Validation of the “Rome” Classification for Squamous Cell Carcinoma of the Nasal Vestibule
Abstract
:Simple Summary
Abstract
1. Introduction
2. Materials and Methods
2.1. Study Population
2.2. Statistical Analysis
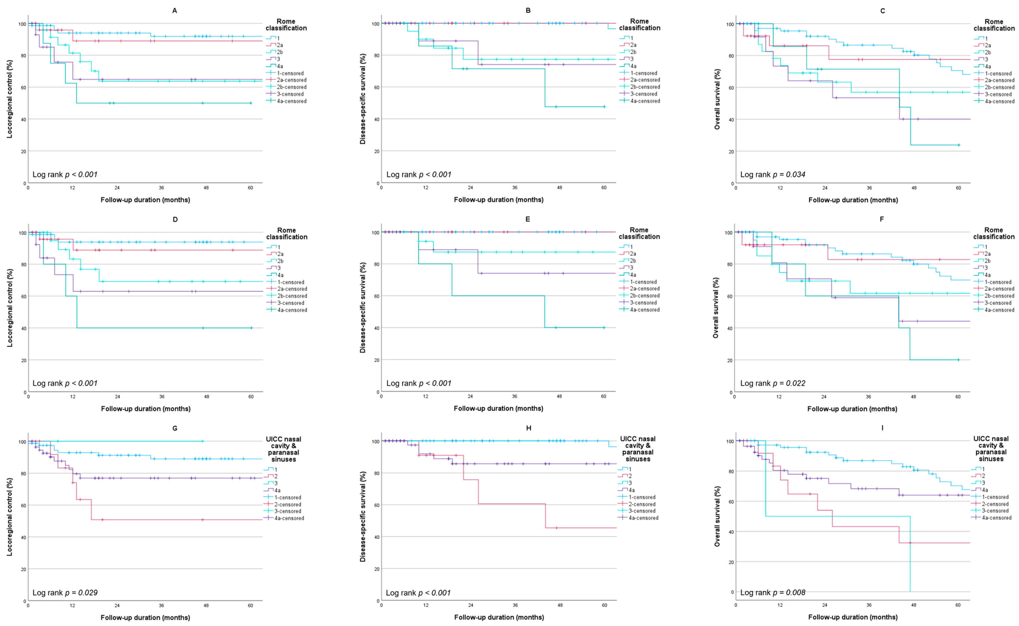
3. Results
4. Discussion
5. Conclusions
Author Contributions
Funding
Institutional Review Board Statement
Informed Consent Statement
Data Availability Statement
Conflicts of Interest
References
- Agger, A.; von Buchwald, C.; Madsen, A.R.; Yde, J.; Lesnikova, I.; Christensen, C.B.; Foghsgaard, S.; Christensen, T.B.; Hansen, H.S.; Larsen, S.; et al. Squamous cell carcinoma of the nasal vestibule 1993–2002: A nationwide retrospective study from DAHANCA. Head Neck 2009, 31, 1593–1599. [Google Scholar] [CrossRef] [PubMed]
- Talmi, Y.P.; Ferlito, A.; Takes, R.P.; Strojan, P.; Langendijk, J.A.; Shaha, A.R.; Rinaldo, A. Lymph node metastasis in nasal vestibule cancer: A review. Head Neck 2011, 33, 1783–1788. [Google Scholar] [CrossRef] [PubMed]
- Wong, C.S.; Cummings, B.J. The place of radiation therapy in the treatment of squamous cell carcinoma of the nasal vestibule. A review. Acta Oncol. 1988, 27, 203–208. [Google Scholar] [CrossRef] [PubMed]
- Zaoui, K.; Plinkert, P.K.; Federspil, P.A. Primary surgical treatment of nasal vestibule cancer—Therapeutic outcome and reconstructive strategies. Rhinology 2018, 56, 393–399. [Google Scholar] [CrossRef] [PubMed]
- Bussu, F.; Tagliaferri, L.; Mattiucci, G.; Parrilla, C.; Dinapoli, N.; Micciche, F.; Artuso, A.; Galli, J.; Almadori, G.; Valentini, V.; et al. Comparison of interstitial brachytherapy and surgery as primary treatments for nasal vestibule carcinomas. Laryngoscope 2016, 126, 367–371. [Google Scholar] [CrossRef] [PubMed]
- Lipman, D.; Verhoef, L.C.; Takes, R.P.; Kaanders, J.H.; Janssens, G.O. Outcome and toxicity profile after brachytherapy for squamous cell carcinoma of the nasal vestibule. Head Neck 2015, 37, 1297–1303. [Google Scholar] [CrossRef] [PubMed]
- Vital, D.; Morand, G.; Huber, G.F.; Studer, G.; Holzmann, D. Outcome in squamous cell carcinoma of the nasal vestibule: A single center experience. Head Neck 2015, 37, 46–51. [Google Scholar] [CrossRef]
- Langendijk, J.A.; Poorter, R.; Leemans, C.R.; de Bree, R.; Doornaert, P.; Slotman, B.J. Radiotherapy of squamous cell carcinoma of the nasal vestibule. Int. J. Radiat. Oncol. Biol. Phys. 2004, 59, 1319–1325. [Google Scholar] [CrossRef]
- Wallace, A.; Morris, C.G.; Kirwan, J.; Amdur, R.J.; Werning, J.W.; Mendenhall, W.M. Radiotherapy for squamous cell carcinoma of the nasal vestibule. Am. J. Clin. Oncol. 2007, 30, 612–616. [Google Scholar] [CrossRef]
- Lambertoni, A.; Cherubino, M.; Battaglia, P.; De Col, A.; Giovannardi, M.; Antognoni, P.; Valdatta, L.; Karligkiotis, A.; Bignami, M.; Castelnuovo, P.; et al. Squamous Cell Carcinoma of Nasal Vestibule and Pyramid: Outcomes and Reconstructive Strategies. Laryngoscope 2021, 131, E1198–E1208. [Google Scholar] [CrossRef]
