Prognostic Factors in Patients Diagnosed with Gallbladder Cancer over a Period of 20 Years: A Cohort Study
Abstract
Simple Summary
Abstract
1. Introduction
2. Methods
3. Results
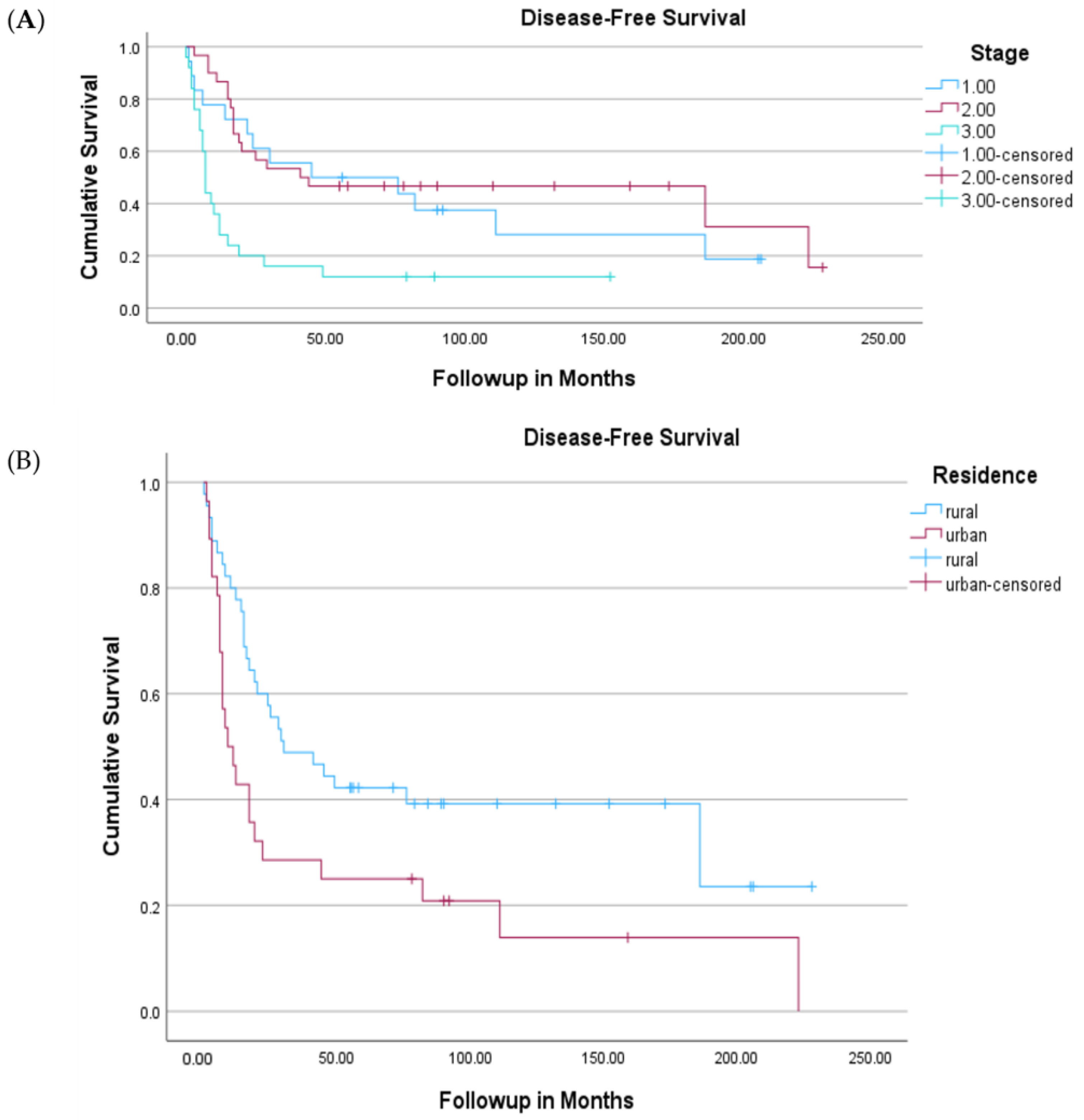
3.1. Survival
3.2. Cox Proportional Multivariate Analysis
4. Discussion
5. Conclusions
Author Contributions
Funding
Institutional Review Board Statement
Informed Consent Statement
Data Availability Statement
Acknowledgments
Conflicts of Interest
References
- Hundal, R.; Shaffer, E.A. Gallbladder Cancer: Epidemiology and Outcome. Clin. Epidemiol. 2014, 6, 99–109. [Google Scholar] [PubMed]
- Kanthan, R.; Senger, J.L.; Ahmed, S.; Kanthan, S.C. Gallbladder Cancer in the 21st Century. J. Oncol. 2015, 2015, 967472. [Google Scholar] [CrossRef] [PubMed]
- Rawla, P.; Sunkara, T.; Thandra, K.C.; Barsouk, A. Epidemiology of Gallbladder Cancer. Clin. Exp. Hepatol. 2019, 5, 93–102. [Google Scholar] [CrossRef]
- Bridgewater, J.; Galle, P.R.; Khan, S.A.; Llovet, J.M.; Park, J.W.; Patel, T.; Pawlik, T.M.; Gores, G.J. Guidelines for the Diagnosis and Management of Intrahepatic Cholangiocarcinoma. J. Hepatol. 2014, 60, 1268–1289. [Google Scholar] [CrossRef] [PubMed]
- Margonis, G.A.; Gani, F.; Buettner, S.; Amini, N.; Sasaki, K.; Andreatos, N.; Ethun, C.G.; Poultsides, G.; Tran, T.; Idrees, K.; et al. Rates and Patterns of Recurrence After Curative Intent Resection for Gallbladder Cancer: A Multi-Institution Analysis from the US Extra-hepatic Biliary Malignancy Consortium. HPB 2016, 18, 872–878. [Google Scholar] [CrossRef] [PubMed]
- Alabi, A.; Arvind, A.D.; Pawa, N.; Karim, S.; Smith, J. Incidental Gallbladder Cancer: Routine versus Selective Histological Examination After Cholecystectomy. Surg. J. 2021, 7, e22–e25. [Google Scholar] [CrossRef]
- Graff, A.E.; Lewis, S.L.; Bear, J.R.; Van Echo, D.C.; Dainer, H.M. Gallbladder Carcinoma, the Difficulty of Early Detection: A Case Report. Cureus 2016, 8, e493. [Google Scholar] [CrossRef]
- Calomino, N.; Scheiterle, M.L.; Fusario, D.; La Francesca, N.; Martellucci, I.; Marrelli, D. Porcelain Gallbladder and Its Relationship to Cancer. Eur. Surg. 2021, 53, 311–316. [Google Scholar] [CrossRef]
- Afshar, N.; English, D.R.; Milne, R.L. Rural-Urban Residence and Cancer Survival in High-Income Countries: A Systematic Review. Cancer 2019, 125, 2172–2184. [Google Scholar] [CrossRef]
