Non-Syndromic and Syndromic Defects in Children with Extracranial Germ Cell Tumors: Data of 2610 Children Registered with the German MAKEI 96/MAHO 98 Registry Compared to the General Population
Abstract
Simple Summary
Abstract
1. Introduction
2. Materials and Methods
2.1. Study Population
2.2. Case Definitions
2.3. Definition of Exposure
2.4. Reference Population
2.5. Statistical Analysis
3. Results
3.1. Overall Frequency of Registered eGCTs
3.2. Location and Histology of eGCTs in Patients with Genetic Syndromes
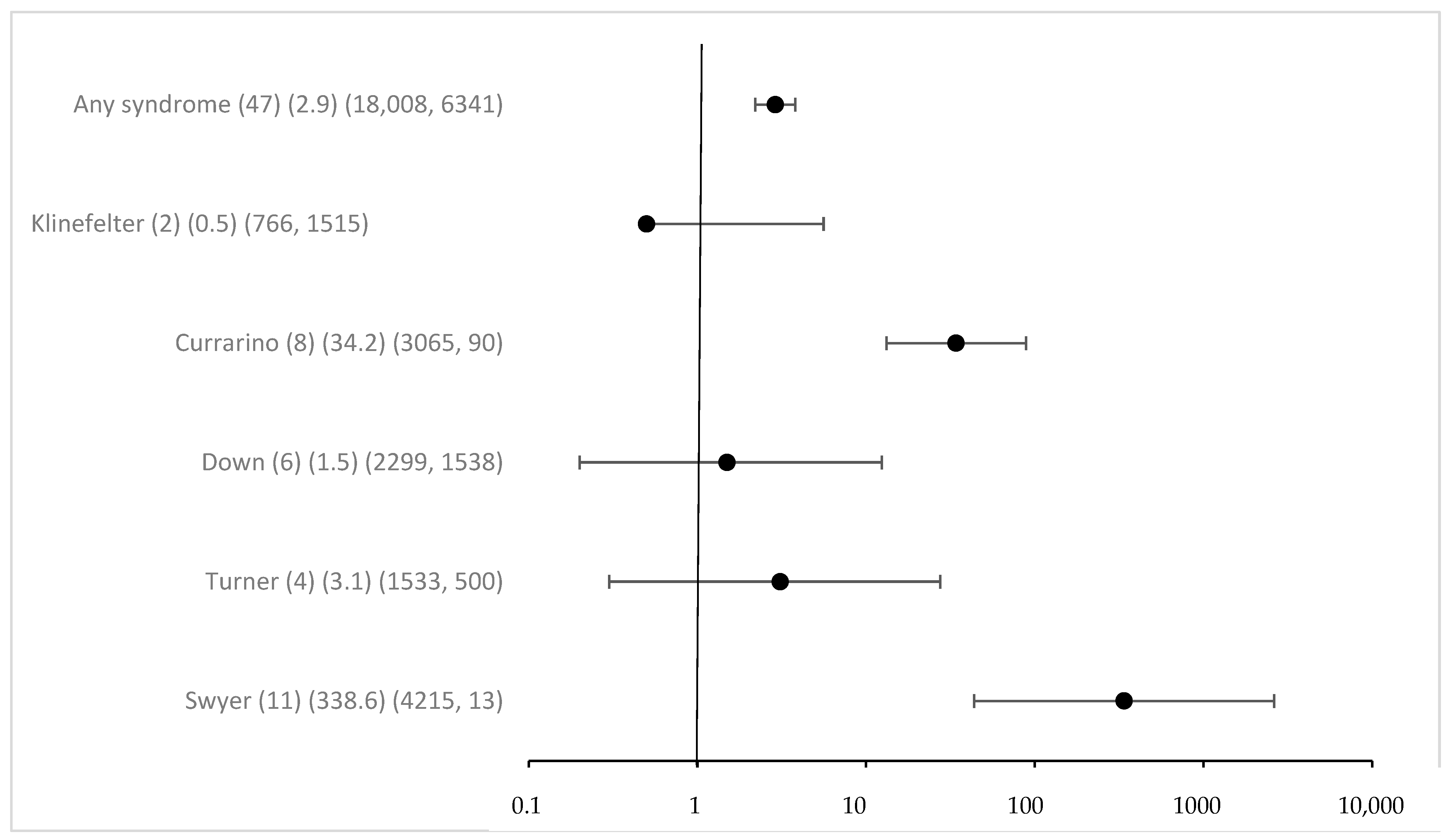
3.3. eGCT and Associated Genetic Syndromes
3.4. eGCT and Associated Malformations
4. Discussion
Strengths and Limitations
5. Conclusions
Supplementary Materials
Author Contributions
Funding
Institutional Review Board Statement
Informed Consent Statement
Data Availability Statement
Acknowledgments
Conflicts of Interest
References
- Lobo, J.; Gillis, A.J.M.; Jerónimo, C.; Henrique, R.; Looijenga, L.H.J. Human Germ Cell Tumors are Developmental Cancers: Impact of Epigenetics on Pathobiology and Clinic. Int. J. Mol. Sci. 2019, 20, 258. [Google Scholar] [CrossRef] [PubMed]
- Kaatsch, P.; Häfner, C.; Calaminus, G.; Blettner, M.; Tulla, M. Pediatric germ cell tumors from 1987 to 2011: Incidence rates, time trends, and survival. Pediatrics 2015, 135, e136–e143. [Google Scholar] [CrossRef] [PubMed]
- Jiang, S.; Dong, K.; Li, K.; Liu, J.; Du, X.; Huang, C.; Jiao, Y.; Han, Y.; Yang, J.; Liao, X.; et al. Extracranial Germ Cell Tumors in Children: Ten Years of Experience in Three Children’s Medical Centers in Shanghai. Cancers 2023, 15, 5412. [Google Scholar] [CrossRef] [PubMed]
- Teilum, G. Classification of endodermal sinus tumour (mesoblastoma vitellinum) and so-called “embryonal carcinoma” of the ovary. Acta Pathol. Microbiol. Scand. 1965, 64, 407–429. [Google Scholar] [CrossRef] [PubMed]
- Oosterhuis, J.W.; Stoop, H.; Honecker, F.; Looijenga, L.H. Why human extragonadal germ cell tumours occur in the midline of the body: Old concepts, new perspectives. Int. J. Androl. 2007, 30, 256–264. [Google Scholar] [CrossRef] [PubMed]
- Schneider, D.T.; Calaminus, G.; Koch, S.; Teske, C.; Schmidt, P.; Haas, R.J.; Harms, D.; Göbel, U. Epidemiologic analysis of 1442 children and adolescents registered in the German germ cell tumor protocols. Pediatr. Blood Cancer 2004, 42, 169–175. [Google Scholar] [CrossRef] [PubMed]
- Swyer, G.I.M. Male Pseudohermaphroditism: A Hitherto Undescribed Form. Br. Med. J. 1955, 2, 709–712. [Google Scholar] [CrossRef]
- Matsumoto, F.; Shimada, K.; Ida, S. Tumors of Bilateral Streak Gonads in Patients with Disorders of Sex Development Containing Y Chromosome Material. Clin. Pediatr. Endocrinol. 2014, 23, 93–97. [Google Scholar] [CrossRef]
- Down, J.L. Observations on an ethnic classification of idiots. 1866. Ment. Retard. 1995, 33, 54–56. [Google Scholar]
