Dosimetric Comparison and Selection Criteria of Intensity-Modulated Proton Therapy and Intensity-Modulated Radiation Therapy for Adaptive Re-Plan in T3-4 Nasopharynx Cancer Patients
Abstract
Simple Summary
Abstract
1. Introduction
2. Materials and Methods
2.1. Patients
2.2. Radiation Therapy
2.3. Rival Plans for Adaptive Re-Plan
2.4. Dosimetric Parameters
2.5. Shortest Distance between the Target and OARs
2.6. Statistical Analysis
3. Results
3.1. Patient Characteristics
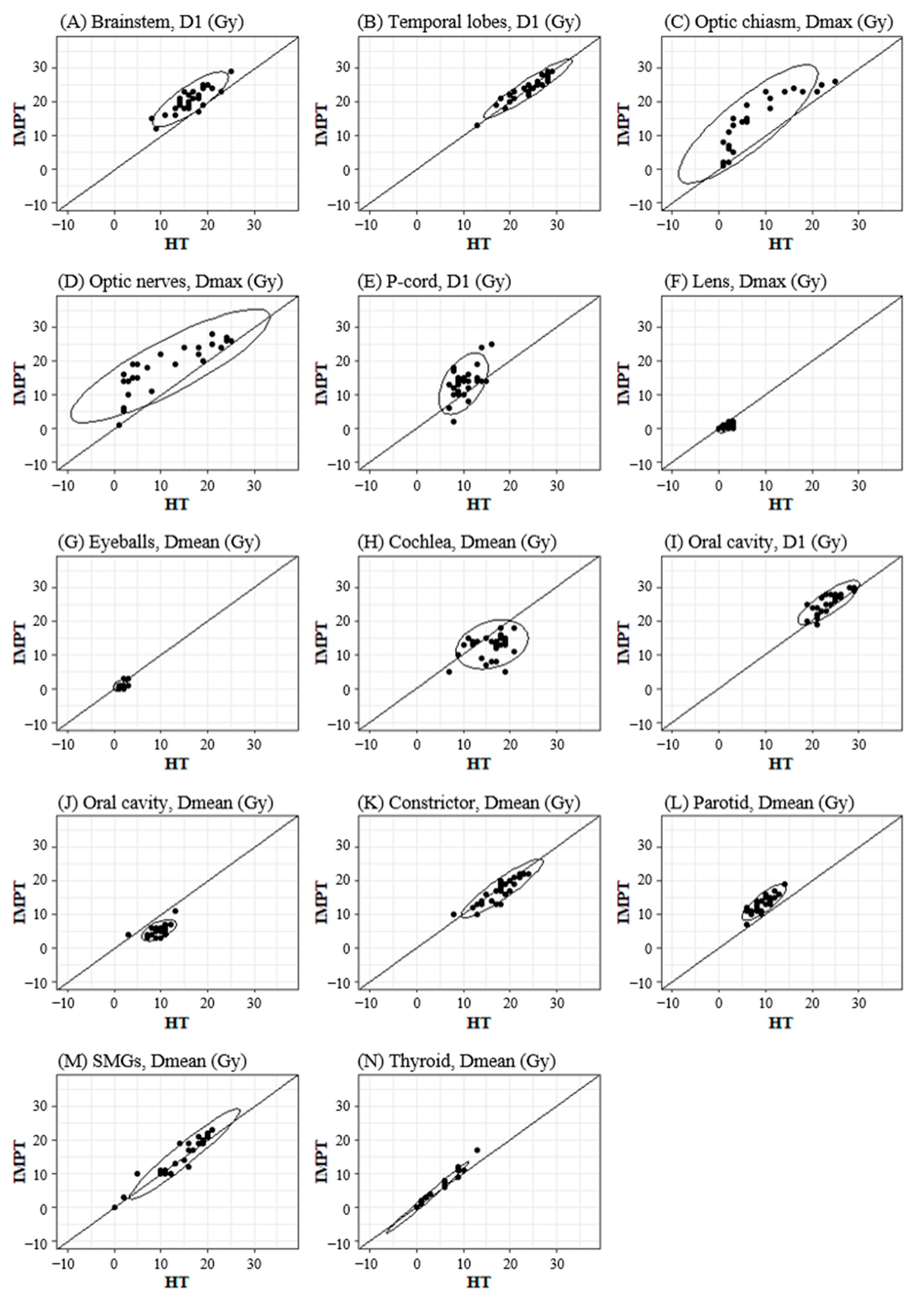
3.2. Dosimetric Comparison
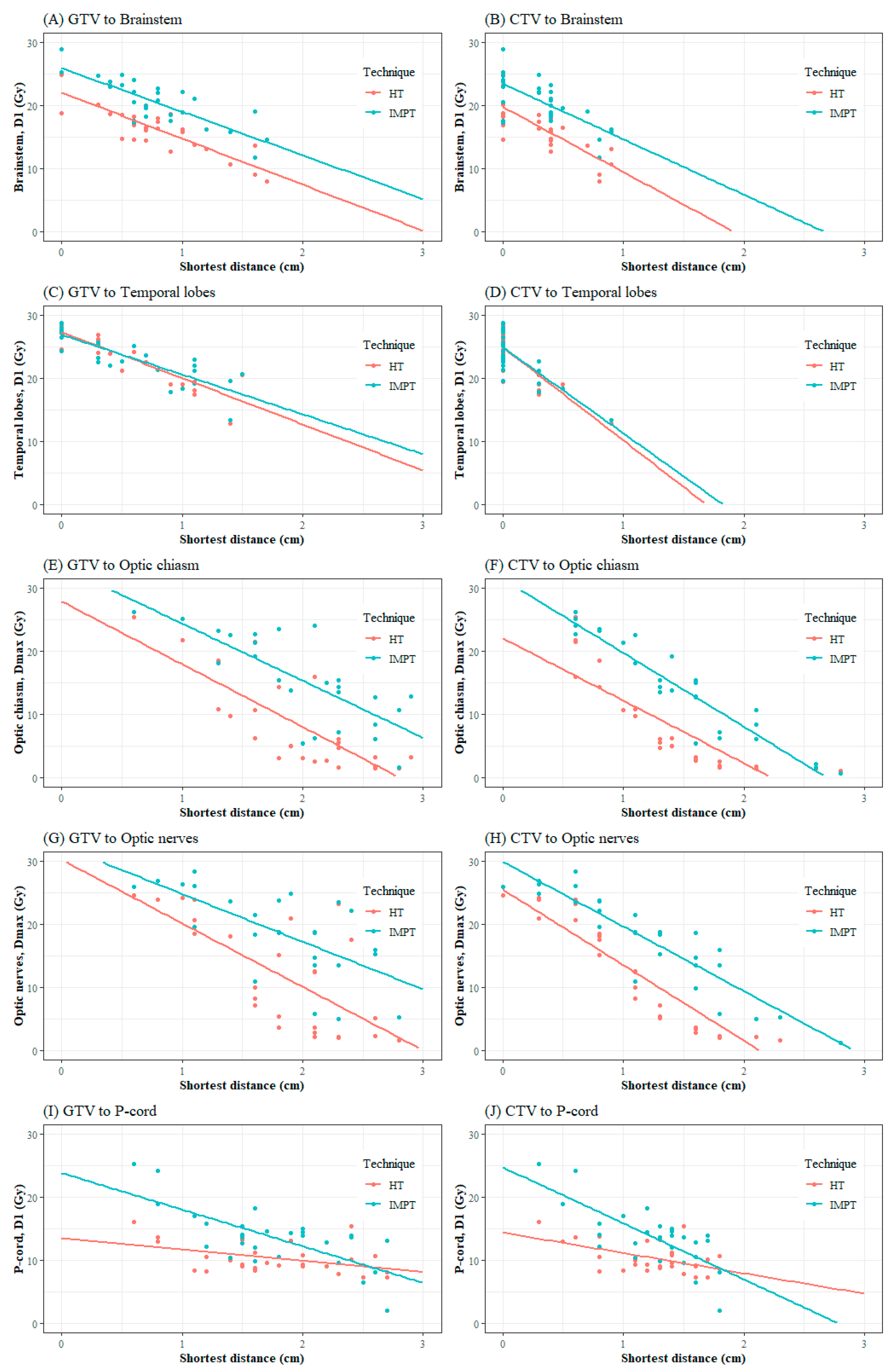
3.3. Target to OAR Distance
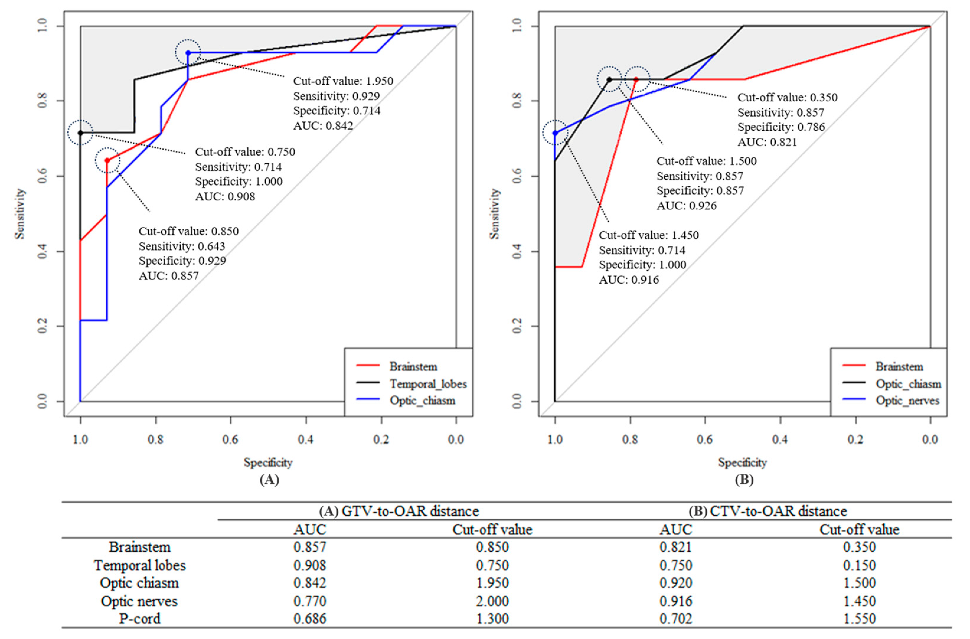
3.4. Comparison of the Selected Adaptive Plans
4. Discussion
5. Conclusions
Supplementary Materials
Author Contributions
Funding
Institutional Review Board Statement
Informed Consent Statement
Data Availability Statement
Conflicts of Interest
References
- Zhang, Y.; Rumgay, H.; Li, M.; Cao, S.; Chen, W. Nasopharyngeal Cancer Incidence and Mortality in 185 Countries in 2020 and the Projected Burden in 2040: Population-Based Global Epidemiological Profiling. JMIR Public Health Surveill. 2023, 9, e49968. [Google Scholar] [CrossRef] [PubMed]
- Kubicek, G.J.; Machtay, M. New advances in high-technology radiotherapy for head and neck cancer. Hematol. Oncol. Clin. North. Am. 2008, 22, 1165–1180. [Google Scholar] [CrossRef] [PubMed]
- Bhide, S.A.; Nutting, C.M. Advances in radiotherapy for head and neck cancer. Oral. Oncol. 2010, 46, 439–441. [Google Scholar] [CrossRef]
- Gregoire, V.; Langendijk, J.A.; Nuyts, S. Advances in radiotherapy for head and neck cancer. J. Clin. Oncol. 2015, 33, 3277–3284. [Google Scholar] [CrossRef]
- Peng, G.; Wang, T.; Yang, K.Y.; Zhang, S.; Zhang, T.; Li, Q.; Han, J.; Wu, G. A prospective, randomized study comparing outcomes and toxicities of intensity-modulated radiotherapy vs. conventional two-dimensional radiotherapy for the treatment of nasopharyngeal carcinoma. Radiother. Oncol. 2012, 104, 286–293. [Google Scholar] [CrossRef]
