Disease Control and Toxicity Outcomes after Stereotactic Ablative Radiation Therapy for Recurrent and/or Metastatic Cancers in Young-Adult and Pediatric Patients
Abstract
Simple Summary
Abstract
1. Introduction
2. Materials and Methods
2.1. Patient Selection and Study Design
2.2. Radiation Treatment Planning
2.3. Follow-Up and Response Assessment
2.4. Statistical Analysis
3. Results
3.1. Local Control
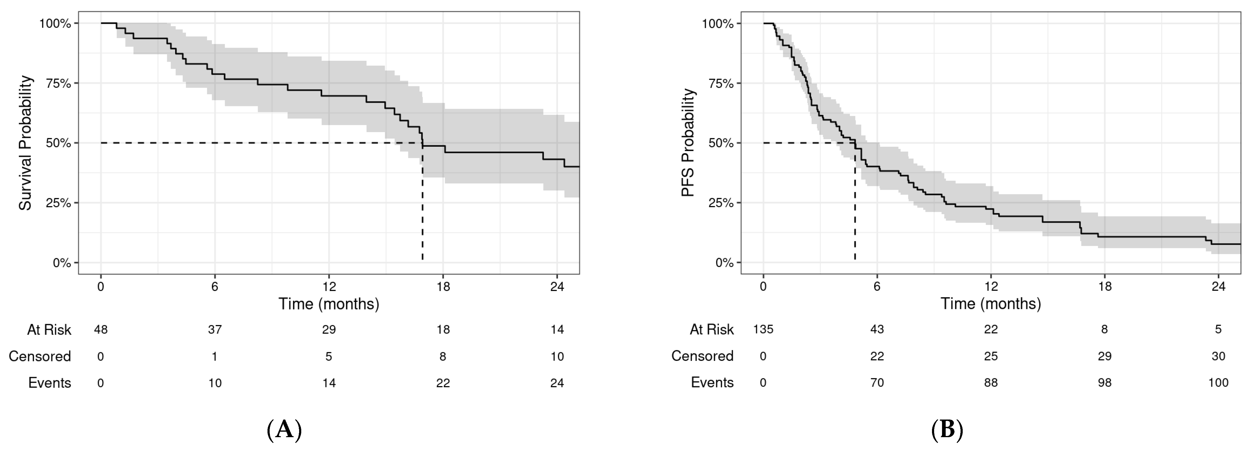
3.2. Overall Survival and Progression-Free Survival
3.3. Adverse Events
4. Discussion
5. Conclusions
Supplementary Materials
Author Contributions
Funding
Institutional Review Board Statement
Informed Consent Statement
Data Availability Statement
Conflicts of Interest
References
- Siegel, D.A.; Richardson, L.C.; Henley, S.J.; Wilson, R.J.; Dowling, N.F.; Weir, H.K.; Tai, E.W.; Buchanan Lunsford, N. Pediatric Cancer Mortality and Survival in the United States, 2001–2016. Cancer 2020, 126, 4379–4389. [Google Scholar] [CrossRef]
- Kager, L.; Zoubek, A.; Pötschger, U.; Kastner, U.; Flege, S.; Kempf-Bielack, B.; Branscheid, D.; Kotz, R.; Salzer-Kuntschik, M.; Winkelmann, W.; et al. Primary Metastatic Osteosarcoma: Presentation and Outcome of Patients Treated on Neoadjuvant Cooperative Osteosarcoma Study Group Protocols. J. Clin. Oncol. 2003, 21, 2011–2018. [Google Scholar] [CrossRef]
- Duchman, K.R.; Gao, Y.; Miller, B.J. Prognostic Factors for Survival in Patients with Ewing’s Sarcoma Using the Surveillance, Epidemiology, and End Results (SEER) Program Database. Cancer Epidemiol. 2015, 39, 189–195. [Google Scholar] [CrossRef]
- Mertens, A.C.; Yasui, Y.; Neglia, J.P.; Potter, J.D.; Nesbit, M.E.; Ruccione, K.; Smithson, W.A.; Robison, L.L. Late Mortality Experience in Five-Year Survivors of Childhood and Adolescent Cancer: The Childhood Cancer Survivor Study. J. Clin. Oncol. 2001, 19, 3163–3172. [Google Scholar] [CrossRef]
- Tucker, T.L.; Samant, R.S.; Fitzgibbon, E.J. Knowledge and Utilization of Palliative Radiotherapy by Pediatric Oncologists. Curr. Oncol. 2010, 17, 48–55. [Google Scholar] [CrossRef]
- Skamene, S.; Abish, S.; Mitchell, D.; Freeman, C. Radiotherapy Is Important for Local Control at Primary and Metastatic Sites in Pediatric Rhabdomyosarcoma. Cureus 2015, 7, e388. [Google Scholar] [CrossRef]
- Locquet, M.-A.; Brahmi, M.; Blay, J.-Y.; Dutour, A. Radiotherapy in Bone Sarcoma: The Quest for Better Treatment Option. BMC Cancer 2023, 23, 742. [Google Scholar] [CrossRef]
- Panditharatna, E.; Yaeger, K.; Kilburn, L.B.; Packer, R.J.; Nazarian, J. Clinicopathology of Diffuse Intrinsic Pontine Glioma and Its Redefined Genomic and Epigenomic Landscape. Cancer Genet. 2015, 208, 367–373. [Google Scholar] [CrossRef]
- Haas, R.L.; Floot, B.G.J.; Scholten, A.N.; van der Graaf, W.T.A.; van Houdt, W.; Schrage, Y.; van de Ven, M.; Bovée, J.V.M.G.; van Coevorden, F.; Vens, C. Cellular Radiosensitivity of Soft Tissue Sarcoma. Radiat. Res. 2021, 196, 23–30. [Google Scholar] [CrossRef]