- Hasle, H. Pattern of malignant disorders in individuals with Down’s syndrome. Lancet Oncol. 2001, 2, 429–436. [Google Scholar] [CrossRef]
- Hasle, H.; Clemmensen, I.H.; Mikkelsen, M. Risks of leukaemia and solid tumours in individuals with Down’s syndrome. Lancet 2000, 355, 165–169. [Google Scholar] [CrossRef] [PubMed]
- Currarino, G.; Coln, D.; Votteler, T. Triad of anorectal, sacral, and presacral anomalies. AJR Am. J. Roentgenol. 1981, 137, 395–398. [Google Scholar] [CrossRef] [PubMed]
- Klinefelter, H.F.; Reifenstein, E.C.; Albright, F. Syndrome characterized by gynecomastia, aspermatogenesis without a-Leydigism, and increased excretion of follicle-stimulating hormone. J. Clin. Endocrinol. Metab. 1942, 2, 615–627. [Google Scholar] [CrossRef]
- Sogge, M.R.; McDonald, S.D.; Cofold, B. The malignant potential of the dysgenetic germ cell in Klinefelter’s syndrome. Am. J. Med. 1979, 66, 515–518. [Google Scholar] [CrossRef] [PubMed]
- Verp, M.S.; Simpson, J.L. Abnormal Sexual Differentiation and Neoplasia. Cancer Genet. Cytogenet. 1987, 25, 191–218. [Google Scholar] [CrossRef] [PubMed]
- Nishi, M.; Miyake, H.; Takeda, T.; Hatae, Y. Congenital Malformations and Childhood Cancer. Med. Pediatr. Oncol. 2000, 34, 250–254. [Google Scholar] [CrossRef]
- Calaminus, G.; Schneider, D.T.; von Schweinitz, D.; Jürgens, H.; Infed, N.; Schönberger, S.; Olson, T.A.; Albers, P.; Vokuhl, C.; Stein, R.; et al. Age-Dependent Presentation and Clinical Course of 1465 Patients Aged 0 to Less than 18 Years with Ovarian or Testicular Germ Cell Tumors; Data of the MAKEI 96 Protocol Revisited in the Light of Prenatal Germ Cell Biology. Cancers 2020, 12, 611. [Google Scholar] [CrossRef]
- Schneider, D.T.; Wessalowski, R.; Calaminus, G.; Pape, H.; Bamberg, M.; Engert, J.; Waag, K.; Gadner, H.; Göbel, U. Treatment of recurrent malignant sacrococcygeal germ cell tumors: Analysis of 22 patients registered in the German protocols MAKEI 83/86, 89, and 96. J. Clin. Oncol. 2001, 19, 1951–1960. [Google Scholar] [CrossRef] [PubMed]
- Greenlees, R.; Neville, A.; Addor, M.C.; Amar, E.; Arriola, L.; Bakker, M.; Barisic, I.; Boyd, P.A.; Calzolari, E.; Doray, B.; et al. Paper 6: EUROCAT Member Registries: Organization and Activities. Birth Defects Res. A Clin. Mol. Teratol. 2011, 91, S51–S100. [Google Scholar] [CrossRef]
- Tucker, F.D.; Morris, J.K.; on behalf of the JRC Management Committee; Neville, A.; Garne, E.; Kinsner-Ovaskainen, A.; Lanzoni, M.; Loane, M.A.; Martin, S.; Nicholl, C.; et al. EUROCAT: An update on its functions and activities. J. Community Genet. 2018, 9, 407–410. [Google Scholar] [CrossRef]
- EUROCAT. EUROCAT Guide 1.4: Instruction for the Registration of Congenital Anomalies. EUROCAT Central Registry, University of Ulster. 2013. Available online: https://eu-rd-platform.jrc.ec.europa.eu/eurocat/data-collection/guidelines-for-data-registration_en (accessed on 15 May 2024).