- Sun, X.; Su, S.; Chen, C.; Han, F.; Zhao, C.; Xiao, W.; Deng, X.; Huang, S.; Lin, C.; Lu, T. Long-term outcomes of intensity-modulated radiotherapy for 868 patients with nasopharyngeal carcinoma: An analysis of survival and treatment toxicities. Radiother. Oncol. 2014, 110, 398–403. [Google Scholar] [CrossRef]
- Ahmed, K.A.; Demetriou, S.K.; McDonald, M.; Johnstone, P.A. Clinical Benefits of Proton Beam Therapy for Tumors of the Skull Base. Cancer Control. 2016, 23, 213–219. [Google Scholar] [CrossRef] [PubMed]
- Baumann, B.C.; Lustig, R.A.; Mazzoni, S.; Grady, S.M.; O’Malley, B.W.; Lee, J.Y.K.; Newman, J.G.; Schuster, J.M.; Both, S.; Lin, A.; et al. A prospective clinical trial of proton therapy for chordoma and chondrosarcoma: Feasibility assessment. J. Surg. Oncol. 2019, 120, 200–205. [Google Scholar] [CrossRef] [PubMed]
- Alahmari, M.; Temel, Y. Skull base chordoma treated with proton therapy: A systematic review. Surg. Neurol. Int. 2019, 10, 96. [Google Scholar] [CrossRef]
- Williams, V.M.; Parvathaneni, U.; Laramore, G.E.; Aljabab, S.; Wong, T.P.; Liao, J.J. Intensity-Modulated Proton Therapy for Nasopharynx Cancer: 2-year Outcomes from a Single Institution. Int. J. Part. Ther. 2021, 8, 28–40. [Google Scholar] [CrossRef]
- Lee, H.; Ahn, Y.C.; Oh, D.; Nam, H.; Noh, J.M.; Park, S.Y. Tumor volume reduction rate during adaptive radiation therapy as a prognosticator for nasopharyngeal cancer. Cancer Res. Treat. 2016, 48, 537–545. [Google Scholar] [CrossRef] [PubMed]
- Cho, W.K.; Oh, D.; Lee, E.; Kim, T.G.; Lee, H.; Nam, H.; Noh, J.M.; Ahn, Y.C. Feasibility of Selective Neck Irradiation with Lower Elective Radiation Dose in Treating Nasopharynx Cancer Patients. Cancer Res. Treat. 2019, 51, 603–610. [Google Scholar] [CrossRef] [PubMed]
- Zhang, Y.Y.; Huo, W.L.; Goldberg, S.I.; Slater, J.M.; Adams, J.A.; Deng, X.W.; Sun, Y.; Ma, J.; Fullerton, B.C.; Paganetti, H.; et al. Brain-Specific Relative Biological Effectiveness of Protons Based on Long-term Outcome of Patients with Nasopharyngeal Carcinoma. Int. J. Radiat. Oncol. Biol. Phys. 2021, 110, 984–992. [Google Scholar] [CrossRef] [PubMed]