- Chabrillac, E.; Talawdekar, A.; Garikipati, S.; Varley, I.; Sionis, S.; Beasley, N.; Jackson, R. A single centre’s experience of 23 cases of total rhinectomy for the treatment of squamous cell carcinoma involving the nasal vestibule. Eur. Arch. Otorhinolaryngol. 2022, 279, 2069–2075. [Google Scholar] [CrossRef] [PubMed]
- Dowley, A.; Hoskison, E.; Allibone, R.; Jones, N.S. Squamous cell carcinoma of the nasal vestibule: A 20-year case series and literature review. J. Laryngol. Otol. 2008, 122, 1019–1023. [Google Scholar] [CrossRef] [PubMed]
- Eberle, F.; Engenhart-Cabillic, R.; Schymalla, M.M.; Dumke, C.; Schotz, U.; Subtil, F.S.B.; Baumann, K.S.; Stuck, B.A.; Langer, C.; Jensen, A.D.; et al. Carbon Ion Beam Boost Irradiation in Malignant Tumors of the Nasal Vestibule and the Anterior Nasal Cavity as an Organ-Preserving Therapy. Front. Oncol. 2022, 12, 814082. [Google Scholar] [CrossRef] [PubMed]
- Ledderose, G.J.; Reu, S.; Englhard, A.S.; Krause, E. Endonasal resection of early stage squamous cell carcinoma of the nasal vestibule. Eur. Arch. Otorhinolaryngol. 2014, 271, 1051–1055. [Google Scholar] [CrossRef] [PubMed]
- Mukai, Y.; Janssen, S.; Glanzmann, C.; Holzmann, D.; Studer, G. Local control and intermediate-term cosmetic outcome following IMRT for nasal tumors: An update. Strahlenther. Onkol. 2017, 193, 295–304. [Google Scholar] [CrossRef]
- Vanneste, B.G.; Lopez-Yurda, M.; Tan, I.B.; Balm, A.J.; Borst, G.R.; Rasch, C.R. Irradiation of localized squamous cell carcinoma of the nasal vestibule. Head Neck 2016, 38 (Suppl. 1), E1870–E1875. [Google Scholar] [CrossRef]
- Wray, J.; Morris, C.G.; Kirwan, J.M.; Amdur, R.J.; Werning, J.W.; Dziegielewski, P.T.; Mendenhall, W.M. Radiation therapy for nasal vestibule squamous cell carcinoma: A 40-year experience. Eur. Arch. Otorhinolaryngol. 2016, 273, 661–669. [Google Scholar] [CrossRef]
- Federspil, P.A.; Plinkert, P.K.; Zaoui, K. Early nasal reconstruction after skin-preserving excision of squamous cell carcinoma of the nasal vestibule. J. Plast. Reconstr. Aesthet. Surg. 2020, 73, 1683–1691. [Google Scholar] [CrossRef]
- Levendag, P.C.; Nijdam, W.M.; van Moolenburgh, S.E.; Tan, L.; Noever, I.; van Rooy, P.; Mureau, M.A.; Jansen, P.P.; Munte, K.; Hofer, S.O. Interstitial radiation therapy for early-stage nasal vestibule cancer: A continuing quest for optimal tumor control and cosmesis. Int. J. Radiat. Oncol. Biol. Phys. 2006, 66, 160–169. [Google Scholar] [CrossRef]
- Czerwinski, M.D.; van Leeuwen, R.G.H.; Kaanders, J.; Zwijnenburg, E.M.; Lipman, D.; Takes, R.P.; Verhoef, C.G. Image Guided Brachytherapy for Cancer of the Nasal Vestibule: Local Control and Cosmesis. Int. J. Radiat. Oncol. Biol. Phys. 2019, 103, 913–921. [Google Scholar] [CrossRef]
- Czerwinski, M.D.; Jansen, P.P.; Zwijnenburg, E.M.; Al-Mamgani, A.; Vergeer, M.R.; Langendijk, J.A.; Wesseling, F.W.R.; Kaanders, J.; Verhoef, C.G. Radiotherapy as nose preservation treatment strategy for cancer of the nasal vestibule: The Dutch experience. Radiother. Oncol. 2021, 164, 20–26. [Google Scholar] [CrossRef] [PubMed]
