Oncological Outcomes and Patterns of Recurrence after the Surgical Resection of an Invasive Intraductal Papillary Mucinous Neoplasm versus Primary Pancreatic Ductal Adenocarcinoma: An Analysis from the German Cancer Registry Group of the Society of German Tumor Centers
Abstract
Simple Summary
Abstract
1. Introduction
2. Materials and Methods
Statistical Methods
3. Results
3.1. Patient Cohort Characteristics
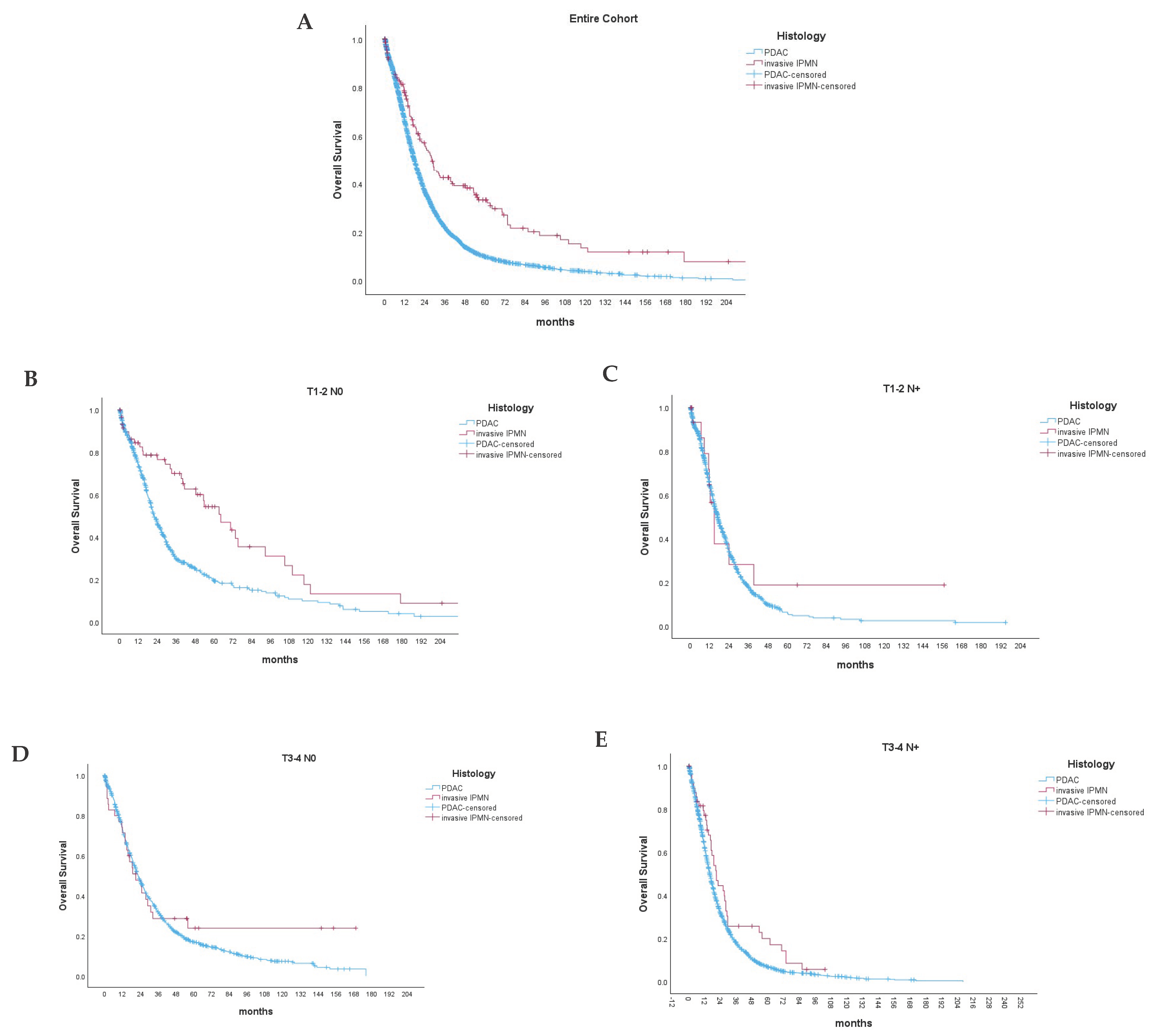
3.2. Invasive IPMN Biology Is Associated with Better Overall and Disease-Free Survival
3.3. IPMN Biology Is an Independent, Positive Prognostic Factor
3.4. Metachronous Metastasis Locations Differ between PDAC and Invasive IPMN
3.5. Effect of Postoperative Chemotherapy on Invasive IPMN and PDAC
4. Discussion
5. Conclusions
Supplementary Materials
Author Contributions
Funding
Institutional Review Board Statement
Informed Consent Statement
Data Availability Statement
Acknowledgments
Conflicts of Interest
References
- Ohhashi, K. Four cases of “mucin producing” cancer of the pancreas on specific findings of the papilla of Vater. Prog. Dig. Endosc. 1982, 20, 348–351. [Google Scholar]
- Hamilton, S.R.; Aaltonen, L.A. Pathology and Genetics of Tumours of the Digestive System; IARC press: Lyon, France, 2000. [Google Scholar]
- Adsay, V.; Mino-Kenudson, M.; Furukawa, T.; Basturk, O.; Zamboni, G.; Marchegiani, G.; Bassi, C.; Salvia, R.; Malleo, G.; Paiella, S.; et al. Pathologic Evaluation and Reporting of Intraductal Papillary Mucinous Neoplasms of the Pancreas and Other Tumoral Intraepithelial Neoplasms of Pancreatobiliary Tract: Recommendations of Verona Consensus Meeting. Ann. Surg. 2016, 263, 162–177. [Google Scholar] [CrossRef] [PubMed]
- European Study Group on Cystic Tumours of the Pancreas. European evidence-based guidelines on pancreatic cystic neoplasms. Gut 2018, 67, 789–804. [Google Scholar] [CrossRef] [PubMed]
- Tanaka, M.; Fernández-del Castillo, C.; Kamisawa, T.; Jang, J.Y.; Levy, P.; Ohtsuka, T.; Salvia, R.; Shimizu, Y.; Tada, M.; Wolfgang, C.L. Revisions of international consensus Fukuoka guidelines for the management of IPMN of the pancreas. Pancreatology 2017, 17, 738–753. [Google Scholar] [CrossRef] [PubMed]
- Mungo, B.; Croce, C.; Oba, A.; Ahrendt, S.; Gleisner, A.; Friedman, C.; Schulick, R.D.; Del Chiaro, M. Controversial Role of Adjuvant Therapy in Node-Negative Invasive Intraductal Papillary Mucinous Neoplasm. Ann. Surg. Oncol. 2021, 28, 1533–1542. [Google Scholar] [CrossRef] [PubMed]
- Aronsson, L.; Bengtsson, A.; Torén, W.; Andersson, R.; Ansari, D. Intraductal papillary mucinous carcinoma versus pancreatic ductal adenocarcinoma: A systematic review and meta-analysis. Int. J. Surg. 2019, 71, 91–99. [Google Scholar] [CrossRef] [PubMed]
