Dutch Translation of the Yost Self-Report Lower Extremity Lymphedema Screening Questionnaire in Women
Abstract
Simple Summary
Abstract
1. Introduction
2. Materials and Methods
2.1. Translation Process
2.2. Study Population
2.3. Statistical Analyses
2.3.1. Internal Consistency
2.3.2. Test–Retest Reliability
2.3.3. Criterium Validity
2.3.4. Face and Content Validity
- Was the scoring system comprehensible? Yes/No.
- Was each question of the Dutch LELSQ understandable? Yes/No.
- Were all complaints related to your lymphedema questioned in the LELSQ? Yes/No.
3. Results
3.1. Study Population
3.2. Internal Consistency
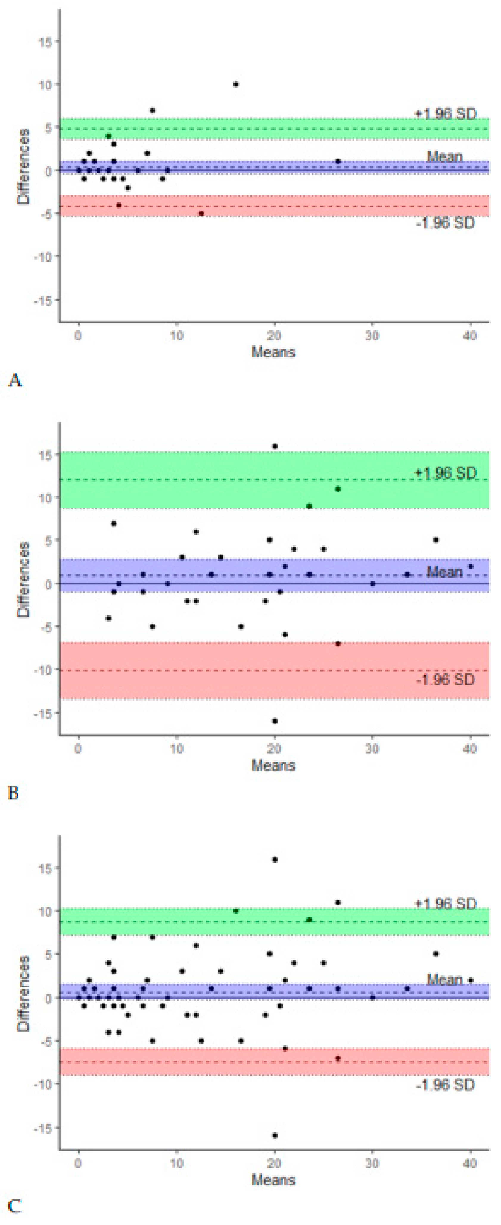
3.3. Test–Retest Reliability
3.4. Criterium Validity
3.5. Face and Content Validity
3.6. Influence of BMI
4. Discussion
5. Limitations
6. Conclusions
Author Contributions
Funding
Institutional Review Board Statement
Informed Consent Statement
Data Availability Statement
Acknowledgments
Conflicts of Interest
Appendix A. Thirteen-Item Self-Reported Lower Extremity Lymphedema Screening Questionnaire in Women
| The following statements are about sensations you may have on one or both sides of your lower body. Please mark one box for each statement that best describes how your lower body felt on average in the past 4 weeks. If you have one of these sensations on both sides of your lower body, describe the side that seems to be affected the most. | |
| Not at all | 0 |
| A little bit | 1 |
| Somewhat | 2 |
| Quite a bit | 3 |
| Very much | 4 |
| 0 □ 1 □ 2 □ 3 □ 4 □ |
| 0 □ 1 □ 2 □ 3 □ 4 □ |
| 0 □ 1 □ 2 □ 3 □ 4 □ |
| 0 □ 1 □ 2 □ 3 □ 4 □ |
| 0 □ 1 □ 2 □ 3 □ 4 □ |
| 0 □ 1 □ 2 □ 3 □ 4 □ |
| 0 □ 1 □ 2 □ 3 □ 4 □ |
| 0 □ 1 □ 2 □ 3 □ 4 □ |
| 0 □ 1 □ 2 □ 3 □ 4 □ |
| 0 □ 1 □ 2 □ 3 □ 4 □ |
| 0 □ 1 □ 2 □ 3 □ 4 □ |
| 0 □ 1 □ 2 □ 3 □ 4 □ |
| 0 □ 1 □ 2 □ 3 □ 4 □ |
| Scores are summed, with a possible range of 0–52 points. Scores of 5 or more points indicate a positive screen. | |
| © 2012 Mayo Foundation for Medical. Education and Research. All requests to use copies of this instrument should be addressed to Kathleen Yost, PhD (yost.kathleen@mayo.edu). | |
Appendix B. Dutch Translation of the 13-Item Self-Reported Lower Extremity Lymphedema Screening Questionnaire in Women by Yost
| De volgende uitspraken gaan over het gevoel dat u kan hebben aan één of beide zijden van uw onderlichaam. Vink aub het antwoord aan dat het best beschrijft hoe uw onderlichaam gemiddeld aanvoelde in de afgelopen 4 weken. Als u dergelijk gevoel had aan beide zijden van het lichaam, gelieve dan het gevoel aan te duiden voor de zijde die het meest uitgesproken was. | |
| Helemaal niet | 0 |
| Een beetje | 1 |
| Matig | 2 |
| Nogal uitgesproken | 3 |
| Zeer veel | 4 |
| 0 □ 1 □ 2 □ 3 □ 4 □ |
| 0 □ 1 □ 2 □ 3 □ 4 □ |
| 0 □ 1 □ 2 □ 3 □ 4 □ |
| 0 □ 1 □ 2 □ 3 □ 4 □ |
| 0 □ 1 □ 2 □ 3 □ 4 □ |
| 0 □ 1 □ 2 □ 3 □ 4 □ |
| 0 □ 1 □ 2 □ 3 □ 4 □ |
| 0 □ 1 □ 2 □ 3 □ 4 □ |
| 0 □ 1 □ 2 □ 3 □ 4 □ |
| 0 □ 1 □ 2 □ 3 □ 4 □ |
| 0 □ 1 □ 2 □ 3 □ 4 □ |
| 0 □ 1 □ 2 □ 3 □ 4 □ |
| 0 □ 1 □ 2 □ 3 □ 4 □ |
References