- Scheurleer, W.F.J.; Dehnad, H.; Braunius, W.W.; Janssen, L.M.; Tijink, B.M.; Breimer, G.E.; Smid, E.J.; Devriese, L.A.; Bree, R.; Ridder, M.; et al. Long-term oncological follow-up after mold-based pulsed dose rate brachytherapy for early stage squamous cell carcinoma of the nasal vestibule: A single center experience of 68 patients over a 17-year period. Brachytherapy 2023, 22, 221–230. [Google Scholar] [CrossRef] [PubMed]
- Tagliaferri, L.; Carra, N.; Lancellotta, V.; Rizzo, D.; Casa, C.; Mattiucci, G.; Parrilla, C.; Fionda, B.; Deodato, F.; Cornacchione, P.; et al. Interventional radiotherapy as exclusive treatment for primary nasal vestibule cancer: Single-institution experience. J. Contemp. Brachytherapy 2020, 12, 413–419. [Google Scholar] [CrossRef] [PubMed]
- Bacorro, W.; Escande, A.; Temam, S.; Dumas, I.; Routier, E.; Gensse, M.C.; Blanchard, P.; Janot, F.; Mateus, C.; Tao, Y.; et al. Clinical outcomes after interstitial brachytherapy for early-stage nasal squamous cell carcinoma. Brachytherapy 2017, 16, 1021–1027. [Google Scholar] [CrossRef] [PubMed]
- Koopman, M.; Weiss, D.; Savvas, E.; Rudack, C.; Stenner, M. Clinicopathological and immunohistochemical characteristics of surgically treated primary carcinoma of the nasal vestibule—An evaluation of 30 cases. Clin. Otolaryngol. 2015, 40, 240–247. [Google Scholar] [CrossRef] [PubMed]
- Costabile, F.; Donnarumma, M.; Piscosquito, A.; Ingenito, C.; Iuliucci, M.R.; Buonerba, C.; Di Lorenzo, G.; Di Trolio, R. Effective Management of Nasal Vestibule Squamous Cell Carcinoma with Cemiplimab: A Case Report. Case Rep. Oncol. 2023, 16, 935–938. [Google Scholar] [CrossRef] [PubMed]
- Brierly, J.D.; Gospodarowicz, M.K.; Wittekind, C. The TNM Classification of Malignant Tumours, 8th ed.; Wiley-Blackwell: Hoboken, NJ, USA, 2016. [Google Scholar]
- Wang, C.C. Treatment of carcinoma of the nasal vestibule by irradiation. Cancer 1976, 38, 100–106. [Google Scholar] [CrossRef]
- Filtenborg, M.V.; Lilja-Fischer, J.K.; Sharma, M.B.; Primdahl, H.; Kjems, J.; Plaschke, C.C.; Charabi, B.W.; Kristensen, C.A.; Andersen, M.; Andersen, E.; et al. Nasal vestibule squamous cell carcinoma: A population-based cohort study from DAHANCA. Acta Oncol. 2022, 61, 127–133. [Google Scholar] [CrossRef]
- Jeannon, J.P.; Riddle, P.J.; Irish, J.; O’Sullivan, B.; Brown, D.H.; Gullane, P. Prognostic indicators in carcinoma of the nasal vestibule. Clin. Otolaryngol. 2007, 32, 19–23. [Google Scholar] [CrossRef]
- Scheurleer, W.F.J.; Tagliaferri, L.; Rijken, J.A.; Crescio, C.; Rizzo, D.; Mattiucci, G.C.; Pameijer, F.A.; de Bree, R.; Fionda, B.; de Ridder, M.; et al. Evaluation of Staging Systems for Cancer of the Nasal Vestibule. Cancers 2023, 15, 3028. [Google Scholar] [CrossRef]
- Bussu, F.; Tagliaferri, L.; Piras, A.; Rizzo, D.; Tsatsaris, N.; De Corso, E.; Parrilla, C.; Paludetti, G. Multidisciplinary approach to nose vestibule malignancies: Setting new standards. Acta Otorhinolaryngol. Ital. 2021, 41, S158–S165. [Google Scholar] [CrossRef] [PubMed]
- Mathew, A.; Pandey, M.; Murthy, N.S. Survival analysis: Caveats and pitfalls. Eur. J. Surg. Oncol. 1999, 25, 321–329. [Google Scholar] [CrossRef] [PubMed]

| Stage | UICC TNM Nasal Cavity and Paranasal Sinuses | Rome Classification |
