Stereotactic Radiosurgery for Women Older than 65 with Breast Cancer Brain Metastases
Abstract
:Simple Summary
Abstract
1. Introduction
2. Methods
2.1. Patient Selection
2.2. Radiation Simulation and Treatment Planning
2.3. Follow-Up
2.4. Specific Aims/Endpoints
2.5. Statistical Analysis
3. Results
4. Discussion
4.1. Characteristics of Breast Cancer Brain Metastases in the Older Patients
4.2. Survival Outcomes
4.3. Radiation-Associated Toxicities
4.4. Multi-Disciplinary Treatment of Brain Metastases in Older Women
4.5. Study Limitations
5. Conclusions
Author Contributions
Funding
Institutional Review Board Statement
Informed Consent Statement
Data Availability Statement
Conflicts of Interest
References
- Siegel, R.L.; Miller, K.D.; Wagle, N.S.; Jemal, A. Cancer Statistics, 2023. CA. Cancer J. Clin. 2023, 73, 17–48. [Google Scholar] [CrossRef] [PubMed]
- Jolly, T.; Williams, G.R.; Jones, E.; Muss, H.B. Treatment of Metastatic Breast Cancer in Women Aged 65 Years and Older. Womens Health 2012, 8, 455–469; quiz 470–471. [Google Scholar] [CrossRef] [PubMed]
- Custódio-Santos, T.; Videira, M.; Brito, M.A. Brain Metastasization of Breast Cancer. Biochim. Biophys. Acta Rev. Cancer 2017, 1868, 132–147. [Google Scholar] [CrossRef] [PubMed]
- Soerjomataram, I.; Bray, F. Planning for Tomorrow: Global Cancer Incidence and the Role of Prevention 2020–2070. Nat. Rev. Clin. Oncol. 2021, 18, 663–672. [Google Scholar] [CrossRef] [PubMed]
- Niikura, N.; Saji, S.; Tokuda, Y.; Iwata, H. Brain Metastases in Breast Cancer. Jpn. J. Clin. Oncol. 2014, 44, 1133–1140. [Google Scholar] [CrossRef] [PubMed]
- Phillips, C.; Jeffree, R.; Khasraw, M. Management of Breast Cancer Brain Metastases: A Practical Review. Breast 2017, 31, 90–98. [Google Scholar] [CrossRef] [PubMed]
- Riecke, K.; Müller, V.; Neunhöffer, T.; Park-Simon, T.-W.; Weide, R.; Polasik, A.; Schmidt, M.; Puppe, J.; Mundhenke, C.; Lübbe, K.; et al. Long-Term Survival of Breast Cancer Patients with Brain Metastases: Subanalysis of the BMBC Registry. ESMO Open 2023, 8, 101213. [Google Scholar] [CrossRef]
- Darlix, A.; Louvel, G.; Fraisse, J.; Jacot, W.; Brain, E.; Debled, M.; Mouret-Reynier, M.A.; Goncalves, A.; Dalenc, F.; Delaloge, S.; et al. Impact of Breast Cancer Molecular Subtypes on the Incidence, Kinetics and Prognosis of Central Nervous System Metastases in a Large Multicentre Real-Life Cohort. Br. J. Cancer 2019, 121, 991–1000. [Google Scholar] [CrossRef]
- Le Rhun, E.; Guckenberger, M.; Smits, M.; Dummer, R.; Bachelot, T.; Sahm, F.; Galldiks, N.; de Azambuja, E.; Berghoff, A.S.; Metellus, P.; et al. EANO-ESMO Clinical Practice Guidelines for Diagnosis, Treatment and Follow-up of Patients with Brain Metastasis from Solid Tumours. Ann. Oncol. Off. J. Eur. Soc. Med. Oncol. 2021, 32, 1332–1347. [Google Scholar] [CrossRef]
- Patchell, R.A.; Tibbs, P.A.; Walsh, J.W.; Dempsey, R.J.; Maruyama, Y.; Kryscio, R.J.; Markesbery, W.R.; Macdonald, J.S.; Young, B. A Randomized Trial of Surgery in the Treatment of Single Metastases to the Brain. N. Engl. J. Med. 1990, 322, 494–500. [Google Scholar] [CrossRef]
- Matsui, J.K.; Perlow, H.K.; Upadhyay, R.; McCalla, A.; Raval, R.R.; Thomas, E.M.; Blakaj, D.M.; Beyer, S.J.; Palmer, J.D. Advances in Radiotherapy for Brain Metastases. Surg. Oncol. Clin. N. Am. 2023, 32, 569–586. [Google Scholar] [CrossRef]
- Perlow, H.K.; Ho, C.; Matsui, J.K.; Prasad, R.N.; Klamer, B.G.; Wang, J.; Damante, M.; Upadhyay, R.; Thomas, E.; Blakaj, D.M.; et al. Comparing Pre-Operative versus Post-Operative Single and Multi-Fraction Stereotactic Radiotherapy for Patients with Resectable Brain Metastases. Clin. Transl. Radiat. Oncol. 2023, 38, 117–122. [Google Scholar] [CrossRef]
