First- versus Third-Generation EGFR Tyrosine Kinase Inhibitors in EGFR-Mutated Non-Small Cell Lung Cancer Patients with Brain Metastases
Abstract
Simple Summary
Abstract
1. Introduction
2. Methods
2.1. Patient Selection and Data Collection
2.2. EGFR-TKI Data
2.3. Statistical Methods
3. Results
3.1. Patient Characteristics
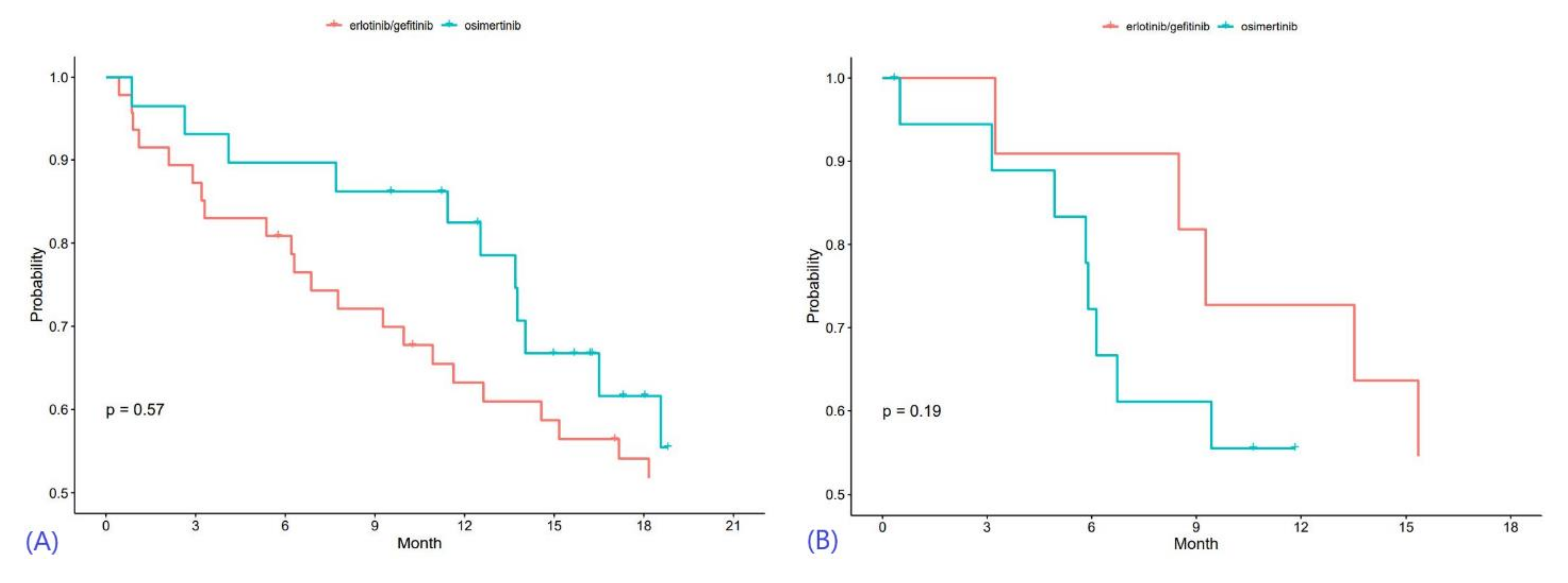
3.2. Overall Survival
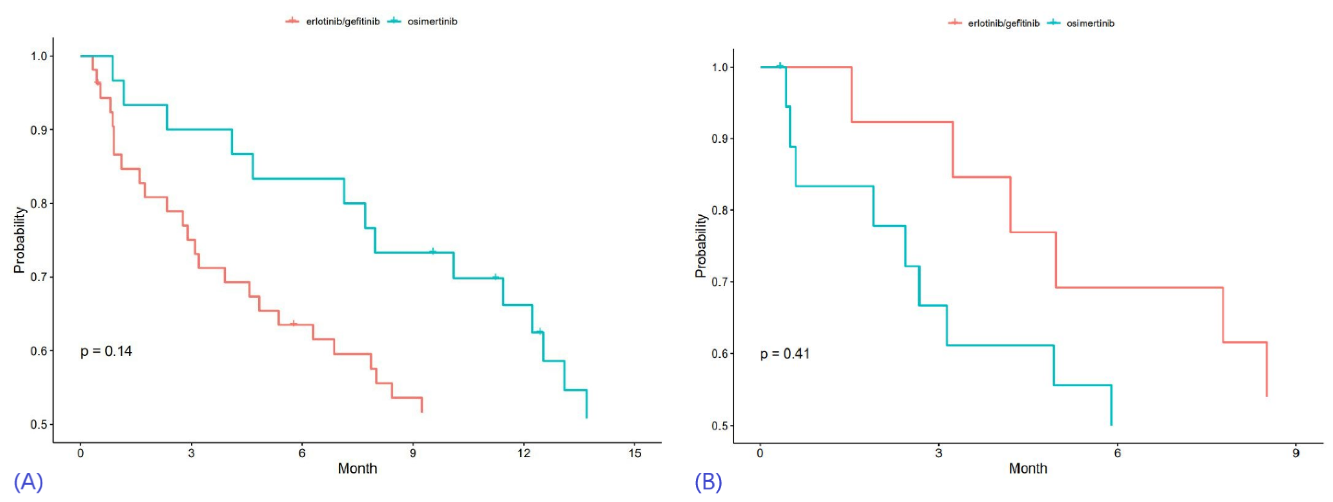
3.3. Progression-Free Survival
3.4. Outcomes after Propensity Score Matching
4. Discussion
5. Conclusions
Author Contributions
Funding
Institutional Review Board Statement
Informed Consent Statement
Data Availability Statement
Acknowledgments
Conflicts of Interest
References
- Bray, F.; Ferlay, J.; Soerjomataram, I.; Siegel, R.L.; Torre, L.A.; Jemal, A. Global cancer statistics 2018: GLOBOCAN estimates of incidence and mortality worldwide for 36 cancers in 185 countries. CA Cancer J. Clin. 2018, 68, 394–424. [Google Scholar] [CrossRef]
- Gelatti, A.C.Z.; Drilon, A.; Santini, F.C. Optimizing the sequencing of tyrosine kinase inhibitors (TKIs) in epidermal growth factor receptor (EGFR) mutation-positive non-small cell lung cancer (NSCLC). Lung Cancer 2019, 137, 113–122. [Google Scholar] [CrossRef]
- Saad, A.G.; Yeap, B.Y.; Thunnissen, F.B.; Pinkus, G.S.; Pinkus, J.L.; Loda, M.; Sugarbaker, D.J.; Johnson, B.E.; Chirieac, L.R. Immunohistochemical markers associated with brain metastases in patients with non-small cell lung carcinoma. Cancer 2008, 113, 2129–2138. [Google Scholar] [CrossRef]
- Rangachari, D.; Yamaguchi, N.; VanderLaan, P.A.; Folch, E.; Mahadevan, A.; Floyd, S.R.; Uhlmann, E.J.; Wong, E.T.; Dahlberg, S.E.; Huberman, M.S.; et al. Brain metastases in patients with EGFR-altered or ALK-rearranged non-small-cell lung cancers. Lung Cancer 2015, 88, 108–111. [Google Scholar] [CrossRef] [PubMed]