- Bhatia, S.; Landier, W.; Paskett, E.D.; Peters, K.B.; Merrill, J.K.; Phillips, J.; Osarogiagbon, R.U. Rural-Urban Disparities in Cancer Outcomes: Opportunities for Future Research. J. Natl. Cancer Inst. 2022, 114, 940–952. [Google Scholar] [CrossRef]
- Henley, S.J.; Anderson, R.N.; Thomas, C.C.; Massetti, G.M.; Peaker, B.; Richardson, L.C. Invasive Cancer Incidence, 2004–2013, and Deaths, 2006–2015, in Nonmetropolitan and Metropolitan Counties—United States. MMWR Surveill. Summ. 2017, 66, 1–13. [Google Scholar] [CrossRef]
- Obeng-Gyasi, S.; Timsina, L.; Bhattacharyya, O.; Fisher, C.S.; Haggstrom, D.A. Breast Cancer Presentation, Surgical Management and Mortality Across the Rural-Urban Continuum in the National Cancer Database. Ann. Surg. Oncol. 2020, 27, 1805–1815. [Google Scholar] [CrossRef] [PubMed]
- Lewis-Thames, M.W.; Langston, M.E.; Khan, S.; Han, Y.; Fuzzell, L.; Xu, S.; Moore, J.X. Racial and Ethnic Differences in Rural-Urban Trends in 5-Year Survival of Patients With Lung, Prostate, Breast, and Colorectal Cancers: 1975–2011 Surveillance, Epidemiology, and End Results (SEER). JAMA Netw. Open 2022, 5, e2212246. [Google Scholar] [CrossRef]
- Frosch, Z.A.K. Where Have We Been With Rural-Urban Cancer Care Disparities and Where Are We Headed? JAMA Netw. Open 2022, 5, e2212255. [Google Scholar] [CrossRef]
- Nie, C.; Yang, T.; Liu, L.; Hong, F. Trend Analysis and Risk of Gallbladder Cancer Mortality in China, 2013–2019. Public Health 2022, 203, 31–35. [Google Scholar] [CrossRef]
- Feroz, Z.; Gautam, P.; Tiwari, S.; Shukla, G.C.; Kumar, M. Survival Analysis and Prognostic Factors of Carcinoma of Gallbladder. World J. Surg. Oncol. 2022, 20, 403. [Google Scholar] [CrossRef] [PubMed]
- Tang, M.; Pearson, S.A.; Simes, R.J.; Chua, B.H. Harnessing Real-World Evidence to Advance Cancer Research. Curr. Oncol. 2023, 30, 1844–1859. [Google Scholar] [CrossRef]
- du Plessis, V.; Beshiri, R.; Bollman, R.; Clemenson, H. Definitions of Rural. Statistics Canada, 2001. Available online: https://www150.statcan.gc.ca/n1/pub/21-006-x/21-006-x2001003-eng.pdf (accessed on 2 March 2024).
- Canada Revenue Agency. Individual Tax Statistics by Forward Sortation Area (FSA)—2021 Edition (2019 Tax Year). Canada.ca, 22 February 2024. Available online: https://www.canada.ca/en/revenue-agency/programs/about-canada-revenue-agency-cra/income-statistics-gst-hst-statistics/individual-tax-statistics-fsa/individual-tax-statistics-fsa-2021-edition-2019-tax-year.html#toc2 (accessed on 18 August 2024).