- Ludmir, E.B.; Subbiah, I.M.; Mainwaring, W.; Miller, A.B.; Lin, T.A.; Jethanandani, A.; Espinoza, A.F.; Mandel, J.J.; Fang, P.; Smith, B.D.; et al. Decreasing Incidence of Upper Age Restriction Enrollment Criteria among Cancer Clinical Trials. J. Geriatr. Oncol. 2020, 11, 451–454. [Google Scholar] [CrossRef]
- Vitale, C.; Fini, M.; Spoletini, I.; Lainscak, M.; Seferovic, P.; Rosano, G.M. Under-Representation of Elderly and Women in Clinical Trials. Int. J. Cardiol. 2017, 232, 216–221. [Google Scholar] [CrossRef]
- Palmer, J.D.; Klamer, B.G.; Ballman, K.V.; Brown, P.D.; Cerhan, J.H.; Anderson, S.K.; Carrero, X.W.; Whitton, A.C.; Greenspoon, J.; Parney, I.F.; et al. Association of Long-Term Outcomes with Stereotactic Radiosurgery vs Whole-Brain Radiotherapy for Resected Brain Metastasis: A Secondary Analysis of The N107C/CEC.3 (Alliance for Clinical Trials in Oncology/Canadian Cancer Trials Group) Randomized Clinical Trial. JAMA Oncol. 2022, 8, 1809–1815. [Google Scholar] [CrossRef]
- Fokstuen, T.; Wilking, N.; Rutqvist, L.E.; Wolke, J.; Liedberg, A.; Signomklao, T.; Fernberg, J.O. Radiation Therapy in the Management of Brain Metastases from Breast Cancer. Breast Cancer Res. Treat. 2000, 62, 211–216. [Google Scholar] [CrossRef]
- Kutuk, T.; Tolakanahalli, R.; Williams, A.; Tom, M.C.; Vadhan, J.D.; Appel, H.; Hall, M.D.; Wieczorek, D.J.J.; Davis, S.; McDermott, M.W.; et al. Impact of MRI Timing on Tumor Volume and Anatomic Displacement for Brain Metastases Undergoing Stereotactic Radiosurgery. Neuro Oncol. Pract. 2021, 8, 674–683. [Google Scholar] [CrossRef]
- Grishchuk, D.; Dimitriadis, A.; Sahgal, A.; De Salles, A.; Fariselli, L.; Kotecha, R.; Levivier, M.; Ma, L.; Pollock, B.E.; Regis, J.; et al. ISRS Technical Guidelines for Stereotactic Radiosurgery: Treatment of Small Brain Metastases (≤1 cm in Diameter). Pract. Radiat. Oncol. 2023, 13, 183–194. [Google Scholar] [CrossRef]
- Palmer, J.D.; Sebastian, N.T.; Chu, J.; DiCostanzo, D.; Bell, E.H.; Grecula, J.; Arnett, A.; Blakaj, D.M.; McGregor, J.; Elder, J.B.; et al. Single-Isocenter Multitarget Stereotactic Radiosurgery Is Safe and Effective in the Treatment of Multiple Brain Metastases. Adv. Radiat. Oncol. 2020, 5, 70–76. [Google Scholar] [CrossRef]
- Lin, N.U.; Lee, E.Q.; Aoyama, H.; Barani, I.J.; Barboriak, D.P.; Baumert, B.G.; Bendszus, M.; Brown, P.D.; Camidge, D.R.; Chang, S.M.; et al. Response Assessment Criteria for Brain Metastases: Proposal from the RANO Group. Lancet Oncol. 2015, 16, e270–e278. [Google Scholar] [CrossRef]
- National Cancer Institute. Common Terminology Criteria for Adverse Events (CTCAE); National Cancer Institute: Bethesda, MD, USA, 2017.
- Cella, D.; Lai, J.-S.; Nowinski, C.J.; Victorson, D.; Peterman, A.; Miller, D.; Bethoux, F.; Heinemann, A.; Rubin, S.; Cavazos, J.E.; et al. Neuro-QOL. Neurology 2012, 78, 1860–1867. [Google Scholar] [CrossRef]
- Cella, D.; Riley, W.; Stone, A.; Rothrock, N.; Reeve, B.; Yount, S.; Amtmann, D.; Bode, R.; Buysse, D.; Choi, S.; et al. Initial Adult Health Item Banks and First Wave Testing of the Patient-Reported Outcomes Measurement Information System (PROMISTM) Network: 2005–2008. J. Clin. Epidemiol. 2010, 63, 1179–1194. [Google Scholar] [CrossRef]
- Form: PROMIS Short Form v1.0—Applied Cognition—Abilities 8a. Available online: https://cde.nlm.nih.gov/formView?tinyId=mkLdVhdtUe (accessed on 21 July 2023).