|---|---|---|
| T1 | Tumor restricted to any one subsite, with or without bony invasion. | Tumor limited to the internal lining of the nasal vestibule (skin and/or mucosa). |
| T2(a) | Tumor invading two subsites in a single region or extending to involve an adjacent region within the nasoethmoidal complex, with or without bony invasion. | Tumor invading superficial structures (cutis, subcutis) beyond the nasal cavity, in particular the external surface of the nose, the nasolabial fold, philtrum, or upper lip, without invasion of cartilage, bone, or structures beyond the plane of the pyriform aperture. |
| T2b | Tumor invading cartilage (quadrangular, triangular, alar) without invasion of bony structures or structures beyond the plane of the pyriform aperture. | |
| T3 | Tumor extends to invade the medial wall or floor of the orbit, maxillary sinus, palate, or cribriform plate. | Tumor extends posteriorly beyond the plane of the pyriform aperture, with or without cartilage invasion, but without bone invasion. |
| T4a | Moderately advanced local disease. Tumor invades any of the following: anterior orbital contents, skin of nose or cheek, minimal extension to anterior cranial fossa, pterygoid plates, sphenoid or frontal sinuses. | Tumor invades bony structures (e.g., hard palate, nasal bones, frontal process of the maxilla, ethmoid, or orbit). |
| T4b | Very advanced local disease. Tumor invades any of the following: orbital apex, dura, brain, middle cranial fossa, cranial nerves other than (V2), nasopharynx, or clivus. | Tumor invades any of the following: orbital apex, dura, brain, middle cranial fossa, cranial nerves other than (V2), nasopharynx, or clivus. |
| Sex | N | % |
| Male | 92 | 61.7 |
| Female | 57 | 38.3 |
| Age at the time of diagnosis | N | SD |
| Mean (years) | 68.6 | 11.6 |
| Imaging studies | N | % |
| MRI-head/neck | 107 | 71.8 |
| CT-head/neck | 87 | 58.4 |
| Neck ultrasound | 124 | 83.2 |
| Chest X-ray/CT | 131 | 87.9 |
| PET/CT | 25 | 16.8 |
| cT stage | N | % |
| Rome classification | ||
| T1 | 75 | 50.3 |
| T2a | 27 | 18.1 |
| T2b | 24 | 16.1 |
| T3 | 15 | 10.1 |
| T4a | 8 | 5.4 |
| UICC nasal cavity and paranasal sinuses | ||
| T1 | 77 | 51.7 |
| T2 | 14 | 9.4 |
| T3 | 2 | 1.3 |
| T4a | 56 | 37.6 |
| cN stage | N | % |
| N0 | 140 | 94.0 |
| N+ | 9 | 6.0 |
| Tumor diameter | N | % |
| <15 mm | 47 | 31.5 |
| ≥15 mm | 59 | 39.6 |
| Unknown | 43 | 28.9 |
| Primary tumor treatment modality | N | % |
| Brachytherapy | 113 | 75.8 |
| EBRT | 16 | 10.7 |
| Brachytherapy + EBRT | 3 | 2.0 |
| Surgery (+EBRT) | 14 | 9.4 |
| Chemoradiotherapy | 1 | 0.7 |
| None/Best supportive care | 2 | 1.3 |
| Neck treatment modality | N | % |
| EBRT | 3 | 2.0 |
| Neck dissection | 8 | 5.4 |
| Neck dissection + EBRT | 1 | 0.7 |
| None | 137 | 91.9 |
| Follow-up | N | p25–p75 |
| Median duration (months) | 27 | 9.5–62.5 |
| Outcome | N | % |
| NED | 98 | 65.8 |
| DID | 40 | 26.8 |
| DOD | 10 | 6.7 |
| LTF | 1 | 0.7 |
| LRC u | DSS u | OS u | OS m | |||||
|---|---|---|---|---|---|---|---|---|
| HR | p | HR | p | HR | p | HR | p | |