- Jin, K.; Lan, H.; Zhu, T.; He, K.; Teng, L. Gallbladder Carcinoma Incidentally Encountered During Laparoscopic Cholecystectomy: How to Deal with It. Clin. Transl. Oncol. 2011, 13, 25–33. [Google Scholar] [CrossRef] [PubMed]
- Joachim, C.; Macni, J.; Drame, M.; Pomier, A.; Escarmant, P.; Veronique-Baudin, J.; Vinh-Hung, V. Overall Survival of Colorectal Cancer by Stage at Diagnosis: Data from the Martinique Cancer Registry. Medicine 2019, 98, e16941. [Google Scholar] [CrossRef]
- Azar, I.; Virk, G.; Esfandiarifard, S.; Wazir, A.; Mehdi, S. Treatment and Survival Rates of Stage IV Pancreatic Cancer at VA Hospitals: A Nation-Wide Study. J. Gastrointest. Oncol. 2019, 10, 703–711. [Google Scholar] [CrossRef]
- Zhao, Y.; Xu, G.; Guo, X.; Ma, W.; Xu, Y.; Peltzer, K.; Chekhonin, V.P.; Baklaushev, V.P.; Hu, H.; Wang, X.; et al. Early Death Incidence and Prediction in Stage IV Breast Cancer. Med. Sci. Monit. 2020, 26, e924858. [Google Scholar] [CrossRef] [PubMed]
- Cai, J.S.; Qiu, M.T.; Yang, F.; Wang, X. Stage IV Non-Small Cell Lung Cancer Among Young Individuals: Incidence, Presentations, and Survival Outcomes of Conventional Therapies. Front. Oncol. 2022, 12, 894780. [Google Scholar] [CrossRef] [PubMed]
- Dutta, A.; Mungle, T.; Chowdhury, N.; Banerjee, P.; Gehani, A.; Sen, S.; Mallath, M.; Roy, P.; Krishnan, S.; Ganguly, S.; et al. Characteristics and Outcomes of Gallbladder Cancer Patients at the Tata Medical Center, Kolkata 2017–2019. Cancer Med. 2023, 12, 9293–9302. [Google Scholar] [CrossRef] [PubMed]
- Gupta, A.; Gupta, S.; Siddeek, R.A.T.; Chennatt, J.J.; Singla, T.; Rajput, D.; Kumar, N.; Sehrawat, A.; Kishore, S.; Gupta, M. Demographic and Clinicopathological Profile of Gall Bladder Cancer Patients: Study from a Tertiary Care Center of the Sub-Himalayan Region in Indo-Gangetic Belt. J. Carcinog. 2021, 20, 6. [Google Scholar] [CrossRef]
- Delva, F.; Marien, E.; Fonck, M.; Rainfray, M.; Demeaux, J.L.; Moreaud, P.; Soubeyran, P.; Sasco, A.J.; Mathoulin-Pelissier, S. Factors Influencing General Practitioners in the Referral of Elderly Cancer Patients. BMC Cancer 2011, 11, 5. [Google Scholar] [CrossRef]