- Bauer, K.R.; Brown, M.; Cress, R.D.; Parise, C.A.; Caggiano, V. Descriptive Analysis of Estrogen Receptor (ER)-Negative, Progesterone Receptor (PR)-Negative, and HER2-Negative Invasive Breast Cancer, the so-Called Triple-Negative Phenotype: A Population-Based Study from the California Cancer Registry. Cancer 2007, 109, 1721–1728. [Google Scholar] [CrossRef]
- Biganzoli, L.; Wildiers, H.; Oakman, C.; Marotti, L.; Loibl, S.; Kunkler, I.; Reed, M.; Ciatto, S.; Voogd, A.C.; Brain, E.; et al. Management of Elderly Patients with Breast Cancer: Updated Recommendations of the International Society of Geriatric Oncology (SIOG) and European Society of Breast Cancer Specialists (EUSOMA). Lancet Oncol. 2012, 13, e148–e160. [Google Scholar] [CrossRef]
- Schonberg, M.A.; Marcantonio, E.R.; Li, D.; Silliman, R.A.; Ngo, L.; McCarthy, E.P. Breast Cancer among the Oldest Old: Tumor Characteristics, Treatment Choices, and Survival. J. Clin. Oncol. Off. J. Am. Soc. Clin. Oncol. 2010, 28, 2038–2045. [Google Scholar] [CrossRef]
- Venur, V.A.; Leone, J.P. Targeted Therapies for Brain Metastases from Breast Cancer. Int. J. Mol. Sci. 2016, 17, 1543. [Google Scholar] [CrossRef]
- Simsek, M.; Aliyev, A.; Baydas, T.; Besiroglu, M.; Demir, T.; Shbair, A.T.; Seker, M.; Turk, H.M. Breast Cancer Patients with Brain Metastases: A Cross-Sectional Study. Breast J. 2022, 2022, 5763810. [Google Scholar] [CrossRef]
- Sperduto, P.W.; Kased, N.; Roberge, D.; Chao, S.T.; Shanley, R.; Luo, X.; Sneed, P.K.; Suh, J.; Weil, R.J.; Jensen, A.W.; et al. The Effect of Tumor Subtype on the Time from Primary Diagnosis to Development of Brain Metastases and Survival in Patients with Breast Cancer. J. Neurooncol. 2013, 112, 467–472. [Google Scholar] [CrossRef]
- McAnena, P.F.; McGuire, A.; Ramli, A.; Curran, C.; Malone, C.; McLaughlin, R.; Barry, K.; Brown, J.A.L.; Kerin, M.J. Breast Cancer Subtype Discordance: Impact on Post-Recurrence Survival and Potential Treatment Options. BMC Cancer 2018, 18, 203. [Google Scholar] [CrossRef]
- Sperduto, P.W.; Mesko, S.; Li, J.; Cagney, D.; Aizer, A.; Lin, N.U.; Nesbit, E.; Kruser, T.J.; Chan, J.; Braunstein, S.; et al. Estrogen/Progesterone Receptor and HER2 Discordance between Primary Tumor and Brain Metastases in Breast Cancer and Its Effect on Treatment and Survival. Neuro Oncol. 2020, 22, 1359–1367. [Google Scholar] [CrossRef]
- Aurilio, G.; Disalvatore, D.; Pruneri, G.; Bagnardi, V.; Viale, G.; Curigliano, G.; Adamoli, L.; Munzone, E.; Sciandivasci, A.; De Vita, F.; et al. A Meta-Analysis of Oestrogen Receptor, Progesterone Receptor and Human Epidermal Growth Factor Receptor 2 Discordance between Primary Breast Cancer and Metastases. Eur. J. Cancer 2014, 50, 277–289. [Google Scholar] [CrossRef]
- Lindström, L.S.; Karlsson, E.; Wilking, U.M.; Johansson, U.; Hartman, J.; Lidbrink, E.K.; Hatschek, T.; Skoog, L.; Bergh, J. Clinically Used Breast Cancer Markers Such as Estrogen Receptor, Progesterone Receptor, and Human Epidermal Growth Factor Receptor 2 Are Unstable throughout Tumor Progression. J. Clin. Oncol. Off. J. Am. Soc. Clin. Oncol. 2012, 30, 2601–2608. [Google Scholar] [CrossRef]
- Kotecha, R.; Tonse, R.; Rubens, M.; McDermott, M.W.; Odia, Y.; Appel, H.; Mehta, M.P. Systematic Review and Meta-Analysis of Breast Cancer Brain Metastasis and Primary Tumor Receptor Expression Discordance. Neuro Oncol. Adv. 2021, 3, vdab010. [Google Scholar] [CrossRef]
- Van Poznak, C.; Somerfield, M.R.; Bast, R.C.; Cristofanilli, M.; Goetz, M.P.; Gonzalez-Angulo, A.M.; Hicks, D.G.; Hill, E.G.; Liu, M.C.; Lucas, W.; et al. Use of Biomarkers to Guide Decisions on Systemic Therapy for Women With Metastatic Breast Cancer: American Society of Clinical Oncology Clinical Practice Guideline. J. Clin. Oncol. Off. J. Am. Soc. Clin. Oncol. 2015, 33, 2695–2704. [Google Scholar] [CrossRef]