- Koh, Y.X.; Chok, A.Y.; Zheng, H.L.; Tan, C.S.; Goh, B.K. Systematic review and meta-analysis comparing the surgical outcomes of invasive intraductal papillary mucinous neoplasms and conventional pancreatic ductal adenocarcinoma. Ann. Surg. Oncol. 2014, 21, 2782–2800. [Google Scholar] [CrossRef] [PubMed]
- Ziogas, I.A.; Rodriguez Franco, S.; Schmoke, N.; Meguid, C.; Murphy, C.; Al-Musawi, M.; Alexopoulos, S.P.; Schulick, R.D.; Del Chiaro, M. Comparison of Invasive Pancreatic Ductal Adenocarcinoma versus Intraductal Papillary Mucinous Neoplasm: A National Cancer Database Analysis. Cancers 2023, 15, 1185. [Google Scholar] [CrossRef] [PubMed]
- Holmberg, M.; Linder, S.; Kordes, M.; Liljefors, M.; Ghorbani, P.; Löhr, J.M.; Sparrelid, E. Impact of spatio-temporal recurrence pattern on overall survival for invasive intraductal papillary mucinous neoplasia—A comparison with pancreatic ductal adenocarcinoma. Pancreatology 2022, 22, 598–607. [Google Scholar] [CrossRef]
- Honselmann, K.C.; Pergolini, I.; Fernandez-del Castillo, C.; Deshpande, V.; Ting, D.; Taylor, M.S.; Bolm, L.; Qadan, M.; Wellner, U.; Sandini, M.; et al. Timing But Not Patterns of Recurrence Is Different Between Node-negative and Node-positive Resected Pancreatic Cancer. Ann. Surg. 2020, 272, 357–365. [Google Scholar] [CrossRef]
- Jones, R.P.; Psarelli, E.E.; Jackson, R.; Ghaneh, P.; Halloran, C.M.; Palmer, D.H.; Campbell, F.; Valle, J.W.; Faluyi, O.; O’Reilly, D.A.; et al. Patterns of Recurrence After Resection of Pancreatic Ductal Adenocarcinoma: A Secondary Analysis of the ESPAC-4 Randomized Adjuvant Chemotherapy Trial. JAMA Surg. 2019, 154, 1038–1048. [Google Scholar] [CrossRef] [PubMed]
- World Health Organization. International Classification of Diseases for Oncology (ICD-O), 3rd ed., 1st Revision Edision; World Health Organization: Geneva, Switzerland, 2013. [Google Scholar]
- Brierley, J.D.; Gospodarowicz, M.K.; Wittekind, C. TNM Classification of Malignant Tumours; John Wiley & Sons: Hoboken, NJ, USA, 2017. [Google Scholar]
- Sobin, L.H.; Gospodarowicz, M.K.; Wittekind, C. TNM Classification of Malignant Tumours; John Wiley & Sons: Hoboken, NJ, USA, 2011. [Google Scholar]
- Cong, L.; Liu, Q.; Zhang, R.; Cui, M.; Zhang, X.; Gao, X.; Guo, J.; Dai, M.; Zhang, T.; Liao, Q.; et al. Tumor size classification of the 8(th) edition of TNM staging system is superior to that of the 7(th) edition in predicting the survival outcome of pancreatic cancer patients after radical resection and adjuvant chemotherapy. Sci. Rep. 2018, 8, 10383. [Google Scholar] [CrossRef] [PubMed]