- Desai, N.B.; Laine, A.M.; Timmerman, R.D. Stereotactic Ablative Body Radiotherapy (SAbR) for Oligometastatic Cancer. Br. J. Radiol. 2017, 90, 20160500. [Google Scholar] [CrossRef]
- Timmerman, R.D.; Herman, J.; Cho, L.C. Emergence of Stereotactic Body Radiation Therapy and Its Impact on Current and Future Clinical Practice. J. Clin. Oncol. 2014, 32, 2847–2854. [Google Scholar] [CrossRef]
- Song, C.W.; Kim, M.-S.; Cho, L.C.; Dusenbery, K.; Sperduto, P.W. Radiobiological Basis of SBRT and SRS. Int. J. Clin. Oncol. 2014, 19, 570–578. [Google Scholar] [CrossRef]
- Timmerman, R.; Galvin, J.; Michalski, J.; Straube, W.; Ibbott, G.; Martin, E.; Abdulrahman, R.; Swann, S.; Fowler, J.; Choy, H. Accreditation and Quality Assurance for Radiation Therapy Oncology Group: Multicenter Clinical Trials Using Stereotactic Body Radiation Therapy in Lung Cancer. Acta Oncol. 2006, 45, 779–786. [Google Scholar] [CrossRef]
- Timmerman, R.; Paulus, R.; Galvin, J.; Michalski, J.; Straube, W.; Bradley, J.; Fakiris, A.; Bezjak, A.; Videtic, G.; Johnstone, D.; et al. Stereotactic Body Radiation Therapy for Inoperable Early Stage Lung Cancer. JAMA 2010, 303, 1070–1076. [Google Scholar] [CrossRef]
- Palma, D.A.; Olson, R.; Harrow, S.; Gaede, S.; Louie, A.V.; Haasbeek, C.; Mulroy, L.; Lock, M.; Rodrigues, G.B.; Yaremko, B.P.; et al. Stereotactic Ablative Radiotherapy versus Standard of Care Palliative Treatment in Patients with Oligometastatic Cancers (SABR-COMET): A Randomised, Phase 2, Open-Label Trial. Lancet 2019, 393, 2051–2058. [Google Scholar] [CrossRef]
- Baliga, S.; Matsui, J.; Klamer, B.; Cetnar, A.; Ewing, A.; Cadieux, C.; Gupta, A.; Setty, B.A.; Roberts, R.D.; Olshefski, R.S.; et al. Clinical Outcomes and Efficacy of Stereotactic Body Radiation Therapy in Children, Adolescents, and Young Adults with Metastatic Solid Tumors. Br. J. Radiol. 2022, 95, 20211088. [Google Scholar] [CrossRef]
- Cox, B.W.; Spratt, D.E.; Lovelock, M.; Bilsky, M.H.; Lis, E.; Ryu, S.; Sheehan, J.; Gerszten, P.C.; Chang, E.; Gibbs, I.; et al. International Spine Radiosurgery Consortium Consensus Guidelines for Target Volume Definition in Spinal Stereotactic Radiosurgery. Int. J. Radiat. Oncol. Biol. Phys. 2012, 83, e597–e605. [Google Scholar] [CrossRef]
- Eisenhauer, E.A.; Therasse, P.; Bogaerts, J.; Schwartz, L.H.; Sargent, D.; Ford, R.; Dancey, J.; Arbuck, S.; Gwyther, S.; Mooney, M.; et al. New Response Evaluation Criteria in Solid Tumours: Revised RECIST Guideline (Version 1.1). Eur. J. Cancer 2009, 45, 228–247. [Google Scholar] [CrossRef]
- Common Terminology Criteria for Adverse Events (CTCAE). 2017. Available online: https://ctep.cancer.gov/protocolDevelopment/electronic_applications/docs/CTCAE_v5_Quick_Reference_8.5x11.pdf (accessed on 27 May 2024).