- Mishra, S.K.; Kumari, N.; Krishnani, N. Molecular Pathogenesis of Gallbladder Cancer: An Update. Mutat. Res./Fundam. Mol. Mech. Mutagen. 2019, 816–818, 111674. [Google Scholar] [CrossRef]
- Onega, T.; Duell, E.J.; Shi, X.; Demidenko, E.; Gottlieb, D.; Goodman, D.C. Influence of NCI Cancer Center Attendance on Mortality in Lung, Breast, Colorectal, and Prostate Cancer Patients. Med. Care Res. Rev. 2009, 66, 542–560. [Google Scholar] [CrossRef]
- Ward, E.; Halpern, M.; Schrag, N.; Cokkinides, V.; DeSantis, C.; Bandi, P.; Siegel, R.; Stewart, A.; Jemal, A. Association of Insurance with Cancer Care Utilization and Outcomes. CA Cancer J. Clin. 2008, 58, 9–31. [Google Scholar] [CrossRef]
- Zhou, Y.; Mendonca, S.C.; Abel, G.A.; Hamilton, W.; Walter, F.M.; Johnson, S.; Shelton, J.; Elliss-Brookes, L.; McPhail, S.; Lyratzopoulos, G. Variation in ‘Fast-Track’ Referrals for Suspected Cancer by Patient Characteristic and Cancer Diagnosis: Evidence from 670,000 Patients with Cancers of 35 Different Sites. Br. J. Cancer 2018, 118, 24–31. [Google Scholar] [CrossRef] [PubMed]
- Macleod, U.; Mitchell, E.D.; Burgess, C.; Macdonald, S.; Ramirez, A.J. Risk Factors for Delayed Presentation and Referral of Symptomatic Cancer: Evidence for Common Cancers. Br. J. Cancer 2009, 101 (Suppl. S2), S92–S101. [Google Scholar] [CrossRef]
- Hayes, L.; Adams, J.; McCallum, I.; Forrest, L.; Hidajat, M.; White, M.; Johnson, S.; Shelton, J.; Elliss-Broks, L.; McPhail, S.; et al. Age-Related and Socioeconomic Inequalities in Timeliness of Referral and Start of Treatment in Colorectal Cancer: A Population-Based Analysis. J. Epidemiol. Community Health 2021, 75, 1–9. [Google Scholar] [CrossRef] [PubMed]
- de Savornin Lohman, E.; de Bitter, T.; Verhoeven, R.; van der Geest, L.; Hagendoorn, J.; Mohammad, N.H.; Daams, F.; Klumpen, H.; Gulik, T.V.; Erdmann, J.; et al. Trends in Treatment and Survival of Gallbladder Cancer in the Netherlands; Identifying Gaps and Opportunities from a Nation-Wide Cohort. Cancers 2020, 12, 918. [Google Scholar] [CrossRef] [PubMed]
- You, M.S.; Ryu, J.K.; Choi, Y.H.; Choi, J.H.; Huh, G.; Paik, W.H.; Lee, S.H.; Kim, Y. Therapeutic Outcomes and Prognostic Factors in Unresectable Gallbladder Cancer Treated with Gemcitabine Plus Cisplatin. BMC Cancer 2019, 19, 10. [Google Scholar] [CrossRef] [PubMed]