- Vai, A.; Molinelli, S.; Rossi, E.; Iacovelli, N.A.; Magro, G.; Cavallo, A.; Pignoli, E.; Rancati, T.; Mirandola, A.; Russo, S.; et al. Proton radiation therapy for nasopharyngeal cancer patients: Dosimetric and NTCP evaluation supporting clinical decision. Cancers. 2022, 14, 1109. [Google Scholar] [CrossRef]
- Schroeder, C.; Köthe, A.; De Angelis, C.; Basler, L.; Leiser, D.; Lomax, A.; Weber, D.C. NTCP Modelling for High Grade Temporal Radio-Necrosis in a Large Cohort of Patients Receiving PBS Proton Therapy for Skull Base and Head and Neck Tumors. Int. J. Radiat. Oncol. Biol. Phys. 2021, 111, e586–e587. [Google Scholar] [CrossRef]
- Zheng, Y.; Han, F.; Xiao, W.; Xiang, Y.; Lu, L.; Deng, X.; Cui, N.; Zhao, C. Analysis of late toxicity in nasopharyngeal carcinoma patients treated with intensity modulated radiation therapy. Radiat. Oncol. 2015, 10, 17. [Google Scholar] [CrossRef]
- Zanoni, D.K.; Patel, S.G.; Shah, J.P. Changes in the 8th Edition of the American Joint Committee on Cancer (AJCC) Staging of Head and Neck Cancer: Rationale and Implications. Curr. Oncol. Rep. 2019, 21, 52. [Google Scholar] [CrossRef]
- Lee, A.W.; Ng, W.T.; Pan, J.J.; Poh, S.S.; Ahn, Y.C.; AlHussain, H.; Corry, J.; Grau, C.; Grégoire, V.; Harrington, K.J.; et al. International guideline for the delineation of the clinical target volumes (CTV) for nasopharyngeal carcinoma. Radiother. Oncol. 2018, 126, 25–36. [Google Scholar] [CrossRef]
- Brouwer, C.L.; Steenbakkers, R.J.; Bourhis, J.; Budach, W.; Grau, C.; Grégoire, V.; Herk, M.; Lee, A.; Maingon, P.; Nutting, C.; et al. CT-based delineation of organs at risk in the head and neck region: DAHANCA, EORTC, GORTEC, HKNPCSG, NCIC CTG, NCRI, NRG Oncology and TROG consensus guidelines. Radiother. Oncol. 2015, 117, 83–90. [Google Scholar] [CrossRef]
- Li, K.; Yang, L.; Hu, Q.-Y.; Chen, X.-Z.; Chen, M.; Chen, Y. Oral mucosa dose parameters predicting grade≥ 3 acute toxicity in locally advanced nasopharyngeal carcinoma patients treated with concurrent intensity-modulated radiation therapy and chemotherapy: An independent validation study comparing oral cavity versus mucosal surface contouring techniques. Trans. Oncol. 2017, 10, 752–759. [Google Scholar]