- Singh, R.; Valluri, A.; Didwania, P.; Lehrer, E.J.; Baliga, S.; Hiniker, S.; Braunstein, S.E.; Murphy, E.S.; Lazarev, S.; Tinkle, C.; et al. Efficacy and Safety of Stereotactic Body Radiation Therapy for Pediatric Malignancies: The LITE-SABR Systematic Review and Meta-Analysis. Adv. Radiat. Oncol. 2023, 8, 101123. [Google Scholar] [CrossRef]
- Elledge, C.R.; Krasin, M.J.; Ladra, M.M.; Alcorn, S.R.; Han, P.; Gibbs, I.C.; Hiniker, S.M.; Laack, N.N.; Terezakis, S.A. A Multi-Institutional Phase 2 Trial of Stereotactic Body Radiotherapy in the Treatment of Bone Metastases in Pediatric and Young Adult Patients with Sarcoma. Cancer 2021, 127, 739–747. [Google Scholar] [CrossRef]
- Somasundaram, E.; Smile, T.D.; Halima, A.; Broughman, J.B.; Reddy, C.A.; Parsai, S.; Scott, J.G.; Shah, C.; Chan, T.; Campbell, S.; et al. Association between Biologically Effective Dose and Local Control after Stereotactic Body Radiotherapy for Metastatic Sarcoma. J. Radiosurgery SBRT 2022, 8, 265–273. [Google Scholar]
- Bishop, A.J.; Tao, R.; Guadagnolo, B.A.; Allen, P.K.; Rebueno, N.C.; Wang, X.A.; Amini, B.; Tatsui, C.E.; Rhines, L.D.; Li, J.; et al. Spine Stereotactic Radiosurgery for Metastatic Sarcoma: Patterns of Failure and Radiation Treatment Volume Considerations. J. Neurosurg. Spine 2017, 27, 303–311. [Google Scholar] [CrossRef]
- Gomez, D.R.; Blumenschein, G.R.; Lee, J.J.; Hernandez, M.; Ye, R.; Camidge, D.R.; Doebele, R.C.; Skoulidis, F.; Gaspar, L.E.; Gibbons, D.L.; et al. Local Consolidative Therapy versus Maintenance Therapy or Observation for Patients with Oligometastatic Non-Small-Cell Lung Cancer without Progression after First-Line Systemic Therapy: A Multicentre, Randomised, Controlled, Phase 2 Study. Lancet Oncol. 2016, 17, 1672–1682. [Google Scholar] [CrossRef]
- Paulino, A.C.; Mai, W.Y.; Teh, B.S. Radiotherapy in Metastatic Ewing Sarcoma. Am. J. Clin. Oncol. 2013, 36, 283–286. [Google Scholar] [CrossRef]
- Smile, T.D.; Parsai, S.; Pflederer, T.M.; Murphy, E.S. Treatment Paradigms for Oligometastatic Pediatric Cancers: A Narrative Review with a Focus on Radiotherapy Approaches. Ann. Palliat. Med. 2021, 10, 6002015–6006015. [Google Scholar] [CrossRef]
- Tinkle, C.L.; Singh, C.; Lloyd, S.; Guo, Y.; Li, Y.; Pappo, A.S.; DuBois, S.G.; Lucas, J.T.; Haas-Kogan, D.A.; Terezakis, S.A.; et al. Stereotactic Body Radiation Therapy for Metastatic and Recurrent Solid Tumors in Children and Young Adults. Int. J. Radiat. Oncol. Biol. Phys. 2021, 109, 1396–1405. [Google Scholar] [CrossRef]
- Parsai, S.; Sedor, G.; Smile, T.D.; Scott, J.; Ochocki, A.; Vassil, N.; Zahler, S.; Angelov, L.; Chao, S.T.; Qi, P.; et al. Multiple Site SBRT in Pediatric, Adolescent, and Young Adult Patients With Recurrent and/or Metastatic Sarcoma. Am. J. Clin. Oncol. 2021, 44, 126–130. [Google Scholar] [CrossRef]