- Schraw, J.M.; Sok, P.; Desrosiers, T.A.; Janitz, A.E.; Langlois, P.H.; Canfield, M.A.; Frazier, A.L.; Plon, S.E.; Lupo, P.J.; Poynter, J.N. Associations between birth defects and childhood and adolescent germ cell tumors according to sex, histologic subtype, and site. Cancer 2023, 129, 3300–3308. [Google Scholar] [CrossRef]
- Queißer-Luft, A.; Spranger, J. Fehlbildungen bei Neugeborenen. Dtsch. Arztebl. 2006, 103, A 2464–A 2471. [Google Scholar]
- Hirschhorn, K.; Cooper, H.L.; Firschein, I.L. Deletion of short arms of chromosome 4–5 in a child with defects of midline fusion. Humangenetik 1965, 1, 479–482. [Google Scholar] [CrossRef]
- Caffey, J. Prenatal bowing and thickening of tubular bones, with multiple cutaneous dimples in arms and legs; a congenital syndrome of mechanical origin. Am. J. Dis. Child. 1947, 74, 543–562. [Google Scholar] [CrossRef] [PubMed]
- Capito, C.; Leclair, M.D.; Arnaud, A.; David, A.; Baron, S.; Corradini, N.; Héloury, Y. 46, XY pure gonadal dysgenesis: Clinical presentations and management of the tumor risk. J. Pediatr. Urol. 2011, 7, 72–75. [Google Scholar] [CrossRef]
- Cost, N.G.; Ludwig, A.T.; Wilcox, D.T.; Rakheja, D.; Steinberg, S.J.; Baker, L.A. A novel SOX9 mutation, 972delC, causes 46, XY sex-reversed campomelic dysplasia with nephrocalcinosis, urolithiasis, and dysgerminoma. J. Pediatr. Surg. 2009, 44, 451–454. [Google Scholar] [CrossRef]
- Lloyd, K.M.; Dennis, M. Cowden’s disease. A possible new symptom complex with multiple system involvement. Ann. Int. Med. 1963, 58, 136–142. [Google Scholar] [CrossRef]
- Denys, P.; Malvaux, P.; Van Den Berghe, H.; Tanghe, W.; Proesmans, W. Association of an anatomo-pathological syndrome of male pseudohermaphroditism, Wilms’ tumor, parenchymatous nephropathy and XX/XY mosaicism. Arch. Fr. Pediatr. 1967, 24, 729–739. [Google Scholar] [PubMed]
- Frasier, S.D.; Bashore, R.A.; Mosier, H.D. Gonadoblastoma associated with pure gonadal dysgenesis in monozygous twins. J. Pediatr. 1964, 64, 740–745. [Google Scholar] [CrossRef] [PubMed]
- Hersmus, R.; van Bever, Y.; Wolffenbuttel, K.P.; Biermann, K.; Cools, M.; Looijenga, L.H. The biology of germ cell tumors in disorders of sex development. Clin. Genet. 2017, 91, 292–301. [Google Scholar] [CrossRef]
- Imerslund, O. Idiopathic chronic megaloblastic anemia in children. Acta Paediatr. Suppl. 1960, 49, 1–115. [Google Scholar] [CrossRef]
- Lennox, W.G.; Davis, J.P. Clinical correlates of the fast and the slow spike-wave electroencephalogram. Pediatrics 1950, 5, 626–644. [Google Scholar] [CrossRef] [PubMed]
- Noonan, J.A.; Ehmke, D.A. Associated non-cardiac malformations in children with congenital heart disease. J. Pediatr. 1963, 63, 469. [Google Scholar]