- Chen, Y.; Chen, Q.; Chen, M.; Lu, W. Dynamic tomotherapy delivery. Med. Phys. 2011, 38, 3013–3024. [Google Scholar] [CrossRef] [PubMed]
- Chang, L.; Shaaban, S.G.; Gogineni, E.; Page, B.; Quon, H.; Li, H.; Ger, R. Daily Head and Neck Treatment Assessment for Optimal Proton Therapy Planning Robustness. Cancers. 2023, 15, 3719. [Google Scholar] [CrossRef]
- Rojo-Santiago, J.; Korevaar, E.; Perkó, Z.; Both, S.; Habraken, S.J.M.; Hoogeman, M.S. PTV-based VMAT vs. robust IMPT for head-and-neck cancer: A probabilistic uncertainty analysis of clinical plan evaluation with the Dutch model-based selection. Radiother. Oncol. 2023, 186, 109729. [Google Scholar] [CrossRef]
- Bentzen, S.M.; Constine, L.S.; Deasy, J.O.; Eisbruch, A.; Jackson, A.; Marks, L.B.; Haken, R.K.T.; Yorke, E.D. Quantitative Analyses of Normal Tissue Effects in the Clinic (QUANTEC): An introduction to the scientific issues. Int. J. Radiat. Oncol. Biol. Phys. 2010, 76, S3–S9. [Google Scholar] [CrossRef] [PubMed]
- Wu, Q.; Mohan, R.; Morris, M.; Lauve, A.; Schmidt-Ullrich, R. Simultaneous integrated boost intensity-modulated radiotherapy for locally advanced head-and-neck squamous cell carcinomas. I: Dosimetric results. Int. J. Radiat. Oncol. Biol. Phys. 2003, 56, 2. [Google Scholar] [CrossRef] [PubMed]
- Paddick, I. A simple scoring ratio to index the conformity of radiosurgical treatment plans. Technical note. J. Neurosurg. 2000, 93 (Suppl. S3), 219–222. [Google Scholar] [CrossRef]
- Timmerman, R.D.; Kavanagh, B.D.; Cho, L.C.; Papiez, L.; Xing, L. Stereotactic body radiation therapy in multiple organ sites. J. Clin. Oncol. 2007, 25, 947–952. [Google Scholar] [CrossRef]
- Zhang, Y.-S.; Meng, L.; Ye, Y.-C.; Wu, J.-M. A measure tool for evaluating dose falloff outside the target volume in high precision radiotherapy. J. Radiat. Res. Appl. Sci. 2022, 15, 152–173. [Google Scholar] [CrossRef]
- Wu, B.; Ricchetti, F.; Sanguineti, G.; Kazhdan, M.; Simari, P.; Chuang, M.; Taylor, R.; Jacques, R.; McNutt, T. Patient geometry-driven information retrieval for IMRT treatment plan quality control. Med. Phys. 2009, 36, 5497–5505. [Google Scholar] [CrossRef]