- Paluri, R.K.; Haris, H.; Li, P.; Gbolahan, O.; Jacob, R.; Manne, U. Role of Chemoradiation in Gallbladder Cancer: A Single Institution Retrospective Analysis. J. Gastrointest. Oncol. 2023, 14, 2212–2220. [Google Scholar] [CrossRef]
- Wang, Y.; Kong, Y.; Yang, Q.; Zhong, C.; Zhou, D.; Wang, W. Survival Benefit of Adjuvant Chemotherapy in Patients with Resected Gallbladder Adenocarcinoma: An Updated Retrospective Cohort Analysis. Eur. J. Surg. Oncol. 2024, 50, 108047. [Google Scholar] [CrossRef] [PubMed]
- Song, X.; Hu, Y.; Li, Y.; Shao, R.; Liu, F.; Liu, Y. Overview of Current Targeted Therapy in Gallbladder Cancer. Signal Transduct. Target. Ther. 2020, 5, 230. [Google Scholar] [CrossRef]
- National Cancer Institute, National Institutes of Health. Treatment Clinical Trials for Gallbladder Cancer. 2022. Available online: https://www.cancer.gov/research/participate/clinical-trials/disease/gallbladder-cancer/treatment (accessed on 7 April 2024).
- Acuña-Villaorduña, A.; Baranda, J.C.; Boehmer, J.; Fashoyin-Aje, L.; Gore, S.D. Equitable Access to Clinical Trials: How Do We Achieve It? Am. Soc. Clin. Oncol. Educ. Book 2023, 43, e389838. [Google Scholar] [CrossRef]
- Mudaranthakam, D.P.; Gajewski, B.; Krebill, H.; Coulter, J.; Springer, M.; Calhoun, E.; Hughes, D.; Mayo, M.; Doolittle, G. Barriers to Clinical Trial Participation: Comparative Study Between Rural and Urban Participants. JMIR Cancer 2022, 8, e33240. [Google Scholar] [CrossRef] [PubMed]
- Mei, Z.; Shi, L.; Wang, B.; Yang, J.; Xiao, Z.; Du, P.; Wang, Q.; Yang, W. Prognostic Role of Pretreatment Blood Neutrophil-to-Lymphocyte Ratio in Advanced Cancer Survivors: A Systematic Review and Meta-Analysis of 66 Cohort Studies. Cancer Treat. Rev. 2017, 58, 1–13. [Google Scholar] [CrossRef] [PubMed]
- Yang, J.J.; Hu, Z.G.; Shi, W.X.; Deng, T.; He, S.Q.; Yuan, S.G. Prognostic Significance of Neutrophil to Lymphocyte Ratio in Pancreatic Cancer: A Meta-Analysis. World J. Gastroenterol. 2015, 21, 2807–2815. [Google Scholar] [CrossRef]
- Mady, M.; Prasai, K.; Tella, S.H.; Yadav, S.; Hallemeier, C.L.; Rakshit, S.; Roberts, L.; Borad, M.; Mahipal, A. Neutrophil to Lymphocyte Ratio as a Prognostic Marker in Metastatic Gallbladder Cancer. HPB 2020, 22, 1490–1495. [Google Scholar] [CrossRef] [PubMed]
- Zhang, L.; Wang, R.; Chen, W.; Xu, X.; Dong, S.; Fan, H.; Liu, C. Prognostic Significance of Neutrophil to Lymphocyte Ratio in Patients with Gallbladder Carcinoma. HPB 2016, 18, 600–607. [Google Scholar] [CrossRef] [PubMed]