- Poland, A. Deficiency of the pectoral muscles. Guy’s Hosp. Rep. 1841, 6, 191–193. [Google Scholar]
- Rett, A. Über ein eigenartiges hirnatrophisches Syndrom bei Hyperammonämie im Kindesalter. Wien. Med. Wochenschr. 1966, 116, 723–726. [Google Scholar] [PubMed]
- Sturge, W.A. A case of partial epilepsy apparently due to lesion of one of the vasomotor centres of the brain. Trans. Clin. Soc. Lond. 1879, 12, 162. [Google Scholar]
- West, W.J. On a peculiar form of infantile convulsions. Lancet 1841, 35, 724–725. [Google Scholar] [CrossRef]
- De Lange, C. Sur une type nouveau de dégénération (typus Amstelodamensis). Arch. Ned. Enfant. 1933, 36, 713–719. [Google Scholar]
- Cohen, M.M.; Hayden, P.W. A newly recognized hamartomatous syndrome. Birth Defects Orig. Artic. Ser. 1979, 15, 291–296. [Google Scholar]
- Turner, H.H. A syndrome of infantilism, congenital webbed neck and cubitus valgus. Endocrinology 1938, 23, 566–574. [Google Scholar] [CrossRef]
- Schneider, D.T.; Schuster, A.E.; Fritsch, M.K.; Calaminus, G.; Göbel, U.; Harms, D.; Lauer, S.; Olson, T.; Perlman, E.J. Genetic analysis of mediastinal nonseminomatous germ cell tumors in children and adolescents. Genes Chromosomes Cancer 2002, 34, 115–125. [Google Scholar] [CrossRef]
- Johnson, K.J.; Ross, J.A.; Poynter, J.N.; Linabery, A.M.; Robison, L.L.; Shu, X.O. Paediatric germ cell tumours and congenital abnormalities: A Children’s Oncology Group study. Br. J. Cancer 2009, 101, 518–521. [Google Scholar] [CrossRef] [PubMed]
- Johnson, K.J.; Lee, J.M.; Ahsan, K.; Padda, H.; Feng, Q.; Partap, S.; Fowler, S.A.; Druley, T.E. Pediatric cancer risk in association with birth defects: A systematic review. PLoS ONE 2017, 12, e0181246. [Google Scholar] [CrossRef]
- Botto, L.D.; Flood, T.; Little, J.; Fluchel, M.N.; Krikov, S.; Feldkamp, M.L.; Wu, Y.; Goedken, R.; Puzhankara, S.; Romitti, P.A. Cancer risk in children and adolescents with birth defects: A population-based cohort study. PLoS ONE 2013, 8, e69077. [Google Scholar] [CrossRef]
- Altmann, A.E.; Halliday, J.L.; Giles, G.G. Associations between congenital malformations and childhood cancer. A register-based case-control study. Br. J. Cancer 1998, 78, 1244–1249. [Google Scholar] [CrossRef]
- Carozza, S.E.; Langlois, P.H.; Miller, E.A.; Canfield, M. Are children with birth defects at higher risk of childhood cancers? Am. J. Epidemiol. 2012, 175, 1217–1224. [Google Scholar] [CrossRef] [PubMed]
- Zhu, H.L.; Bao, D.M.; Wang, Y.; Shen, D.H.; Li, Y.; Cui, H. Swyer’s Syndrome with Mixed Ovarian Malignant Germ Cell Tumor and Ovarian Gonadoblastoma. Chin. Med. J. 2016, 129, 1752–1754. [Google Scholar] [CrossRef]
- Satgé, D.; Sasco, A.J.; Curé, H.; Leduc, B.; Sommelet, D.; Vekemans, M.J. An excess of testicular germ cell tumors in Down’s syndrome: Three case reports and a review of the literature. Cancer 1997, 80, 929–935. [Google Scholar] [CrossRef]