- Minatogawa, H.; Yasuda, K.; Dekura, Y.; Takao, S.; Matsuura, T.; Yoshimura, T.; Suzuki, R.; Yokota, I.; Fujima, N.; Onimaru, R.; et al. Potential benefits of adaptive intensity-modulated proton therapy in nasopharyngeal carcinomas. J. Appl. Clin. Med. Phys. 2021, 22, 174–183. [Google Scholar] [CrossRef]
- Alterio, D.; D’Ippolito, E.; Vischioni, B.; Fossati, P.; Gandini, S.; Bonora, M.; Ronchi, S.; Vitolo, V.; Mastella, E.; Magro, G.; et al. Mixed-beam approach in locally advanced nasopharyngeal carcinoma: IMRT followed by proton therapy boost versus IMRT-only. Evaluation of toxicity and efficacy. Acta Oncol. 2020, 59, 541–548. [Google Scholar] [CrossRef] [PubMed]
- Park, S.H.; Kang, J.O. Basics of particle therapy I: Physics. Radiat. Oncol. J. 2011, 29, 135. [Google Scholar] [CrossRef] [PubMed]
- Park, S.G.; Ahn, Y.C.; Oh, D.; Noh, J.M.; Ju, S.G.; Kwon, D.; Jo, K.; Chung, K.; Chung, E.; Lee, W.; et al. Early clinical outcomes of helical tomotherapy/intensity-modulated proton therapy combination in nasopharynx cancer. Cancer Sci. 2019, 110, 2867–2874. [Google Scholar] [CrossRef] [PubMed]
- Newhauser, W. International Commission on Radiation Units and Measurements Report 78: Prescribing, Recording and Reporting Proton-Beam Therapy; Oxford University Press: Oxford, UK, 2009. [Google Scholar]
- Safai, S.; Bortfeld, T.; Engelsman, M. Comparison between the lateral penumbra of a collimated double-scattered beam and uncollimated scanning beam in proton radiotherapy. Phys. Med. Biol. 2008, 53, 1729. [Google Scholar] [CrossRef]
- Oh, S.A.; Kang, M.K.; Yea, J.W.; Kim, S.K.; Oh, Y.K. Study of the penumbra for high-energy photon beams with Gafchromic™ EBT2 films. J. Korean Phys. Soc. 2012, 60, 1973–1976. [Google Scholar] [CrossRef]
- Liu, C.-B.; Song, Y.-T.; Liu, H.-D.; Xue, H.-Z.; Feng, H.-S. Quantifying lateral penumbra advantages of collimated spot-scanning beam for intensity-modulated proton therapy. Nucl. Sci. Tech. 2019, 30, 168. [Google Scholar] [CrossRef]