- Mino-Kenudson, M.; Fernández-del Castillo, C.; Baba, Y.; Valsangkar, N.P.; Liss, A.S.; Hsu, M.; Correa-Gallego, C.; Ingkakul, T.; Johnston, R.P.; Turner, B.G.; et al. Prognosis of invasive intraductal papillary mucinous neoplasm depends on histological and precursor epithelial subtypes. Gut 2011, 60, 1712–1720. [Google Scholar] [CrossRef] [PubMed]
- Salvia, R.; Fernández-del Castillo, C.; Bassi, C.; Thayer, S.P.; Falconi, M.; Mantovani, W.; Pederzoli, P.; Warshaw, A.L. Main-duct intraductal papillary mucinous neoplasms of the pancreas: Clinical predictors of malignancy and long-term survival following resection. Ann. Surg. 2004, 239, 678–685; discussion 85–87. [Google Scholar] [CrossRef] [PubMed]
- Holmberg, M.; Ghorbani, P.; Gilg, S.; Del Chiaro, M.; Arnelo, U.; Löhr, J.M.; Sparrelid, E. Outcome after resection for invasive intraductal papillary mucinous neoplasia is similar to conventional pancreatic ductal adenocarcinoma. Pancreatology 2021, 21, 1371–1377. [Google Scholar] [CrossRef] [PubMed]
- Oweira, H.; Petrausch, U.; Helbling, D.; Schmidt, J.; Mannhart, M.; Mehrabi, A.; Schöb, O.; Giryes, A.; Decker, M.; Abdel-Rahman, O. Prognostic value of site-specific metastases in pancreatic adenocarcinoma: A Surveillance Epidemiology and End Results database analysis. World J. Gastroenterol. 2017, 23, 1872–1880. [Google Scholar] [CrossRef] [PubMed]
- Kurreck, A.; Weckwerth, J.; Modest, D.P.; Striefler, J.K.; Bahra, M.; Bischoff, S.; Pelzer, U.; Oettle, H.; Kruger, S.; Riess, H.; et al. Impact of completeness of adjuvant gemcitabine, relapse pattern, and subsequent therapy on outcome of patients with resected pancreatic ductal adenocarcinoma—A pooled analysis of CONKO-001, CONKO-005, and CONKO-006 trials. Eur. J. Cancer 2021, 150, 250–259. [Google Scholar] [CrossRef] [PubMed]
- Homma, Y.; Endo, I.; Matsuyama, R.; Sho, M.; Mizuno, S.; Seyama, Y.; Hirano, S.; Aono, T.; Kitami, C.; Morita, Y.; et al. Outcomes of lung metastasis from pancreatic cancer: A nationwide multicenter analysis. J. Hepatobiliary Pancreat. Sci. 2022, 29, 552–561. [Google Scholar] [CrossRef] [PubMed]
- Turrini, O.; Waters, J.A.; Schnelldorfer, T.; Lillemoe, K.D.; Yiannoutsos, C.T.; Farnell, M.B.; Sarr, M.G.; Schmidt, C.M. Invasive intraductal papillary mucinous neoplasm: Predictors of survival and role of adjuvant therapy. HPB 2010, 12, 447–455. [Google Scholar] [CrossRef]
- Rodrigues, C.; Hank, T.; Qadan, M.; Ciprani, D.; Mino-Kenudson, M.; Weekes, C.D.; Ryan, D.P.; Clark, J.W.; Allen, J.N.; Hong, T.S.; et al. Impact of adjuvant therapy in patients with invasive intraductal papillary mucinous neoplasms of the pancreas. Pancreatology 2020, 20, 722–728. [Google Scholar] [CrossRef]