- Rod, J.; Cretolle, C.; Faivre, L.; Jacquot, C.; Yacoub, O.; Ravasse, P.; Cheynel, N.; Sarnacki, S. Malignant transformation of presacral mass in Currarino syndrome. Pediatr. Blood Cancer 2019, 66, e27659. [Google Scholar] [CrossRef]
- Bonouvrie, K.; van der Werff Ten Bosch, J.; van den Akker, M. Klinefelter syndrome and germ cell tumors: Review of the literature. Int. J. Pediatr. Endocrinol. 2020, 2020, 18. [Google Scholar] [CrossRef]
- Cools, M.; Honecker, F.; Stoop, H.; Veltman, J.D.; de Krijger, R.R.; Steyerberg, E.; Wolffenbuttel, K.P.; Bokemeyer, C.; Lau, Y.F.C.; Drop, S.L.; et al. Maturation delay of germ cells in fetuses with trisomy 21 results in increased risk for the development of testicular germ cell tumors. Hum. Pathol. 2006, 37, 101–111. [Google Scholar] [CrossRef] [PubMed]
- Hughes, I.A.; Houk, C.; Ahmed, S.F.; Lee, P.A. Consensus statement on management of intersex disorders. Arch. Dis. Child. 2006, 91, 554–563. [Google Scholar] [CrossRef] [PubMed]
- Abel, R. Ein Fall von Pseudohermaphroditismus masculinus mit sarcomatöser Cryptorchis sinistra. Arch. Pathol. Anat. Physiol. Für Klin. Med. 1891, 126, 420–437. [Google Scholar] [CrossRef]
- Bispo, A.V.S.; Burégio-Frota, P.; dos Santos, L.O.; Leal, G.F.; Duarte, A.R.; Araújo, J.; da Silva, V.C.; Muniz, M.T.C.; Liehr, T.; Santos, N. Y chromosome in Turner syndrome: Detection of hidden mosaicism and the report of a rare X; Y translocation case. Reprod. Fertil. Dev. 2014, 26, 1176–1182. [Google Scholar] [CrossRef] [PubMed]
- Matsumoto, F.; Matsuyama, S.; Matsui, F.; Yazawa, K.; Matsuoka, K. Variation of Gonadal Dysgenesis and Tumor Risk in Patients with 45,X/46, XY Mosaicism. Urology 2020, 137, 157–160. [Google Scholar] [CrossRef]
- Piazza, M.J.; Urbanetz, A.A. Germ Cell Tumors in Dysgenetic Gonads. Clinics 2019, 74, e408. [Google Scholar] [CrossRef] [PubMed]
- Hennes, E.; Zahn, S.; Lopes, L.F.; Schönberger, S.; Leuschner, I.; Göbel, U.; Calaminus, G.; Schneider, D.T. Molecular genetic analysis of bilateral ovarian germ cell tumors. Klin. Padiatr. 2012, 224, 359–365. [Google Scholar] [CrossRef] [PubMed]
- Kathrins, M.; Kolon, T.F. Malignancy in disorders of sex development. Transl. Androl. Urol. 2016, 5, 794–798. [Google Scholar] [CrossRef] [PubMed]
- Pleskacova, J.; Hersmus, R.; Oosterhuis, J.W.; Setyawati, B.A.; Faradz, S.M.; Cools, M.; Wolffenbuttel, K.P.; Lebl, J.; Drop, S.L.; Looijenga, L.H. Tumor risk in disorders of sex development. Sex. Dev. 2010, 4, 259–269. [Google Scholar] [CrossRef]
- Cools, M.; Drop, S.L.; Wolffenbuttel, K.P.; Oosterhuis, J.W.; Looijenga, L.H. Germ Cell Tumors in the Intersex Gonad: Old Paths, New Directions, Moving Frontiers. Endocr. Rev. 2006, 27, 468–484. [Google Scholar] [CrossRef]