- Sugiyama, S.; Katsui, K.; Tominaga, Y.; Waki, T.; Katayama, N.; Matsuzaki, H.; Kariya, S.; Kuroda, M.; Nishizaki, K.; Kanazawa, S. Dose distribution of intensity-modulated proton therapy with and without a multi-leaf collimator for the treatment of maxillary sinus cancer: A comparative effectiveness study. Radiat. Oncol. 2019, 14, 209. [Google Scholar] [CrossRef]
- Pérez-Andújar, A.; Newhauser, W.D.; DeLuca, P.M. Neutron production from beam-modifying devices in a modern double scattering proton therapy beam delivery system. Phys. Med. Biol. 2009, 54, 993. [Google Scholar] [CrossRef]
- Bues, M.; Newhauser, W.D.; Titt, U.; Smith, A.R. Therapeutic step and shoot proton beam spot-scanning with a multi-leaf collimator: A Monte Carlo study. Radiat. Prot. Dosimetry. 2005, 115, 164–169. [Google Scholar] [CrossRef]
- Daartz, J.; Bangert, M.; Bussiere, M.; Engelsman, M.; Kooy, H.M. Characterization of a mini-multileaf collimator in a proton beamline. Med Phys. 2009, 36, 5. [Google Scholar] [CrossRef]




| Variables | Total (N = 28) | HT (N = 14) | IMPT (N = 14) | p-Value |
|---|---|---|---|---|
| Median age, years (range) | 50 (37–72) | 47 (40–65) | 50 (37–72) | 0.327 |
| Sex | ||||
| Female | 7 (25.0%) | 3 (21.4%) | 4 (28.6%) | 1 |
| Male | 21 (75.0%) | 11 (78.6%) | 10 (71.4%) | |
| Smoking status | ||||
| Current or Ex-smoker | 11 (39.3%) | 6 (42.9%) | 5 (35.7%) | 1 |
| Non-smoker | 17 (60.7%) | 8 (57.1%) | 9 (64.3%) | |
| Histologic type | ||||
| Squamous or keratinizing | 4 (14.3%) | 2 (14.3%) | 2 (14.3%) | 1 |
| Non-keratinizing | 23 (82.1%) | 11 (78.6%) | 12 (85.7%) | |
| Non-specified | 1 (3.6%) | 1 (7.1%) | - | |
| cT stage | ||||
| cT3 | 19 (67.9%) | 6 (42.9%) | 13 (92.9%) | 0.013 |
| cT4 | 9 (32.1%) | 8 (57.1%) | 1 (7.1%) | |
| Tumor extent (involved site) | ||||
| Intracranial | 7 (25.0%) | 6 (42.9%) | 1 (7.1%) | 0.077 |
| Orbital | 1 (3.6%) | 1 (7.1%) | - | |
| cN stage | ||||
| 0–1 | 9 (32.1%) | 6 (42.9%) | 11(78.6%) | 1 |
| 2–3 | 19 (67.9%) | 8 (57.1%) | 3 (21.4%) | |
| Clinical stage | ||||
| III | 17 (60.7%) | 6 (42.9%) | 11 (78.6%) | 0.122 |
| IV | 11 (39.3%) | 8 (57.1%) | 3 (21.4%) | |
| Induction chemotherapy | ||||