- Petruch, N.; Rojas, M.S.; Lillemoe, K.D.; Fernandez-del Castillo, C.; Braun, R.; Honselmann, K.C.; Lapshyn, H.; Deichmann, S.; Abdalla, T.S.; Hummel, R.; et al. The impact of surgical-oncologic textbook outcome in patients with stage I to III pancreatic ductal adenocarcinoma: A cross-validation study of two national registries. Surgery 2024, 175, 1120–1127. [Google Scholar] [CrossRef] [PubMed]
- ADT. Arbeitsgemeinschaft Deutscher Tumorzentren e.V. Available online: www.adt-netzwerk.de/Fortbildungen/Fortbildungsreihe_und_Zertifikat_Tumordokumentar_in (accessed on 24 May 2024).




| PDAC | Invasive IPMN | p-Value | |
|---|---|---|---|
| Sex | n = 5793 | n = 217 | |
| Male | 3093 (52%) | 116 (54%) | |
| Female | 2880 (48%) | 101 (46%) | |
| Age | n = 5972 | n = 217 | 0.043 |
| <65 years | 1902 (32%) | 55 (25%) | |
| ≥65 years | 4070 (68%) | 162 (75%) | |
| Tumor Size | n = 5974 | n = 217 | <0.001 |
| pT1 | 194 (3%) | 48 (22%) | |
| pT2 | 1805 (30%) | 65 (30%) | |
| pT3-4 | 3975 (67%) | 104 (48%) | |
| Lymph Node Metastasis | n = 5974 | n = 217 | <0.001 |
| pN0 | 1845 (31%) | 127 (59%) | |
| pN+ | 4120 (69%) | 90 (41%) | |
| Tumor Grading | n = 5839 | n = 198 | <0.001 |
| G1 | 265 (4%) | 32 (16%) | |
| G2 | 3056 (52%) | 100 (51%) | |
| G3 | 2506 (43%) | 63 (32%) | |
| G4 | 12 (<1%) | 2 (1%) | |
| Lymphangiosis | n = 5530 | n = 197 | <0.001 |
| L0 | 2311 (42%) | 107 (54%) | |
| L1 | 3219 (58%) | 90 (46%) | |
| Hemangiosis | n = 5386 | n = 196 | 0.015 |
| V0 | 3981 (74%) | 160 (82%) | |
| V1 | 1405 (26%) | 36 (18%) | |
| Resection Margins | n = 5974 | n = 217 | <0.001 |
| R0 | 4414 (74%) | 190 (88%) | |
| R1-2 | 1560 (26%) | 27 (12%) | |
| Surgical Procedure | n = 5480 | n = 204 | <0.001 |
| PD | 4045 (74%) | 133 (65%) | |
| DP | 773 (14%) | 27 (13%) | |
| TP | 653 (12%) | 44 (22%) | |
| Disease Progression | |||
| Local Recurrence | 873/5974 (15%) | 24/217 (11%) | 0.011 |
| Distant Metastases | 2050/4451 (46%) | 54/189 (29%) | <0.001 |
| Hazard Ratio | 95% CI | p-Value | |
|---|---|---|---|
| Age, >65 vs. <65 years | 1.341 | 1.257–1.430 | <0.001 |
| Sex, Male vs. Female | 1.097 | 1.034–1.164 | 0.002 |
| Tumor Size (Reference = T1) | |||
| T2 vs. T1 | 1.589 | 1.321–1.912 | <0.001 |
| T3–4 vs. T1 | 1.537 | 1.286–1.837 | <0.001 |
| Lymph Node Metastasis, N+ vs. N0 | 1.413 | 1.321–1.512 | <0.001 |
| Resection Margins, R+ vs. R0 | 1.463 | 1.369–1.564 | <0.001 |
| Histology, Invasive IPMN vs. PDAC | 0.674 | 0.555–0.818 | <0.001 |