- Pyle, L.C.; Nathanson, K.L. A practical guide for evaluating gonadal germ cell tumor predisposition in differences of sex development. Am. J. Med. Genet. C Semin. Med. Genet. 2017, 175, 304–314. [Google Scholar] [CrossRef] [PubMed]
- Looijenga, L.H.J.; Kao, C.-S.; Idrees, M.T. Predicting gonadal germ cell cancer in people with disorders of sex development: Insights from developmental biology. Int. J. Mol. Sci. 2019, 20, 5017. [Google Scholar] [CrossRef] [PubMed]
- Dworschak, G.C.; Reutter, H.M.; Ludwig, M. Currarino syndrome: A comprehensive genetic review of a rare congenital disorder. Orphanet J. Rare Dis. 2021, 16, 167. [Google Scholar] [CrossRef] [PubMed]


| Tumor Localization | Syndromes | N | Sex | Median Age at Diagnosis (Range) | Malignant |
|---|---|---|---|---|---|
| Ovary | Swyer | 11 | f | 13 years (9–16 years) | 9/11 |
| Ovary | Turner | 4 | f | 13 years (8–19 years) | 2/4 |
| Ovary | Wolf–Hirschhorn [24] | 1 | f | 10 years | 1/1 |
| Ovary | Campomelic dysplasia [25,26,27] | 1 | f | 16 years | 1/1 |
| Ovary | Cowden [28] | 1 | f | 8 years | 1/1 |
| Ovary | Denys Drash [29,30] | 1 | f | 5 years | 1/1 |
| Ovary | Frasier [30,31] | 1 | f | 6 years | 1/1 |
| Ovary | Imerslund–Gräsbeck [32] | 1 | f | 14 years | 1/1 |
| Ovary | Lennox [33] | 1 | f | 15 years | 1/1 |
| Ovary | Noonan [34] | 1 | f | 16 years | 1/1 |
| Ovary | Poland [35] | 1 | f | 10 years | 0/1 |
| Ovary | Proteus | 1 | f | 15 years | 0/1 |
| Ovary | Rett [36] | 1 | f | 13 years | 1/1 |
| Testis, mediastinum, other | Down | 6 | 5 m/1 f | 14 years (7 months–19 years) | 5/6 |
| Testis | Sturge–Weber [37] | 1 | m | 14 years | 1/1 |
| Testis | West [38] | 1 | m | 16 years | 1/1 |
| Testis | Cornelia de Lange [39] | 1 | m | 15 years | 1/1 |
| Testis | Familial myoclonic dystony | 1 | m | 14 years | 1/1 |
| Mediastinum | Klinefelter | 2 | m | 12 years | 2/2 |
| Sacrococcygeal | Triple X | 1 | f | one day | 1/1 |
| Sacrococcygeal | Currarino | 8 | 4 m/4 f | 3 years (2 months–15 years) | 2/8 |
| Other | Neurofibromatosis I [40] | 1 | f | 16 years | 0/1 |
| Tumor Localization (n) | Congenital Anomaly | n | Sex | Median Age at Diagnosis (Range) | Malignant Tumor |
|---|---|---|---|---|---|
| Ovary (10) | Urogenital | 3 | f | 12 years (9–16 years) | 2/10 |
| Anorectal | 0 | ||||
| Hydrocephalus | 0 | ||||
| Severe CHD | 1 | f | 12 years | 2/10 | |
| Other | 6 | f | 11 years (4–14 years) | 2/10 | |
| Sacrococcygeal (18) | Urogenital | 7 | 4 f/3 m | 1 month (1 day–6 months) | 3/18 |
| Anorectal | 1 | f | 4 months | 1/18 | |
| Hydrocephalus | 2 | m | 1 day | 1/18 | |
| Severe CHD | 0 | ||||
| Other | 8 | 3 f/5 m | 6 months (1 day–2 years) | 5/18 | |
| Testis (13) | Urogenital | 10 | m | 7 years (3 months–16 years) | 7/13 |
| Anorectal | 0 | ||||
| Hydrocephalus | 0 | ||||
| Severe CHD | 2 | m | 9 years (1–17 years) | 2/13 | |
| Other | 1 | m | 13 years | 1/13 | |
| Mediastinum (2) | Urogenital | 0 | |||