- Bojan, A.; Foia, L.; Vladeanu, M.; Bojan, I.; Plesoianu, C.; Plesoianu, A.; Pricop, C. Understanding the Mechanisms of Gallbladder Lesions: A Systematic Review. Exp. Ther. Med. 2022, 24, 604. [Google Scholar] [CrossRef] [PubMed]


| Variables | All N = 331 % | Urban N = 114 % | Rural N = 217 % | p Values |
|---|---|---|---|---|
| Median age in years | 74 (range: 28–97) | 75 (36–93) | 74 (28–97) | 0.9 |
| Men | 33 | 32 | 34 | 0.8 |
| Mean BMI (standard deviation) | 28.1 ± 6.0 | 27.4 ± 6.1 | 28.7 ± 6.1 | 0.20 |
| Comorbid illness a | 46 | 49 | 44 | 0.54 |
| Smoking history b | 45 | 30 | 54 | 0.004 |
| Diagnosed before year 2010 | 49 | 43 | 52 | 0.13 |
| WHO performance status > 1 c | 40 | 44 | 37 | 0.44 |
| Pathological diagnosis | 92 | 97 | 90 | 0.03 |
| Stage d | ||||
| 0 | 5 | 4 | 5 | 0.75 |
| I | 8 | 9 | 7 | 0.79 |
| II | 13 | 10 | 15 | 0.31 |
| III | 11 | 16 | 8 | 0.07 |
| IV | 64 | 62 | 65 | 0.77 |
| Onset of symptoms to diagnosis in months (mean) e | 9.3 ± 9.0 | 8.3 ± 7.2 | 10.1 ± 10.0 | 0.18 |
| Symptom Frequency | ||||
| Pain | 83 | 85 | 83 | 1.0 |
| Weight loss | 29 | 32 | 27 | 0.4 |
| Nausea/Vomiting | 27 | 34 | 21 | 0.08 |
| Jaundice | 29 | 27 | 30 | 0.73 |
| Oncology consult | 45 | 47 | 44 | 0.56 |
| Mean baseline laboratory values | ||||
| Mean creatinine | 87 ± 57 | 78 ± 27 | 92 ± 68 | 0.18 |
| Mean BUN | 6.3 ± 4.7 | 6.2 ± 3.7 | 6.4 ± 5.2 | 0.77 |
| Mean albumin | 33 ± 7 | 31 ± 7 | 34 ± 7 | 0.05 |
| Mean bilirubin | 25.6 ± 58 | 20.3 ± 31 | 28.7 ± 69 | 0.22 |
| Mean alkaline phosphatase | 253 ± 360 | 233 ± 251 | 264 ± 413 | 0.64 |
| Mean AST | 72 ± 126 | 52 ± 86 | 83 ± 143 | 0.28 |
| Mean ALT | 59 ± 113 | 54 ± 87 | 62 ± 122 | 0.71 |
| Mean WBC | 9.8 ± 5.3 | 9.4 ± 4.0 | 9.9 ± 5.9 | 0.60 |
| Mean hemoglobin | 122 ± 19 | 122 ± 20 | 122 ± 18 | 0.97 |
| Mean platelets | 312 ± 122 | 341 ± 107 | 296 ± 127 | 0.04 |
| Mean NLR | 5.2 ± 4.8 | 5.6 ± 5.0 | 5.0 ± 4.6 | 0.50 |
| Stage | Urban a N = 114 % | Rural b N = 217 % | p Value | Year 2000–2009 N = 162 % | Year 2010–2020 N = 168 % | p Value |
|---|---|---|---|---|---|---|
| 0 | 4 | 5 | 1.0 | 8 | 3 | 0.15 |
| I | 9 | 7 | 0.52 | 8 | 8 | 1.0 |
| II | 10 | 15 | 0.31 | 15 | 12 | 0.41 |
| III | 16 | 8 | 0.13 | 4 | 15 | 0.005 |
| IV | 62 | 65 | 0.20 | 66 | 63 | 0.43 |
| Variables | Univariate Analysis | Multivariate Analysis | ||