- Szuba, A.; Rockson, S.G. Lymphedema: Anatomy, physiology and pathogenesis. Vasc. Med. 1997, 2, 321–326. [Google Scholar] [CrossRef] [PubMed]
- Biglia, N.; Zanfagnin, V.; Daniele, A.; Robba, E.; Bounous, V.E. Lower Body Lymphedema in Patients with Gynecologic Cancer. Anticancer Res. 2017, 37, 4005–4015. [Google Scholar] [CrossRef] [PubMed]
- Abu-Rustum, N.R.; Alektiar, K.; Iasonos, A.; Lev, G.; Sonoda, Y.; Aghajanian, C.; Chi, D.S.; Barakat, R.R. The incidence of symptomatic lower-extremity lymphedema following treatment of uterine corpus malignancies: A 12 year experience at Memorial Sloan-Kettering Cancer Center. Gynecol. Oncol. 2006, 103, 714–718. [Google Scholar] [CrossRef] [PubMed]
- Van der Zee, A.G.; Oonk, M.H.; De Hullu, J.A.; Ansink, A.C.; Vergote, I.; Verheijen, R.H.; Maggioni, A.; Gaarenstroom, K.N.; Baldwin, P.J.; Van Dorst, E.B.; et al. Sentinel node dissection is safe in the treatment of early-stage vulvar cancer. J. Clin. Oncol. Off. J. Am. Soc. Clin. Oncol. 2008, 26, 884–889. [Google Scholar] [CrossRef] [PubMed]
- Yost, K.J.; Cheville, A.L.; Weaver, A.L.; Al Hilli, M.; Dowdy, S.C. Development and validation of a self-report lower-extremity lymphedema screening questionnaire in women. Phys. Ther. 2013, 93, 694–703. [Google Scholar] [CrossRef] [PubMed]
- Eidenberger, M. Patient-Reported Outcome Measures With Secondary Lower Limb Lymphedemas: A Systematic Review. J. Adv. Pract. Oncol. 2021, 12, 174–187. [Google Scholar] [CrossRef] [PubMed]
- Russo, S.; Walker, J.L.; Carlson, J.W.; Carter, J.; Ward, L.C.; Covens, A.; Tanner, E.J., 3rd; Armer, J.M.; Ridner, S.; Hayes, S.; et al. Standardization of lower extremity quantitative lymphedema measurements and associated patient-reported outcomes in gynecologic cancers. Gynecol. Oncol. 2021, 160, 625–632. [Google Scholar] [CrossRef] [PubMed]
- Bona, A.F.; Ferreira, K.R.; Carvalho, R.B.D.M.; Thuler, L.C.S.; Bergmann, A. Incidence, prevalence, and factors associated with lymphedema after treatment for cervical cancer: A systematic review. Int. J. Gynecol. Cancer 2020, 30, 1697–1704. [Google Scholar] [CrossRef] [PubMed]
- Carlson, J.W.; Kauderer, J.; Hutson, A.; Carter, J.; Armer, J.; Lockwood, S.; Nolte, S.; Stewart, B.R.; Wenzel, L.; Walker, J.; et al. GOG 244–The lymphedema and gynecologic cancer (LEG) study: Incidence and risk factors in newly diagnosed patients. Gynecol. Oncol. 2020, 156, 467–474. [Google Scholar] [CrossRef]
- Ploumen, R.L.M.; Duininck, J.M.; Jonkman, R.E.G.; Nolte, J.W.; Becking, A.G. The Orthognathic Quality of Life Questionnaire: Translation and Validation into Dutch. J. Craniofacial Surg. 2021, 32, 1448–1451. [Google Scholar] [CrossRef]
- Tsang, S.; Royse, C.F.; Terkawi, A.S. Guidelines for developing, translating, and validating a questionnaire in perioperative and pain medicine. Saudi J. Anaesth. 2017, 11, S80–S89. [Google Scholar] [CrossRef]
- Ozolins, U.; Hale, S.; Cheng, X.; Hyatt, A.; Schofield, P. Translation and back-translation methodology in health research—A critique. Expert Rev. Pharmacoecon. Outcomes Res. 2020, 20, 69–77. [Google Scholar] [CrossRef]