- Brogi, E.; Murphy, C.G.; Johnson, M.L.; Conlin, A.K.; Hsu, M.; Patil, S.; Akram, M.; Nehhozina, T.; Jhaveri, K.L.; Hudis, C.A.; et al. Breast Carcinoma with Brain Metastases: Clinical Analysis and Immunoprofile on Tissue Microarrays. Ann. Oncol. Off. J. Eur. Soc. Med. Oncol. 2011, 22, 2597–2603. [Google Scholar] [CrossRef]
- Shen, Q.; Sahin, A.A.; Hess, K.R.; Suki, D.; Aldape, K.D.; Sawaya, R.; Ibrahim, N.K. Breast Cancer with Brain Metastases: Clinicopathologic Features, Survival, and Paired Biomarker Analysis. Oncologist 2015, 20, 466–473. [Google Scholar] [CrossRef]
- Higuchi, Y.; Yamamoto, M.; Serizawa, T.; Sato, Y.; Shuto, T.; Akabane, A.; Jokura, H.; Yomo, S.; Nagano, O.; Kawagishi, J.; et al. Stereotactic Radiosurgery in Elderly Patients with Brain Metastases: Comparison with Non-Elderly Patients Using Database of a Multi-Institutional Prospective Observational Study (JLGK0901-Elderly). J. Neurooncol. 2019, 144, 393–402. [Google Scholar] [CrossRef]
- Miller, J.A.; Kotecha, R.; Ahluwalia, M.S.; Mohammadi, A.M.; Chao, S.T.; Barnett, G.H.; Murphy, E.S.; Vogelbaum, M.A.; Angelov, L.; Peereboom, D.M.; et al. Overall Survival and the Response to Radiotherapy among Molecular Subtypes of Breast Cancer Brain Metastases Treated with Targeted Therapies. Cancer 2017, 123, 2283–2293. [Google Scholar] [CrossRef]
- Vern-Gross, T.Z.; Lawrence, J.A.; Case, L.D.; McMullen, K.P.; Bourland, J.D.; Metheny-Barlow, L.J.; Ellis, T.L.; Tatter, S.B.; Shaw, E.G.; Urbanic, J.J.; et al. Breast Cancer Subtype Affects Patterns of Failure of Brain Metastases after Treatment with Stereotactic Radiosurgery. J. Neurooncol. 2012, 110, 381–388. [Google Scholar] [CrossRef]
- Aoyagi, K.; Higuchi, Y.; Matsunaga, S.; Serizawa, T.; Yomo, S.; Aiyama, H.; Nagano, O.; Kondoh, T.; Kenai, H.; Shuto, T.; et al. Impact of Breast Cancer Subtype on Clinical Outcomes after Gamma Knife Radiosurgery for Brain Metastases from Breast Cancer: A Multi-Institutional Retrospective Study (JLGK1702). Breast Cancer Res. Treat. 2020, 184, 149–159. [Google Scholar] [CrossRef]
- Nam, B.-H.; Kim, S.Y.; Han, H.-S.; Kwon, Y.; Lee, K.S.; Kim, T.H.; Ro, J. Breast Cancer Subtypes and Survival in Patients with Brain Metastases. Breast Cancer Res. BCR 2008, 10, R20. [Google Scholar] [CrossRef]
- Murthy, R.K.; Loi, S.; Okines, A.; Paplomata, E.; Hamilton, E.; Hurvitz, S.A.; Lin, N.U.; Borges, V.; Abramson, V.; Anders, C.; et al. Tucatinib, Trastuzumab, and Capecitabine for HER2-Positive Metastatic Breast Cancer. N. Engl. J. Med. 2020, 382, 597–609. [Google Scholar] [CrossRef]
- Modi, S.; Jacot, W.; Yamashita, T.; Sohn, J.; Vidal, M.; Tokunaga, E.; Tsurutani, J.; Ueno, N.T.; Prat, A.; Chae, Y.S.; et al. Trastuzumab Deruxtecan in Previously Treated HER2-Low Advanced Breast Cancer. N. Engl. J. Med. 2022, 387, 9–20. [Google Scholar] [CrossRef]
- Hall, E.J.; Brenner, D.J. The Radiobiology of Radiosurgery: Rationale for Different Treatment Regimes for AVMs and Malignancies. Int. J. Radiat. Oncol. Biol. Phys. 1993, 25, 381–385. [Google Scholar] [CrossRef]
- Kondziolka, D.; Shin, S.M.; Brunswick, A.; Kim, I.; Silverman, J.S. The Biology of Radiosurgery and Its Clinical Applications for Brain Tumors. Neuro Oncol. 2015, 17, 29–44. [Google Scholar] [CrossRef]
- Remick, J.S.; Kowalski, E.; Khairnar, R.; Sun, K.; Morse, E.; Cherng, H.-R.R.; Poirier, Y.; Lamichhane, N.; Becker, S.J.; Chen, S.; et al. A Multi-Center Analysis of Single-Fraction versus Hypofractionated Stereotactic Radiosurgery for the Treatment of Brain Metastasis. Radiat. Oncol. 2020, 15, 128. [Google Scholar] [CrossRef]