|---|---|---|---|---|
| HR (95% CI) | p Value | HR (95% CI) | p Value | |
| Age ≥ 70 years | 1.52 (0.88–2.66) | 0.13 | ||
| Men | 1.13 (0.64–2.0) | 0.67 | ||
| Urban residence | 1.19 (1.11–3.31) | 0.01 | 2.20 (1.1–4.39) | 0.025 |
| No comorbid illness | 1.03 (0.55–1.94) | 0.91 | ||
| Positive smoking history | 1.30 (0.70–2.41) | 0.40 | ||
| Abnormal body mass index | 1. 15 (0.81–2.80) | 0.20 | ||
| Year of diagnosis < 2010 | 1.14 (0.61–2.13) | 0.67 | ||
| Stage III disease | 3.1 (1.77–5.56) | <0.001 | 2.63 (1.09–6.34) | 0.032 |
| WHO performance status > 1 | 1.17 (0.56–2.44) | 0.68 | ||
| No referral to a cancer center | 1.01 (0.52–1.92) | 0.98 | ||
| No surgery | 7.30 (1.63–32.45) | 0.009 | ||
| No chemotherapy | 1.35 (0.72–2.55) | 0.34 | ||
| No radiation | 1.71 (0.80–3.65) | 0.16 | ||
| T3 disease | 2.75 (1.56–4.88) | <0.001 | ||
| Node-positive disease | 1.14 (0.64–2.02) | 0.65 | ||
| Grade 3 tumor | 2.29 (1.31–4.0) | 0.004 | ||
| Positive resection margin | 2.06 (1.10–3.86) | 0.024 | ||
| Year of diagnosis < 2010 | 1.14 (0.61–2.13) | 0.67 | ||
| Albumin < 35 g/L | 1.18 (0.66–2.09) | 0.58 | ||
| Creatinine > 100 µm/L | 1.03 (0.61–1.84) | 0.82 | ||
| Total bilirubin > 22 µm/L | 1.52 (0.89–2.62) | 0.12 | ||
| Alkaline phosphatase > 120 IU/L | 1.73 (0.99–3.04) | 0.056 | ||
| AST > 45 U/L | 1.96 (1.05–3.69) | 0.04 | ||
| Hemoglobin < 120 g/L | 1.26 (0.73–2.18) | 0.40 | ||
| Platelet > 450 × 109 | 1.29 (0.18–9.36) | 0.80 | ||
| NLR > 3.2 | 1.22 (0.62–2.39) | 0.56 | ||
| Variables | Univariate Analysis | Multivariate Analysis | ||
|---|---|---|---|---|
| HR (95% CI) | p Value | HR (95% CI) | p Value | |
| Age ≥ 70 years | 1.52 (1.20–1.95) | <0.001 | 1.51 (1.04–2.19) | 0.03 |
| Men | 1.17 (0.91–1.95) | 0.20 | ||
| Urban residence | 1.15 (0.90–1.47) | 0.25 | ||
| Comorbid illness | 1.35 (0.98–1.86) | 0.07 | ||
| Positive smoking history | 1.24 (0.88–1.74) | 0.22 | ||
| Abnormal body mass index | 1.15 (0.83–1.58) | 0.42 | ||
| Year of diagnosis < 2010 | 1.12 (0.88–1.41) | 0.36 | ||
| Stage IV disease | 3.8 (2.71–5.41) | <0.001 | 3.02 (1.85–4.94) | <0.001 |
| WHO performance status > 1 | 2.62 (1.89–3.61) | <0.001 | ||
| No surgery | 3.50 (2.53–4.81) | <0.001 | 1.63 (1.03–2.57) | 0.03 |
| No referral to a cancer center | 1.63 (1.29–2.06) | <0.001 | 2.64 (1.51–4.62) | <0.001 |