- Liu, K.X.; Chen, Y.-H.; Kozono, D.; Mak, R.H.; Boyle, P.J.; Janeway, K.A.; Mullen, E.A.; Marcus, K.J. Phase I/II Study of Stereotactic Body Radiation Therapy for Pulmonary Metastases in Pediatric Patients. Adv. Radiat. Oncol. 2020, 5, 1267–1273. [Google Scholar] [CrossRef]
- Di Perri, D.; Jouglar, E.; Blanc, E.; Ducassou, A.; Huchet, A.; Vigneron, C.; Escande, A.; Chapet, S.; Leseur, J.; Bernier, V.; et al. Hypofractionated Stereotactic Body Radiation Therapy (SBRT) in Pediatric Patients: Preliminary Toxicity Results of a National Prospective Multicenter Study. Br. J. Radiol. 2021, 94, 20210176. [Google Scholar] [CrossRef]




| Characteristic | N (%) |
|---|---|
| No. of patients | 48 |
| No. of courses | 135 |
| Courses per patient: median (IQR) | 2 (1–17) |
| Age at diagnosis: median (IQR) | 12.8 y (10–18 y) |
| Age at first SABR: median (IQR) | 15.6 y (14–23 y) |
| Sex | |
| Male | 34 (71) |
| Female | 14 (30) |
| Lansky performance score | |
| 90–100 | 25 (52) |
| <90 | 23 (48) |
| Primary tumor histology | |
| Sarcomas | 30 (62) |
| Ewing’s sarcoma | 12 (25) |
| Rhabdomyosarcoma | 8 (17) |
| Osteosarcoma | 6 (13) |
| Other sarcomas | 4 (8) |
| Melanoma | 2 (4) |
| Renal tumors | 6 (13) |
| Wilms’ tumor | 2 (4) |
| Renal cell carcinoma | 2 (4) |
| Neuroblastoma | 2 (4) |
| CNS tumors | 8 (17) |
| Gliomas | 6 (13) |
| Others | 2 (4) |
| Treatment site (per course) | |
| Extraspinal osseous metastasis | 44 (33) |
| Spine | 39 (29) |
| Lung | 32 (24) |
| Brain | 12 (9) |
| Other soft tissue metastasis | 8 (6) |
| Prior radiation (any site) | 28 (64) |
| Reirradiation | 24 (18) |
| Oligometastatic disease | 77 (57) |
| RT dose: median (IQR) | 30 Gy (25–35) |
| BED: median (IQR) | 48 Gy (38–60 Gy) |
| Surgery | |
| Primary site | 110 (81) |
| Metastatic site (at recurrence) | 28 (2) |
| Concurrent chemotherapy | 41 (30) |
| Univariate Analysis | Multivariable Analysis | |||||||
|---|---|---|---|---|---|---|---|---|
| Characteristic | N | Event | HR 1 | 95% CI 2 | p-Value | HR 1 | 95% CI 2 | p-Value |
| Age at RT | 135 | 13 | 0.88 | 0.81, 0.97 | 0.008 * | 0.88 | 0.80, 0.97 | 0.010 * |
| Sex | 0.7 | 0.752 | ||||||
| Male | 108 | 11 | — | — | — | — | ||
| Female | 27 | 2 | 0.74 | 0.16, 3.32 | 0.78 | 0.16, 3.75 | ||
| Sarcoma | 0.010 * | 0.213 | ||||||
| No | 32 | 7 | — | — | — | — | ||
| Yes | 103 | 6 | 0.24 | 0.08, 0.72 | 0.47 | 0.14, 1.54 | ||
| Treatment Site | 0.7 | Not included | ||||||
| Other osseous | 44 | 4 | — | — | ||||
| Spine | 39 | 5 | 1.46 | 0.40, 5.37 | ||||
| Lung | 32 | 2 | 0.66 | 0.12, 3.59 | ||||
| Brain | 12 | 2 | 1.67 | 0.33, 8.58 | ||||
| Lansky PS | 135 | 13 | 0.98 | 0.95, 1.02 | 0.4 | Not included | ||
| Oligometastases | 0.4 | Not included | ||||||
| No | 58 | 4 | — | — | ||||
| Yes | 77 | 9 | 1.72 | 0.53, 5.61 | ||||
| Number of lesions at SABR | 135 | 13 | 0.81 | 0.58, 1.13 | 0.2 | Not included | ||
| BED (3rd vs. 1st quartile) | 135 | 13 | 0.37 | 0.20, 0.68 | 0.001 * | 0.44 | 0.29, 0.64 | <0.001 * |