| Not carried out | 24 (85.7%) | 11 (78.6%) | 13 (92.9%) | 0.596 |
| Carried out | 4 (14.3%) | 3 (21.4%) | 1 (7.1%) |
| Parameter | HT | IMPT | p-Value |
|---|---|---|---|
| Target coverage | |||
| GTV-RF volume (cc) | 20.74 ± 17.16 | ||
| GTV-RF HI | 1.03 ± 0.01 | 1.04 ± 0.01 | <0.001 |
| GTV-RF CI | 0.34 ± 0.08 | 0.40 ± 0.09 | <0.001 |
| CTV-RF volume (cc) | 177.35 ± 78.47 | ||
| CTV-RF HI | 1.23 ± 0.01 | 1.24 ± 0.01 | 0.073 |
| Dose spillage | |||
| H19:M49CTV-RF CI | 0.51 ± 0.04 | 0.53 ± 0.05 | 0.204 |
| High, GTV-RF | 5.00 ± 2.49 | 3.87 ± 1.74 | <0.001 |
| High, CTV-RF | 1.30 ± 0.18 | 1.39 ± 0.24 | 0.077 |
| Intermediate, CTV-RF | 6.98 ± 0.77 | 6.63 ± 1.48 | 0.198 |
| Low, CTV-RF | 21.18 ± 2.92 | 15.96 ± 2.52 | <0.001 |
| High-priority OARs | |||
| Brainstem, D1 (Gy) | 16.32 ± 3.78 | 20.52 ± 3.74 | <0.001 |
| Temporal lobes, D1 (Gy) | 23.43 ± 4.12 | 23.54 ± 3.78 | 0.643 |
| Optic chiasm, Dmax (Gy) | 7.36 ± 7.24 | 14.07 ± 7.76 | <0.001 |
| Optic nerves, Dmax (Gy) | 11.33 ± 8.66 | 17.77 ± 7.47 | <0.001 |
| P-cord, D1 (Gy) | 10.37 ± 2.43 | 13.66 ± 4.70 | <0.001 |
| Low-priority OARs | |||
| Lens, Dmax (Gy) | 1.39 ± 0.75 | 0.67 ± 0.59 | <0.001 |
| Eyeballs, Dmean (Gy) | 1.39 ± 0.65 | 0.94 ± 0.74 | 0.001 |
| Cochlea, Dmean (Gy) | 15.68 ± 3.55 | 12.46 ± 3.38 | <0.001 |
| Oral cavity, D1 (Gy) | 23.57 ± 2.89 | 25.38 ± 2.90 | <0.001 |
| Oral cavity, Dmean (Gy) | 9.33 ± 1.92 | 5.13 ± 1.63 | <0.001 |
| Constrictor muscle, Dmean (Gy) | 18.01 ± 3.79 | 17.21 ± 3.81 | 0.009 |
| Parotid glands, Dmean (Gy) | 9.65 ± 2.02 | 13.30 ± 2.45 | <0.001 |
| SMGs, Dmean (Gy) | 14.23 ± 5.52 | 15.01 ± 6.00 | 0.037 |
| Thyroid, Dmean (Gy) | 3.82 ± 4.24 | 4.38 ± 4.96 | 0.004 |
| GTV to OAR distance (cm) | |||
| Brainstem | 0.5 ± 0.3 | 1.0 ± 0.4 | 0.001 |
| Temporal lobes | 0.2 ± 0.2 | 0.9 ± 0.4 | <0.001 |
| Optic chiasm | 1.7 ± 0.6 | 2.5 ± 0.6 | 0.001 |
| Optic nerves | 1.6 ± 0.6 | 2.2 ± 0.7 | 0.009 |
| P-cord | 1.5 ± 0.6 | 2.0 ± 0.5 | 0.047 |
| CTV to OAR distance (cm) | |||
| Brainstem | 0.2 ± 0.2 | 0.5 ± 0.3 | 0.002 |
| Temporal lobes | 0 | 0.2 ± 0.3 | 0.012 |
| Optic chiasm | 1.0 ± 0.4 | 1.9 ± 0.5 | <0.001 |