- Loo, M.; Pin, Y.; Thierry, A.; Clavier, J.-B. Single-Fraction Radiosurgery versus Fractionated Stereotactic Radiotherapy in Patients with Brain Metastases: A Comparative Study. Clin. Exp. Metastasis 2020, 37, 425–434. [Google Scholar] [CrossRef]
- July, J.; Pranata, R. Hypofractionated versus Single-Fraction Stereotactic Radiosurgery for the Treatment of Brain Metastases: A Systematic Review and Meta-Analysis. Clin. Neurol. Neurosurg. 2021, 206, 106645. [Google Scholar] [CrossRef]
- Lehrer, E.J.; Peterson, J.L.; Zaorsky, N.G.; Brown, P.D.; Sahgal, A.; Chiang, V.L.; Chao, S.T.; Sheehan, J.P.; Trifiletti, D.M. Single versus Multifraction Stereotactic Radiosurgery for Large Brain Metastases: An International Meta-Analysis of 24 Trials. Int. J. Radiat. Oncol. Biol. Phys. 2019, 103, 618–630. [Google Scholar] [CrossRef]
- Putz, F.; Weissmann, T.; Oft, D.; Schmidt, M.A.; Roesch, J.; Siavooshhaghighi, H.; Filimonova, I.; Schmitter, C.; Mengling, V.; Bert, C.; et al. FSRT vs. SRS in Brain Metastases-Differences in Local Control and Radiation Necrosis-A Volumetric Study. Front. Oncol. 2020, 10, 559193. [Google Scholar] [CrossRef]
- Minniti, G.; Scaringi, C.; Paolini, S.; Lanzetta, G.; Romano, A.; Cicone, F.; Osti, M.; Enrici, R.M.; Esposito, V. Single-Fraction Versus Multifraction (3 × 9 Gy) Stereotactic Radiosurgery for Large (>2 cm) Brain Metastases: A Comparative Analysis of Local Control and Risk of Radiation-Induced Brain Necrosis. Int. J. Radiat. Oncol. Biol. Phys. 2016, 95, 1142–1148. [Google Scholar] [CrossRef]
- Upadhyay, R.; Ayan, A.S.; Jain, S.; Klamer, B.G.; Perlow, H.K.; Zoller, W.; Blakaj, D.M.; Beyer, S.; Grecula, J.; Arnett, A.; et al. Dose-Volume Tolerance of the Brain and Predictors of Radiation Necrosis After 3-Fraction Radiosurgery for Brain Metastases: A Large Single-Institutional Analysis. Int. J. Radiat. Oncol. Biol. Phys. 2023, 118, 275–284. [Google Scholar] [CrossRef]
- Miller, J.A.; Bennett, E.E.; Xiao, R.; Kotecha, R.; Chao, S.T.; Vogelbaum, M.A.; Barnett, G.H.; Angelov, L.; Murphy, E.S.; Yu, J.S.; et al. Association Between Radiation Necrosis and Tumor Biology After Stereotactic Radiosurgery for Brain Metastasis. Int. J. Radiat. Oncol. Biol. Phys. 2016, 96, 1060–1069. [Google Scholar] [CrossRef]
- Minniti, G.; Clarke, E.; Lanzetta, G.; Osti, M.F.; Trasimeni, G.; Bozzao, A.; Romano, A.; Enrici, R.M. Stereotactic Radiosurgery for Brain Metastases: Analysis of Outcome and Risk of Brain Radionecrosis. Radiat. Oncol. 2011, 6, 48. [Google Scholar] [CrossRef]
- Kerschbaumer, J.; Demetz, M.; Krigers, A.; Nevinny-Stickel, M.; Thomé, C.; Freyschlag, C.F. Risk Factors for Radiation Necrosis in Patients Undergoing Cranial Stereotactic Radiosurgery. Cancers 2021, 13, 4736. [Google Scholar] [CrossRef]
- Chen, L.; Shen, C.; Redmond, K.J.; Page, B.R.; Kummerlowe, M.; Mcnutt, T.; Bettegowda, C.; Rigamonti, D.; Lim, M.; Kleinberg, L. Use of Stereotactic Radiosurgery in Elderly and Very Elderly Patients with Brain Metastases to Limit Toxicity Associated With Whole Brain Radiation Therapy. Int. J. Radiat. Oncol. Biol. Phys. 2017, 98, 939–947. [Google Scholar] [CrossRef]
- Lebow, E.S.; Pike, L.R.G.; Seidman, A.D.; Moss, N.; Beal, K.; Yu, Y. Symptomatic Necrosis with Antibody-Drug Conjugates and Concurrent Stereotactic Radiotherapy for Brain Metastases. JAMA Oncol. 2023, 9, e234492. [Google Scholar] [CrossRef]