Disclaimer/Publisher’s Note: The statements, opinions and data contained in all publications are solely those of the individual author(s) and contributor(s) and not of MDPI and/or the editor(s). MDPI and/or the editor(s) disclaim responsibility for any injury to people or property resulting from any ideas, methods, instructions or products referred to in the content. |
© 2024 by the authors. Licensee MDPI, Basel, Switzerland. This article is an open access article distributed under the terms and conditions of the Creative Commons Attribution (CC BY) license (https://creativecommons.org/licenses/by/4.0/).
Share and Cite
Abdalla, T.S.A.; Duhn, J.; Klinkhammer-Schalke, M.; Zeissig, S.R.; Kleihues-van Tol, K.; Honselmann, K.C.; Braun, R.; Kist, M.; Bolm, L.; von Fritsch, L.; et al. Oncological Outcomes and Patterns of Recurrence after the Surgical Resection of an Invasive Intraductal Papillary Mucinous Neoplasm versus Primary Pancreatic Ductal Adenocarcinoma: An Analysis from the German Cancer Registry Group of the Society of German Tumor Centers. Cancers 2024, 16, 2016. https://doi.org/10.3390/cancers16112016
Abdalla TSA, Duhn J, Klinkhammer-Schalke M, Zeissig SR, Kleihues-van Tol K, Honselmann KC, Braun R, Kist M, Bolm L, von Fritsch L, et al. Oncological Outcomes and Patterns of Recurrence after the Surgical Resection of an Invasive Intraductal Papillary Mucinous Neoplasm versus Primary Pancreatic Ductal Adenocarcinoma: An Analysis from the German Cancer Registry Group of the Society of German Tumor Centers. Cancers. 2024; 16(11):2016. https://doi.org/10.3390/cancers16112016
Chicago/Turabian StyleAbdalla, Thaer S. A., Jannis Duhn, Monika Klinkhammer-Schalke, Sylke Ruth Zeissig, Kees Kleihues-van Tol, Kim C. Honselmann, Rüdiger Braun, Markus Kist, Louisa Bolm, Lennart von Fritsch, and et al. 2024. "Oncological Outcomes and Patterns of Recurrence after the Surgical Resection of an Invasive Intraductal Papillary Mucinous Neoplasm versus Primary Pancreatic Ductal Adenocarcinoma: An Analysis from the German Cancer Registry Group of the Society of German Tumor Centers" Cancers 16, no. 11: 2016. https://doi.org/10.3390/cancers16112016
APA StyleAbdalla, T. S. A., Duhn, J., Klinkhammer-Schalke, M., Zeissig, S. R., Kleihues-van Tol, K., Honselmann, K. C., Braun, R., Kist, M., Bolm, L., von Fritsch, L., Lapshyn, H., Litkevych, S., Hummel, R., Zemskov, S., Wellner, U. F., Keck, T., & Deichmann, S. (2024). Oncological Outcomes and Patterns of Recurrence after the Surgical Resection of an Invasive Intraductal Papillary Mucinous Neoplasm versus Primary Pancreatic Ductal Adenocarcinoma: An Analysis from the German Cancer Registry Group of the Society of German Tumor Centers. Cancers, 16(11), 2016. https://doi.org/10.3390/cancers16112016