| Optic nerves | 0.7 ± 0.4 | 1.6 ± 0.5 | <0.001 |
| P-cord | 1.1 ± 0.4 | 1.4 ± 0.3 | 0.06 |
Disclaimer/Publisher’s Note: The statements, opinions and data contained in all publications are solely those of the individual author(s) and contributor(s) and not of MDPI and/or the editor(s). MDPI and/or the editor(s) disclaim responsibility for any injury to people or property resulting from any ideas, methods, instructions or products referred to in the content. |
© 2024 by the authors. Licensee MDPI, Basel, Switzerland. This article is an open access article distributed under the terms and conditions of the Creative Commons Attribution (CC BY) license (https://creativecommons.org/licenses/by/4.0/).
Share and Cite
Ko, M.; Yang, K.; Ahn, Y.C.; Ju, S.G.; Oh, D.; Kim, Y.-b.; Kwon, D.Y.; Park, S.; Lee, K. Dosimetric Comparison and Selection Criteria of Intensity-Modulated Proton Therapy and Intensity-Modulated Radiation Therapy for Adaptive Re-Plan in T3-4 Nasopharynx Cancer Patients. Cancers 2024, 16, 3402. https://doi.org/10.3390/cancers16193402
Ko M, Yang K, Ahn YC, Ju SG, Oh D, Kim Y-b, Kwon DY, Park S, Lee K. Dosimetric Comparison and Selection Criteria of Intensity-Modulated Proton Therapy and Intensity-Modulated Radiation Therapy for Adaptive Re-Plan in T3-4 Nasopharynx Cancer Patients. Cancers. 2024; 16(19):3402. https://doi.org/10.3390/cancers16193402
Chicago/Turabian StyleKo, Mincheol, Kyungmi Yang, Yong Chan Ahn, Sang Gyu Ju, Dongryul Oh, Yeong-bi Kim, Dong Yeol Kwon, Seyjoon Park, and Kisung Lee. 2024. "Dosimetric Comparison and Selection Criteria of Intensity-Modulated Proton Therapy and Intensity-Modulated Radiation Therapy for Adaptive Re-Plan in T3-4 Nasopharynx Cancer Patients" Cancers 16, no. 19: 3402. https://doi.org/10.3390/cancers16193402
APA StyleKo, M., Yang, K., Ahn, Y. C., Ju, S. G., Oh, D., Kim, Y.-b., Kwon, D. Y., Park, S., & Lee, K. (2024). Dosimetric Comparison and Selection Criteria of Intensity-Modulated Proton Therapy and Intensity-Modulated Radiation Therapy for Adaptive Re-Plan in T3-4 Nasopharynx Cancer Patients. Cancers, 16(19), 3402. https://doi.org/10.3390/cancers16193402