- Bardia, A.; Hurvitz, S.A.; Tolaney, S.M.; Loirat, D.; Punie, K.; Oliveira, M.; Brufsky, A.; Sardesai, S.D.; Kalinsky, K.; Zelnak, A.B.; et al. Sacituzumab Govitecan in Metastatic Triple-Negative Breast Cancer. N. Engl. J. Med. 2021, 384, 1529–1541. [Google Scholar] [CrossRef]
- Dale, W.; Klepin, H.D.; Williams, G.R.; Alibhai, S.M.H.; Bergerot, C.; Brintzenhofeszoc, K.; Hopkins, J.O.; Jhawer, M.P.; Katheria, V.; Loh, K.P.; et al. Practical Assessment and Management of Vulnerabilities in Older Patients Receiving Systemic Cancer Therapy: ASCO Guideline Update. J. Clin. Oncol. Off. J. Am. Soc. Clin. Oncol. 2023, 41, 4293–4312. [Google Scholar] [CrossRef]
- Extermann, M.; Aapro, M.; Bernabei, R.; Cohen, H.J.; Droz, J.-P.; Lichtman, S.; Mor, V.; Monfardini, S.; Repetto, L.; Sørbye, L.; et al. Use of Comprehensive Geriatric Assessment in Older Cancer Patients: Recommendations from the Task Force on CGA of the International Society of Geriatric Oncology (SIOG). Crit. Rev. Oncol. Hematol. 2005, 55, 241–252. [Google Scholar] [CrossRef]
- Crooks, V.; Waller, S.; Smith, T.; Hahn, T.J. The Use of the Karnofsky Performance Scale in Determining Outcomes and Risk in Geriatric Outpatients. J. Gerontol. 1991, 46, M139–M144. [Google Scholar] [CrossRef] [PubMed]
- Minniti, G.; Filippi, A.R.; Osti, M.F.; Ricardi, U. Radiation Therapy for Older Patients with Brain Tumors. Radiat. Oncol. 2017, 12, 101. [Google Scholar] [CrossRef] [PubMed]


| Total N (%) | Age < 65 N (%) | Age ≥ 65 N (%) | p-Value | |
|---|---|---|---|---|
| No of patients | 112 | 88 | 24 | |
| No of SRS courses | 186 | 143 | 43 | |
| Age at SRS: Median (IQR) | 55 (31–84) | 52 (44–60) | 72 (70–75) | <0.001 * |
Breast tumor receptor status
| 0.034 * | |||
| 37 (33%) | 23 (26%) | 14 (58%) | ||
| 20 (18%) | 17 (19%) | 3 (12%) | ||
| 24 (21%) | 20 (23%) | 4 (17%) | ||
| 31 (28%) | 28 (33%) | 3 (12%) | ||
| ER positive | 61 (54%) | 43 (49%) | 18 (75%) | 0.036 * |
| HER2 positive | 44 (39%) | 37 (42%) | 7 (29%) | 0.3 |
| Triple negative | 31 (28%) | 28 (32%) | 3 (12%) | 0.074 |
Ethnicity
| 0.40 | |||
| 100 (89%) | 79 (90%) | 21 (88%) | ||
| 2 (2%) | 1 (1%) | 1 (4%) | ||
| 8 (7%) | 7 (8%) | 1 (4%) | ||
| 2 (2%) | 1 (1%) | 1 (4%) | ||
KPS
| 0.12 | |||
| 58 (52%) | 49 (56%) | 9 (38%) | ||
| 50 (44%) | 37 (42%) | 13 (54%) | ||
| 4 (4%) | 2 (2%) | 2 (8%) | ||
| Systemic disease Status | ||||
| Brain metastases at diagnosis | 4 (4%) | 3 (3%) | 1 (4%) | >0.9 |
| Time from diagnosis to brain metastasis: Median (IQR) | 4.0 y (2.0–7.0) | 4.0 y (2.0–6.0) | 7.0 y (3.0–11.2) | 0.013 * |
| Stable/controlled extracranial disease at SRS | 52 (46%) | 44 (50%) | 8 (33%) | 0.2 |
| Isolated CNS metastases | 15 (13%) | 15 (17%) | 0 (0%) | 0.038 * |
| Any Extracranial disease at SRS | 94 (84%) | 70 (80%) | 24 (100%) | 0.012 * |
| Radiation treatment details | ||||
| Prior WBRT | 19 (17%) | 17 (19%) | 2 (8%) | 0.4 |
| No. of lesions treated: Median (IQR) | 3 (1–6) | 3 (1–6.5) | 3 (1–3) | 0.5 |
| Fractionated SRS | 87 (78%) | 69 (78%) | 18 (75%) | 0.8 |
| Patients with ≥5 lesions treated | 33 (29%) | 28 (32%) | 5 (21%) | 0.4 |
| SRS dose: Median (IQR) | 24 Gy (21–25) | 24 Gy (21–24) | 24 Gy (22–25) | 0.2 |
| Salvage WBRT | 20 (18%) | 17 (19%) | 3 (12%) | 0.6 |
Any grade radiation necrosis
| 16 (14.3%) | 14 (15.9%) | 2 (8.3%) | 0.5 |
| 4 (3.6%) | 2 (2.2%) | 1 (4.2%) | ||
| 6 (5.4%) | 5 (5.7%) | 1 (4.2%) | ||
| 6 (5.4%) | 6 (6.8%) | 0 | ||
| 0 | 0 | 0 | ||
| Surgery | ||||
| Surgery after SRS (Pre-op SRS) | 11 (10%) | 9 (10%) | 2 (8%) | 0.8 |
| Surgery before SRS (Post-op SRS) | 34 (30%) | 28 (32%) | 6 (25%) | 0.8 |
| Change in receptor status | 7 (15.6%) | 6 (16.2%) | 1 (12.5%) | 0.5 |
| Systemic therapy | ||||
| Any systemic therapy | 93 (83%) | 73 (83%) | 20 (83%) | >0.9 |