- WHO. Process of Translation and Adaptation of Instruments [Webpage]. 2020. Available online: https://www.who.int/substance_abuse/research_tools/translation/en/ (accessed on 20 November 2020).
- What-Is-The Difference-between A1-A2-B1-Etc. Available online: https://www.olesentuition.co.uk/single-post/what-is-the-difference-between-a1-a2-b1-etc (accessed on 18 December 2020).
- Eremenco, S.L.; Cella, D.; Arnold, B.J. A comprehensive method for the translation and cross-cultural validation of health status questionnaires. Eval. Health Prof. 2005, 28, 212–232. [Google Scholar] [CrossRef] [PubMed]
- Osborne, J.W.; Costello, A.B. Sample size and subject to item ratio in principal components analysis. Pract. Assess. Res. Eval. 2004, 9, 11. [Google Scholar] [CrossRef]
- Bujang, M.A.; Omar, E.D.; Baharum, N.A. A Review on Sample Size Determination for Cronbach’s Alpha Test: A Simple Guide for Researchers. Malays. J. Med. Sci. MJMS 2018, 25, 85–99. [Google Scholar] [CrossRef] [PubMed]
- Bland, J.M.; Altman, D.G. Cronbach’s alpha. BMJ 1997, 314, 572. [Google Scholar] [CrossRef]
- Weir, J.P. Quantifying test-retest reliability using the intraclass correlation coefficient and the SEM. J. Strength Cond. Res. 2005, 19, 231–240. [Google Scholar] [CrossRef] [PubMed]
- Wald, N.J.; Bestwick, J.P. Is the area under an ROC curve a valid measure of the performance of a screening or diagnostic test? J. Med. Screen. 2014, 21, 51–56. [Google Scholar] [CrossRef]
- Taşdemir, F. A Study For Developing A Success Test: Examination Of Validity And Classification Accuracy By ROC Analysis. Procedia—Soc. Behav. Sci. 2015, 191, 110–114. [Google Scholar] [CrossRef]
- Armbrust, R.; Auletta, V.; Cichon, G.; Vercellino, G.; Yost, K.; Sehouli, J. Lymphedema after pelvic and para-aortic lymphadenectomy-results of a systematic evaluation in patients with cervical and endometrial carcinoma. Arch. Gynecol. Obstet. 2022, 307, 1557–1565. [Google Scholar] [CrossRef]
- Bjerre Trent, P.; Falk, R.S.; Staff, A.C.; Jorde, D.; Eriksson, A.G. Translation and cross-cultural adaptation of the Gynecologic Cancer Lymphedema Questionnaire and the Lower Extremity Lymphedema Screening Questionnaire. Int. J. Gynecol. Cancer Off. J. Int. Gynecol. Cancer Soc. 2023, 33, 2. [Google Scholar] [CrossRef] [PubMed]
- Pados, G.; Vavilis, D.; Pantazis, K.; Agorastos, T.; Bontis, J.N. Unilateral vulvar edema after operative laparoscopy: A case report and literature review. Fertil. Steril. 2005, 83, 471–473. [Google Scholar] [CrossRef] [PubMed]
- Thomas, C.; Narahari, S.R.; Bose, K.S.; Vivekananda, K.; Nwe, S.; West, D.P.; Kwasny, M.; Kundu, R.V. Comparison of three quality of life instruments in lymphatic filariasis: DLQI, WHODAS 2.0, and LFSQQ. PLoS Negl. Trop. Dis. 2014, 8, e2716. [Google Scholar] [CrossRef] [PubMed]
- Wong, M.; Eaton, P.K.; Zanichelli, C.; Moore, C.; Hegarty, C.; MacDonald, N. The prevalence of undiagnosed postoperative lower limb lymphedema among gynecological oncology patients. Eur. J. Surg. Oncol. J. Eur. Soc. Surg. Oncol. Br. Assoc. Surg. Oncol. 2022, 48, 1167–1172. [Google Scholar] [CrossRef] [PubMed]
