X.; et al. Magee EquationsTM and Response to Neoadjuvant Chemotherapy in ER+/HER2-Negative Breast Cancer: A Multi-Institutional Study. Mod. Pathol. 2021, 34, 77–84. [Google Scholar] [CrossRef] [PubMed]
- Ellis, M.J.; Tao, Y.; Luo, J.; A’Hern, R.; Evans, D.B.; Bhatnagar, A.S.; Chaudri Ross, H.A.; Von Kameke, A.; Miller, W.R.; Smith, I.; et al. Outcome prediction for estrogen receptor-positive breast cancer based on postneoadjuvant endocrine therapy tumor characteristics. J. Natl. Cancer Inst. 2008, 100, 1380–1388. [Google Scholar] [CrossRef] [PubMed]

| Characteristics | N | % |
|---|---|---|
| Menopausal status | ||
| Peri/premenopausal | 3 | 4.0 |
| Postmenopausal | 72 | 96.0 |
| Histologic type | ||
| Ductal/No special type | 65 | 86.7 |
| Lobular | 3 | 4.0 |
| Mucinous | 2 | 2.7 |
| Other | 5 | 6.7 |
| Nuclear grade | ||
| I | 8 | 10.7 |
| II | 47 | 62.7 |
| III | 18 | 24.0 |
| Missing | 2 | 2.7 |
| Nottingham grade | ||
| I | 23 | 30.7 |
| II | 43 | 57.3 |
| III | 8 | 10.7 |
| Missing | 1 | 1.3 |
| Estrogen receptor | ||
| Negative | 1 | 1.3 |
| Positive | 74 | 98.7 |
| Progesterone receptor | ||
| Negative | 8 | 10.7 |
| Positive | 67 | 89.3 |
| HER2 | ||
| Negative | 73 | 97.3 |
| Positive | 2 | 2.7 |
| ECOG-PS | ||
| 0 | 33 | 44.0 |
| 1 | 30 | 40.0 |
| 2 | 6 | 8.0 |
| 3 | 2 | 2.7 |
| Missing | 4 | 5.3 |
| Initial TNM clinical stage group | ||
| IA | 16 | 21.3 |
| IIA | 28 | 37.3 |
| IIB | 9 | 12.0 |
| IIIA | 6 | 8.0 |
| IIIB | 16 | 21.3 |
| Molecular subtype | ||
| Luminal A | 41 | 54.7 |
| Luminal B | 34 | 45.3 |
| Endocrine therapy medication | ||
| Anastrozole | 67 | 87.2 |
| Letrozole | 6 | 7.4 |
| Exemestane | 6 | 7.4 |
| Tamoxifen | 2 | 2.5 |
| Surgery type | ||
| Mastectomy | 26 | 34.7 |
| Breast-conserving | 41 | 54.7 |
| Other | 6 | 8.0 |
| Missing | 2 | 2.7 |
| Pathological response (PCR) | ||
| Yes | 3 | 4.0 |
| No | 69 | 92.0 |
| Missing | 3 | 4.0 |
| Pathological response (PCR/MRD) | ||
| Yes | 32 | 42.7 |
| No | 40 | 53.3 |
| Missing | 3 | 4.0 |
| Characteristics | Median | p25-p75 |
| Magee equations | ||
| ME1 | 18.06 | 12.89–24.12 |
| ME2 | 16.35 | 12.85–22.21 |
| ME3 | 17.80 | 12.79–21.51 |
| Mem | 18.00 | 12.59–22.48 |
| Variables | Pathologic Response # | p-Value | |
|---|---|---|---|
| Yes | No | ||
| Age (years), median (p25–p75) | 65.46 (62.47–77.02) | 69.37 (61.22–78.17) | 0.493 ³ |
| Menopausal status, n (%) | 0.581 ¹ | ||
| Pre or peri | 2 (6.25) | 1 (2.5) | |
| Post | 30 (93.75) | 39 (97.5) | |
| Histologic type, n (%) | 0.326 ¹ | ||
| Ductal | 30 (93.75) | 32 (80) | |
| Lobular | 0 (0) | 3 (7.5) | |
| Mucinous | 1 (3.12) | 1 (2.5) | |
| Other | 1 (3.12) | 4 (10.0) | |
| Nottingham grade, n (%) | 0.584 ¹ | ||
| I | 11 (34.4) | 12 (30.0) | |
| II | 19 (59.4) | 22 (55.0) | |
| III | 2 (6.3) | 6 (15.0) | |
| Nuclear grade, n (%) | 0.791 ¹ | ||
| I | 3 (94.0) | 5 (12.8) | |
| II | 22 (68.8) | 23 (59.0) | |
| III | 7 (21.9) | 11 (28.2) | |
| Molecular subtype, n (%) | 0.002 ² | ||
| Luminal A | 24 (75.0) | 15 (37.5) | |