| All Patients N (%) | Age < 65 N (%) | Age ≥ 65 N (%) | p-Value | |
|---|---|---|---|---|
| Deaths | 85 (76%) | 64 (73%) | 21 (88%) | 0.2 |
| Neurological deaths | 14 (12%) | 11 (12%) | 3 (12%) | >0.9 |
| Intracranial progression | 68 (61%) | 56 (64%) | 12 (50%) | 0.2 |
| Extracranial progression | 84 (75%) | 69 (78%) | 15 (62%) | 0.12 |
| Leptomeningeal disease (LMD) | 17 (15%) | 15 (17%) | 2 (8%) | 0.5 |
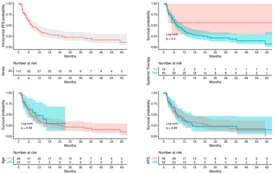
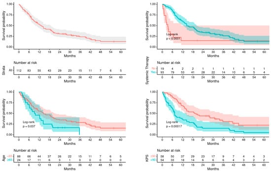
| Median OS (95% CI) | 13.1 months (9.7–18.9) | 14.5 months (11–21) | 9.5 months (6.2–14.4) | 0.037 * |
| 1-year OS | 53% | 55% | 46% | |
| Median IC-PFS (95% CI) | 7.9 months (6.4–11.9) | 7.1 months (6.3–11.8) | 9.7 months (5.2–NR) | 0.580 |
| 1-year IC-PFS | 37% | 35% | 48% | |
| Freedom from neurological death at 1 year | 87% | 83.3% | 0.780 | |
| Freedom from LMD at 1 year | 73.3% | 87.6% | 0.627 | |
| Variable (OS) | Univariate Analysis | Multivariable Analysis | |||||
|---|---|---|---|---|---|---|---|
| N | HR | 95% CI | p-Value | HR | 95% CI | p-Value | |
| Age at SRS (continuous) | 112 | 1.02 | 1.00, 1.03 | 0.084 | Not included | ||
| Age at SRS | 0.048 * | 0.055 | |||||
| <65 | 88 | Ref | - | Ref | - | ||
| ≥65 | 24 | 1.70 | 1.03, 2.82 | 1.71 | 1.01, 2.92 | ||
| ER positive | 0.2 | 0.7 | |||||
| No | 51 | Ref | - | - | - | ||
| Yes | 61 | 1.35 | 0.87, 2.08 | 1.11 | 0.69, 1.79 | ||
| HER2 positive | <0.001 * | 0.014 * | |||||
| No | 68 | - | - | Ref | - | ||
| Yes | 44 | 0.46 | 0.29, 0.72 | 0.54 | 0.33, 0.89 | ||
| Receptor status | 0.004 * | Not included | |||||
| ER-/HER2− | 31 | Ref | - | ||||
| ER+/HER2− | 37 | 1.16 | 0.68, 1.96 | ||||
| ER-/HER2+ | 20 | 0.38 | 0.19, 0.78 | ||||
| ER+/HER2+ | 24 | 0.62 | 0.33, 1.16 | ||||
| KPS | <0.001 * | 0.008 * | |||||
| >80 | 58 | Ref | - | Ref | - | ||
| ≤80 | 54 | 2.24 | 1.46, 3.45 | 1.83 | 1.17, 2.86 | ||
| Brain metastasis at diagnosis | >0.9 | Not included | |||||
| No | 108 | Ref | - | ||||
| Yes | 4 | 1.02 | 0.37, 2.79 | ||||
| Distant extracranial progression | 0.072 | Not included | |||||
| No | 28 | Ref | - | ||||
| Yes | 84 | 1.65 | 0.93, 2.95 | ||||
| Isolated CNS disease | <0.001 * | Not included | |||||
| No | 97 | Ref | - | ||||
| Yes | 15 | 0.29 | 0.13, 0.67 | ||||
| Previous WBRT | 0.3 | Not included | |||||
| No | 93 | Ref | - | ||||
| Yes | 19 | 1.38 | 0.79, 2.42 | ||||
| Surgery for metastasis | 0.12 | Not included | |||||
| No Surgery | 67 | Ref | - | ||||
| Surgery before first SRS | 34 | 0.65 | 0.40, 1.07 | ||||
| Surgery after first SRS | 11 | 0.54 | 0.22, 1.35 | ||||
| Fractionated SRS | 0.013 * | 0.052 * | |||||
| No | 25 | Ref | - | Ref | - | ||
| Yes | 87 | 0.53 | 0.32, 0.86 | 0.59 | 0.36, 0.99 | ||
| Number of brain metastases treated | 111 | 1.06 | 1.01, 1.11 | 0.028 * | 1.06 | 1.01, 1.12 | 0.023 * |
| SRS for >5 lesions | 0.3 | Not included | |||||
| No | 79 | Ref | - | ||||
| Yes | 33 | 1.26 | 0.80, 2.01 | ||||
| Started systemic therapy after radiation | <0.001 * | <0.001 * | |||||
| No | 19 | Ref | - | Ref | - | ||
| Yes | 93 | 0.32 | 0.18, 0.57 | 0.24 | 0.13, 0.45 | ||
| Variable (PFS) | Univariate Analysis | Multivariable Analysis | |||||
|---|---|---|---|---|---|---|---|
| N | HR | 95% CI | p-Value | HR | 95% CI | p-Value | |
| Age at SRS (continuous) | 112 | 1.00 | 0.98, 1.02 | 0.7 | Not included | ||
| Age at SRS | 0.6 | 0.5 | |||||
| <65 | 88 | Ref | - | Ref | - | ||
| ≥65 | 24 | 0.84 | 0.45, 1.57 | 0.82 | 0.42, 1.59 | ||
| ER positive | 0.4 | 0.5 | |||||
| No | 51 | Ref | - | Ref | - | ||
| Yes | 61 | 1.24 | 0.77, 2.01 | 1.21 | 0.73, 2.01 | ||
| HER2 positive | 0.2 | 0.5 | |||||
| No | 68 | Ref | - | Ref | - | ||