- Kumar, K.H.; Elavarasi, P. Definition of pain and classification of pain disorders. J. Adv. Clin. Res. Insights 2016, 3, 87–90. [Google Scholar] [CrossRef]
- Williams, A. How to… write and analyse a questionnaire. J. Orthod. 2003, 30, 245–252. [Google Scholar] [CrossRef]
- Rosian, K.; Stanak, M. Efficacy and safety assessment of lymphovenous anastomosis in patients with primary and secondary lymphoedema: A systematic review of prospective evidence. Microsurgery 2019, 39, 763–772. [Google Scholar] [CrossRef]

| Characteristic | Group 0, N = 50 | Group 1, N = 50 |
|---|---|---|
| Age BMI Lymphedema Grade 1 | 40 (SD 15), range 20–73 24.7 (SD 5.1), range 15.5–45.9 0 (NA%) | 51 (SD 13), range 21–83 29.3 (SD 7.8), range 19.7–53.3 29 (58%) |
| Grade 2 | 0 (NA%) | 21 (42%) |
| Group | Cronbach’s Alpha | Cronbach’s Alpha Based in Standardized Items | N of Items |
|---|---|---|---|
| Group 0 | 0.835 | 0.852 | 11 |
| Group 1 | 0.831 | 0.831 | 13 |
| Group 0 + 1 | 0.909 | 0.91 | 13 |
| Questions in the Survey | Yes (n = 96) | No (n = 96) |
|---|---|---|
| Was the scoring system comprehensible | 93 (96.9%) | 3 (3%) |
| Was each question of the Dutch LELSQ understandable | 95 (99%) | 1 (1%) |
| Were all complaints related to your lymphedema questioned in the LELSQ | 83 (86.46%) | 13 (13.54%) |
Disclaimer/Publisher’s Note: The statements, opinions and data contained in all publications are solely those of the individual author(s) and contributor(s) and not of MDPI and/or the editor(s). MDPI and/or the editor(s) disclaim responsibility for any injury to people or property resulting from any ideas, methods, instructions or products referred to in the content. |
© 2024 by the authors. Licensee MDPI, Basel, Switzerland. This article is an open access article distributed under the terms and conditions of the Creative Commons Attribution (CC BY) license (https://creativecommons.org/licenses/by/4.0/).
Share and Cite
Decorte, T.; Van Calster, C.; Randon, C.; Van Besien, V.; Ketels, M.; Vanden Bossche, L.; De Schryver, M.; Monten, C. Dutch Translation of the Yost Self-Report Lower Extremity Lymphedema Screening Questionnaire in Women. Cancers 2024, 16, 2396. https://doi.org/10.3390/cancers16132396
Decorte T, Van Calster C, Randon C, Van Besien V, Ketels M, Vanden Bossche L, De Schryver M, Monten C. Dutch Translation of the Yost Self-Report Lower Extremity Lymphedema Screening Questionnaire in Women. Cancers. 2024; 16(13):2396. https://doi.org/10.3390/cancers16132396
Chicago/Turabian StyleDecorte, Tina, Charlotte Van Calster, Caren Randon, Vickie Van Besien, Mathilde Ketels, Luc Vanden Bossche, Mieke De Schryver, and Chris Monten. 2024. "Dutch Translation of the Yost Self-Report Lower Extremity Lymphedema Screening Questionnaire in Women" Cancers 16, no. 13: 2396. https://doi.org/10.3390/cancers16132396
APA StyleDecorte, T., Van Calster, C., Randon, C., Van Besien, V., Ketels, M., Vanden Bossche, L., De Schryver, M., & Monten, C. (2024). Dutch Translation of the Yost Self-Report Lower Extremity Lymphedema Screening Questionnaire in Women. Cancers, 16(13), 2396. https://doi.org/10.3390/cancers16132396