| No chemotherapy | 1.18 (0.87–1.61) | 0.27 | ||
| No radiation | 1.28 (0.75–2.13) | 0.37 | ||
| Albumin < 35 g/L | 1.79 (1.28–2.49) | <0.001 | ||
| Creatinine > 100 µm/L | 1.31 (1.01–1.69) | 0.04 | ||
| Total bilirubin > 22 µm/L | 1.59 (1.22–2.06) | <0.001 | ||
| Alkaline phosphatase > 120 IU/L | 2.03 (1.44–2.87) | <0.001 | ||
| AST > 45 U/L | 1.91 (1.35–2.72) | <0.001 | ||
| Hemoglobin < 120 g/L | 1.63 (1.23–2.17) | <0.001 | ||
| Platelet > 450 × 109/L | 1.50 (0.92–2.47) | 0.10 | ||
| NLR > 3.2 | 1.30 (0.98–1.74) | 0.07 | 1.57 (1.05–2.36) | 0.03 |
Disclaimer/Publisher’s Note: The statements, opinions and data contained in all publications are solely those of the individual author(s) and contributor(s) and not of MDPI and/or the editor(s). MDPI and/or the editor(s) disclaim responsibility for any injury to people or property resulting from any ideas, methods, instructions or products referred to in the content. |
© 2024 by the authors. Licensee MDPI, Basel, Switzerland. This article is an open access article distributed under the terms and conditions of the Creative Commons Attribution (CC BY) license (https://creativecommons.org/licenses/by/4.0/).
Share and Cite
Toussi, N.; Daida, K.; Moser, M.; Le, D.; Hagel, K.; Kanthan, R.; Shaw, J.; Zaidi, A.; Chalchal, H.; Ahmed, S. Prognostic Factors in Patients Diagnosed with Gallbladder Cancer over a Period of 20 Years: A Cohort Study. Cancers 2024, 16, 2932. https://doi.org/10.3390/cancers16172932
Toussi N, Daida K, Moser M, Le D, Hagel K, Kanthan R, Shaw J, Zaidi A, Chalchal H, Ahmed S. Prognostic Factors in Patients Diagnosed with Gallbladder Cancer over a Period of 20 Years: A Cohort Study. Cancers. 2024; 16(17):2932. https://doi.org/10.3390/cancers16172932
Chicago/Turabian StyleToussi, Nima, Krishna Daida, Michael Moser, Duc Le, Kimberly Hagel, Rani Kanthan, John Shaw, Adnan Zaidi, Haji Chalchal, and Shahid Ahmed. 2024. "Prognostic Factors in Patients Diagnosed with Gallbladder Cancer over a Period of 20 Years: A Cohort Study" Cancers 16, no. 17: 2932. https://doi.org/10.3390/cancers16172932
APA StyleToussi, N., Daida, K., Moser, M., Le, D., Hagel, K., Kanthan, R., Shaw, J., Zaidi, A., Chalchal, H., & Ahmed, S. (2024). Prognostic Factors in Patients Diagnosed with Gallbladder Cancer over a Period of 20 Years: A Cohort Study. Cancers, 16(17), 2932. https://doi.org/10.3390/cancers16172932