| BED | 0.11 | Not included | ||||||
| ≤48 | 98 | 12 | — | — | ||||
| >48 | 37 | 1 | 0.20 | 0.03, 1.45 | ||||
| Previous RT | 0.4 | Not included | ||||||
| No | 28 | 4 | — | — | ||||
| Yes | 107 | 9 | 0.64 | 0.20, 2.06 | ||||
| Chemotherapy during SABR | 0.048 * | 0.008 * | ||||||
| No | 94 | 6 | — | — | — | — | ||
| Yes | 41 | 7 | 2.93 | 1.01, 8.48 | 5.56 | 1.56, 19.8 | ||
| Prior systemic therapy | 0.3 | Not included | ||||||
| No | 30 | 4 | — | — | ||||
| Yes | 105 | 9 | 0.53 | 0.17, 1.69 | ||||
| Surgery for metastatic site | 0.8 | Not included | ||||||
| No | 107 | 10 | — | — | ||||
| Yes | 28 | 3 | 1.19 | 0.32, 4.48 | ||||
Disclaimer/Publisher’s Note: The statements, opinions and data contained in all publications are solely those of the individual author(s) and contributor(s) and not of MDPI and/or the editor(s). MDPI and/or the editor(s) disclaim responsibility for any injury to people or property resulting from any ideas, methods, instructions or products referred to in the content. |
© 2024 by the authors. Licensee MDPI, Basel, Switzerland. This article is an open access article distributed under the terms and conditions of the Creative Commons Attribution (CC BY) license (https://creativecommons.org/licenses/by/4.0/).
Share and Cite
Upadhyay, R.; Klamer, B.; Matsui, J.; Chakravarthy, V.B.; Scharschmidt, T.; Yeager, N.; Setty, B.A.; Cripe, T.P.; Roberts, R.D.; Aldrink, J.H.; et al. Disease Control and Toxicity Outcomes after Stereotactic Ablative Radiation Therapy for Recurrent and/or Metastatic Cancers in Young-Adult and Pediatric Patients. Cancers 2024, 16, 2090. https://doi.org/10.3390/cancers16112090
Upadhyay R, Klamer B, Matsui J, Chakravarthy VB, Scharschmidt T, Yeager N, Setty BA, Cripe TP, Roberts RD, Aldrink JH, et al. Disease Control and Toxicity Outcomes after Stereotactic Ablative Radiation Therapy for Recurrent and/or Metastatic Cancers in Young-Adult and Pediatric Patients. Cancers. 2024; 16(11):2090. https://doi.org/10.3390/cancers16112090
Chicago/Turabian StyleUpadhyay, Rituraj, Brett Klamer, Jennifer Matsui, Vikram B. Chakravarthy, Thomas Scharschmidt, Nicholas Yeager, Bhuvana A. Setty, Timothy P. Cripe, Ryan D. Roberts, Jennifer H. Aldrink, and et al. 2024. "Disease Control and Toxicity Outcomes after Stereotactic Ablative Radiation Therapy for Recurrent and/or Metastatic Cancers in Young-Adult and Pediatric Patients" Cancers 16, no. 11: 2090. https://doi.org/10.3390/cancers16112090
APA StyleUpadhyay, R., Klamer, B., Matsui, J., Chakravarthy, V. B., Scharschmidt, T., Yeager, N., Setty, B. A., Cripe, T. P., Roberts, R. D., Aldrink, J. H., Singh, R., Raval, R. R., Palmer, J. D., & Baliga, S. (2024). Disease Control and Toxicity Outcomes after Stereotactic Ablative Radiation Therapy for Recurrent and/or Metastatic Cancers in Young-Adult and Pediatric Patients. Cancers, 16(11), 2090. https://doi.org/10.3390/cancers16112090