| Luminal B | 8 (25.0) | 25 (62.5) | |
| Duration of NET (days), median (p25–p75) | 183 (169–212) | 189.5 (165–221.5) | 0.892 ³ |
| Initial TNM clinical stage group, n (%) | 0.001 ¹ | ||
| IA | 13 (40.6) | 3 (7.5) | |
| IIA | 13 (40.6) | 14 (35.0) | |
| IIB | 1 (3.1) | 7 (17.5) | |
| IIIA | 2 (6.3) | 3 (7.5) | |
| IIIB | 3 (9.4) | 13 (32.5) | |
| ME3 (new 2-tier), n (%) | <0.001 ² | ||
| <20 | 29 (90.6) | 17 (42.5) | |
| ≥20 | 3 (9.4) | 23 (57.5) | |
| ME3 (original 3-tier), n (%) | 0.013 ¹ | ||
| <18 | 22 (68.8) | 14 (35.0) | |
| 18–31 | 9 (28.1) | 23 (57.5) | |
| >31 | 1 (3.1) | 3 (7.5) | |
| ME3 (continuous), median (p25–p75) | 16.29 (11.71–18.86) | 20.39 (14.60–23.88) | 0.001 ³ |
| Variables | OR (95% CI) | p-Value |
|---|---|---|
| Initial clinical stage group | ||
| IA | 1.000 (ref.) | Ref. |
| IIA | 0.247 (0.050–1.223) | 0.087 |
| IIB | 0.042 (0.03–0.562) | 0.017 |
| IIIA | 0.208 (0.018–2.362) | 0.205 |
| IIIB | 0.097 (0.014–0.676) | 0.018 |
| ME3 (new 2-tier) | ||
| ≥20 | 1.000 (ref.) | Ref. |
| <20 | 9.585 (2.291–40.100) | 0.002 |
| Post | 72 | 96.0 |
Disclaimer/Publisher’s Note: The statements, opinions and data contained in all publications are solely those of the individual author(s) and contributor(s) and not of MDPI and/or the editor(s). MDPI and/or the editor(s) disclaim responsibility for any injury to people or property resulting from any ideas, methods, instructions or products referred to in the content. |
© 2024 by the authors. Licensee MDPI, Basel, Switzerland. This article is an open access article distributed under the terms and conditions of the Creative Commons Attribution (CC BY) license (https://creativecommons.org/licenses/by/4.0/).
Share and Cite
Paiva, C.E.; Zonta, M.P.M.; Granero, R.C.; Guimarães, V.S.; Pimenta, L.M.; Teixeira, G.R.; Paiva, B.S.R. The Magee 3 Equation Predicts Favorable Pathologic Response to Neoadjuvant Endocrine Therapy in Breast Cancer Patients. Cancers 2024, 16, 339. https://doi.org/10.3390/cancers16020339
Paiva CE, Zonta MPM, Granero RC, Guimarães VS, Pimenta LM, Teixeira GR, Paiva BSR. The Magee 3 Equation Predicts Favorable Pathologic Response to Neoadjuvant Endocrine Therapy in Breast Cancer Patients. Cancers. 2024; 16(2):339. https://doi.org/10.3390/cancers16020339
Chicago/Turabian StylePaiva, Carlos Eduardo, Maria Paola Montesso Zonta, Rafaela Carvalho Granero, Vitor Souza Guimarães, Layla Melo Pimenta, Gustavo Ramos Teixeira, and Bianca Sakamoto Ribeiro Paiva. 2024. "The Magee 3 Equation Predicts Favorable Pathologic Response to Neoadjuvant Endocrine Therapy in Breast Cancer Patients" Cancers 16, no. 2: 339. https://doi.org/10.3390/cancers16020339
APA StylePaiva, C. E., Zonta, M. P. M., Granero, R. C., Guimarães, V. S., Pimenta, L. M., Teixeira, G. R., & Paiva, B. S. R. (2024). The Magee 3 Equation Predicts Favorable Pathologic Response to Neoadjuvant Endocrine Therapy in Breast Cancer Patients. Cancers, 16(2), 339. https://doi.org/10.3390/cancers16020339