| Yes | 44 | 0.71 | 0.43, 1.16 | 0.81 | 0.47, 1.41 | ||
| Receptor status | 0.14 | Not included | |||||
| ER-/HER2− | 31 | Ref | - | ||||
| ER+/HER2− | 37 | 0.85 | 0.46, 1.57 | ||||
| ER-/HER2+ | 20 | 0.45 | 0.22, 0.95 | ||||
| ER+/HER2+ | 24 | 0.92 | 0.47, 1.77 | ||||
| KPS | 0.9 | 0.6 | |||||
| >80 | 58 | Ref | - | Ref | - | ||
| ≤80 | 54 | 0.96 | 0.59, 1.57 | 0.87 | 0.52, 1.44 | ||
| Brain metastasis at diagnosis | 0.4 | Not included | |||||
| No | 108 | Ref | - | ||||
| Yes | 4 | 1.52 | 0.55, 4.22 | ||||
| Distant extracranial progression | <0.001 * | Not included | |||||
| No | 28 | Ref | - | ||||
| Yes | 84 | 4.54 | 1.95, 10.6 | ||||
| Isolated CNS disease | 0.042 * | Not included | |||||
| No | 97 | Ref | - | ||||
| Yes | 15 | 0.49 | 0.24, 1.04 | ||||
| Previous WBRT | 0.6 | Not included | |||||
| No | 93 | Ref | - | ||||
| Yes | 19 | 1.21 | 0.62, 2.38 | ||||
| Surgery for metastasis | 0.10 | Not included | |||||
| No Surgery | 67 | Ref | - | ||||
| Surgery before first SRS | 34 | 0.54 | 0.30, 0.97 | ||||
| Surgery after first SRS | 11 | 0.86 | 0.40, 1.84 | ||||
| Fractionated SRS | 0.14 | 0.2 | |||||
| No | 25 | Ref | - | Ref | - | ||
| Yes | 87 | 0.64 | 0.36, 1.13 | 0.67 | 0.36, 1.22 | ||
| Number of brain metastases treated | 111 | 1.07 | 1.02, 1.13 | 0.013 * | 1.06 | 1.01, 1.12 | 0.041 * |
| SRS for >5 lesions | 0.15 | Not included | |||||
| No | 79 | Ref | - | ||||
| Yes | 33 | 1.48 | 0.88, 2.49 | ||||
| Started systemic therapy after radiation | 0.4 | 0.7 | |||||
| No | 19 | Ref | - | Ref | - | ||
| Yes | 93 | 1.55 | 0.56, 4.30 | 1.21 | 0.43, 3.43 | ||
Disclaimer/Publisher’s Note: The statements, opinions and data contained in all publications are solely those of the individual author(s) and contributor(s) and not of MDPI and/or the editor(s). MDPI and/or the editor(s) disclaim responsibility for any injury to people or property resulting from any ideas, methods, instructions or products referred to in the content. |
© 2023 by the authors. Licensee MDPI, Basel, Switzerland. This article is an open access article distributed under the terms and conditions of the Creative Commons Attribution (CC BY) license (https://creativecommons.org/licenses/by/4.0/).
Share and Cite
Upadhyay, R.; Klamer, B.G.; Perlow, H.K.; White, J.R.; Bazan, J.G.; Jhawar, S.R.; Blakaj, D.M.; Grecula, J.C.; Arnett, A.; Mestres-Villanueva, M.A.; et al. Stereotactic Radiosurgery for Women Older than 65 with Breast Cancer Brain Metastases. Cancers 2024, 16, 137. https://doi.org/10.3390/cancers16010137
Upadhyay R, Klamer BG, Perlow HK, White JR, Bazan JG, Jhawar SR, Blakaj DM, Grecula JC, Arnett A, Mestres-Villanueva MA, et al. Stereotactic Radiosurgery for Women Older than 65 with Breast Cancer Brain Metastases. Cancers. 2024; 16(1):137. https://doi.org/10.3390/cancers16010137
Chicago/Turabian StyleUpadhyay, Rituraj, Brett G. Klamer, Haley K. Perlow, Julia R. White, Jose G. Bazan, Sachin R. Jhawar, Dukagjin M. Blakaj, John C. Grecula, Andrea Arnett, Mariella A. Mestres-Villanueva, and et al. 2024. "Stereotactic Radiosurgery for Women Older than 65 with Breast Cancer Brain Metastases" Cancers 16, no. 1: 137. https://doi.org/10.3390/cancers16010137
APA StyleUpadhyay, R., Klamer, B. G., Perlow, H. K., White, J. R., Bazan, J. G., Jhawar, S. R., Blakaj, D. M., Grecula, J. C., Arnett, A., Mestres-Villanueva, M. A., Healy, E. H., Thomas, E. M., Chakravarti, A., Raval, R. R., Lustberg, M., Williams, N. O., Palmer, J. D., & Beyer, S. J. (2024). Stereotactic Radiosurgery for Women Older than 65 with Breast Cancer Brain Metastases. Cancers, 16(1), 137. https://doi.org/10.3390/cancers16010137