| Anorectal | 0 | ||||
| Hydrocephalus | 1 | m | 16 years | 1/2 | |
| Severe CHD | 1 | m | 13 years | 1/2 | |
| Other | 0 | ||||
| Other (4) | Urogenital | 1 | m | Unknown | 0/4 |
| Anorectal | 0 | ||||
| Hydrocephalus | 0 | ||||
| Severe CHD | 1 | m | 19 years | 1/4 | |
| Other | 2 | 1 f/1 m | Unknown | 2/4 |
Disclaimer/Publisher’s Note: The statements, opinions and data contained in all publications are solely those of the individual author(s) and contributor(s) and not of MDPI and/or the editor(s). MDPI and/or the editor(s) disclaim responsibility for any injury to people or property resulting from any ideas, methods, instructions or products referred to in the content. |
© 2024 by the authors. Licensee MDPI, Basel, Switzerland. This article is an open access article distributed under the terms and conditions of the Creative Commons Attribution (CC BY) license (https://creativecommons.org/licenses/by/4.0/).
Share and Cite
Schultewolter, J.H.; Rissmann, A.; von Schweinitz, D.; Frühwald, M.; Blattmann, C.; Fischer, L.; Lange, B.S.; Wessalowski, R.; Fröhlich, B.; Behnisch, W.; et al. Non-Syndromic and Syndromic Defects in Children with Extracranial Germ Cell Tumors: Data of 2610 Children Registered with the German MAKEI 96/MAHO 98 Registry Compared to the General Population. Cancers 2024, 16, 2157. https://doi.org/10.3390/cancers16112157
Schultewolter JH, Rissmann A, von Schweinitz D, Frühwald M, Blattmann C, Fischer L, Lange BS, Wessalowski R, Fröhlich B, Behnisch W, et al. Non-Syndromic and Syndromic Defects in Children with Extracranial Germ Cell Tumors: Data of 2610 Children Registered with the German MAKEI 96/MAHO 98 Registry Compared to the General Population. Cancers. 2024; 16(11):2157. https://doi.org/10.3390/cancers16112157
Chicago/Turabian StyleSchultewolter, Judit H., Anke Rissmann, Dietrich von Schweinitz, Michael Frühwald, Claudia Blattmann, Lars Fischer, Björn Sönke Lange, Rüdiger Wessalowski, Birgit Fröhlich, Wolfgang Behnisch, and et al. 2024. "Non-Syndromic and Syndromic Defects in Children with Extracranial Germ Cell Tumors: Data of 2610 Children Registered with the German MAKEI 96/MAHO 98 Registry Compared to the General Population" Cancers 16, no. 11: 2157. https://doi.org/10.3390/cancers16112157
APA StyleSchultewolter, J. H., Rissmann, A., von Schweinitz, D., Frühwald, M., Blattmann, C., Fischer, L., Lange, B. S., Wessalowski, R., Fröhlich, B., Behnisch, W., Schmid, I., Reinhard, H., Dürken, M., Hundsdörfer, P., Heimbrodt, M., Vokuhl, C., Schönberger, S., Schneider, D. T., Seitz, G., ... Calaminus, G. (2024). Non-Syndromic and Syndromic Defects in Children with Extracranial Germ Cell Tumors: Data of 2610 Children Registered with the German MAKEI 96/MAHO 98 Registry Compared to the General Population. Cancers, 16(11), 2157. https://doi.org/10.3390/cancers16112157