| Age (per year) | 1.01 | 0.497 | 0.98 | 0.373 | 1.05 | <0.001 | 1.06 * | <0.001 * |
| Sex | 0.467 | 0.236 | 0.154 | ns | ||||
| Male | ref | ref | ref | . | . | |||
| Female | 0.72 | 0.39 | 0.64 | . | ||||
| cT stage | ||||||||
| Rome classification | 0.005 | 0.040 | 0.048 | 0.044 * | ||||
| T1 | ref | ref | ref | ref | ||||
| T2a | 1.53 | 0.00 | 0.95 | 1.19 | ||||
| T2b | 5.09 | 18.9 | 2.02 | 2.12 | ||||
| T3 | 6.18 | 19.5 | 2.97 | 3.29 | ||||
| T4a | 8.74 | 43.6 | 2.94 | 3.29 | ||||
| UICC nasal cavity and paranasal sinuses | 0.042 | 0.019 | 0.016 | 0.002 | ||||
| T1 | ref | ref | ref | ref | ||||
| T2 | 5.23 | 32.2 | 2.84 | 1.40 | ||||
| T3 | 0.00 | 0.00 | 6.20 | 2.22 | ||||
| T4a | 2.51 | 10.7 | 1.43 | 0.52 | ||||
| cN stage | 0.018 | 0.002 | 0.024 | 0.008 * | ||||
| N0 | ref | ref | ref | ref | ||||
| N+ | 3.71 | 8.81 | 2.96 | 4.37 | ||||
| Primary tumor treatment modality | 0.012 | 0.610 | 0.018 | ns | ||||
| Surgery (+EBRT) | ref | ref | ref | . | ||||
| Brachytherapy (+EBRT) | 0.52 | 0.41 | 0.72 | . | ||||
| EBRT (+chemotherapy) | 2.14 | 1.00 | 1.84 | . | ||||
| None | . | 0.00 | 6.42 | . | ||||
Disclaimer/Publisher’s Note: The statements, opinions and data contained in all publications are solely those of the individual author(s) and contributor(s) and not of MDPI and/or the editor(s). MDPI and/or the editor(s) disclaim responsibility for any injury to people or property resulting from any ideas, methods, instructions or products referred to in the content. |
© 2023 by the authors. Licensee MDPI, Basel, Switzerland. This article is an open access article distributed under the terms and conditions of the Creative Commons Attribution (CC BY) license (https://creativecommons.org/licenses/by/4.0/).
Share and Cite
Scheurleer, W.F.J.; de Ridder, M.; Tagliaferri, L.; Crescio, C.; Parrilla, C.; Mattiucci, G.C.; Fionda, B.; Deganello, A.; Galli, J.; de Bree, R.; et al. Validation of the “Rome” Classification for Squamous Cell Carcinoma of the Nasal Vestibule. Cancers 2024, 16, 37. https://doi.org/10.3390/cancers16010037
Scheurleer WFJ, de Ridder M, Tagliaferri L, Crescio C, Parrilla C, Mattiucci GC, Fionda B, Deganello A, Galli J, de Bree R, et al. Validation of the “Rome” Classification for Squamous Cell Carcinoma of the Nasal Vestibule. Cancers. 2024; 16(1):37. https://doi.org/10.3390/cancers16010037
Chicago/Turabian StyleScheurleer, Willem Frederik Julius, Mischa de Ridder, Luca Tagliaferri, Claudia Crescio, Claudio Parrilla, Gian Carlo Mattiucci, Bruno Fionda, Alberto Deganello, Jacopo Galli, Remco de Bree, and et al. 2024. "Validation of the “Rome” Classification for Squamous Cell Carcinoma of the Nasal Vestibule" Cancers 16, no. 1: 37. https://doi.org/10.3390/cancers16010037
APA StyleScheurleer, W. F. J., de Ridder, M., Tagliaferri, L., Crescio, C., Parrilla, C., Mattiucci, G. C., Fionda, B., Deganello, A., Galli, J., de Bree, R., Rijken, J. A., & Bussu, F. (2024). Validation of the “Rome” Classification for Squamous Cell Carcinoma of the Nasal Vestibule. Cancers, 16(1), 37. https://doi.org/10.3390/cancers16010037