- Rybarczyk-Kasiuchnicz, A.; Ramlau, R.; Stencel, K. Treatment of Brain Metastases of Non-Small Cell Lung Carcinoma. Int. J. Mol. Sci. 2021, 22, 593. [Google Scholar] [CrossRef]
- Aiko, N.; Shimokawa, T.; Miyazaki, K.; Misumi, Y.; Agemi, Y.; Ishii, M.; Nakamura, Y.; Yamanaka, T.; Okamoto, H. Comparison of the efficacies of first-generation epidermal growth factor receptor tyrosine kinase inhibitors for brain metastasis in patients with advanced non-small-cell lung cancer harboring EGFR mutations. BMC Cancer 2018, 18, 1012. [Google Scholar] [CrossRef] [PubMed]
- Passaro, A.; Mok, T.; Peters, S.; Popat, S.; Ahn, M.J.; de Marinis, F. Recent Advances on the Role of EGFR Tyrosine Kinase Inhibitors in the Management of NSCLC With Uncommon, Non Exon 20 Insertions, EGFR Mutations. J. Thorac. Oncol. 2021, 16, 764–773. [Google Scholar] [CrossRef] [PubMed]
- Yen, C.T.; Wu, W.J.; Chen, Y.T.; Chang, W.C.; Yang, S.H.; Shen, S.Y.; Su, J.; Chen, H.Y. Surgical resection of brain metastases prolongs overall survival in non-small-cell lung cancer. Am. J. Cancer Res. 2021, 11, 6160–6172. [Google Scholar] [PubMed]
- Patil, C.G.; Pricola, K.; Sarmiento, J.M.; Garg, S.K.; Bryant, A.; Black, K.L. Whole brain radiation therapy (WBRT) alone versus WBRT and radiosurgery for the treatment of brain metastases. Cochrane Database Syst. Rev. 2017, 9, CD006121. [Google Scholar]
- Zhao, B.; Wang, Y.; Wang, Y.; Chen, W.; Zhou, L.; Liu, P.H.; Kong, Z.; Dai, C.; Wang, Y.; Ma, W. Efficacy and safety of therapies for EGFR-mutant non-small cell lung cancer with brain metastasis: An evidence-based Bayesian network pooled study of multivariable survival analyses. Aging 2020, 12, 14244–14270. [Google Scholar] [CrossRef]
- Thomas, R.; Srivastava, S.; Katreddy, R.R.; Sobieski, J.; Zhang, W. Kinase-inactivated EGFR is required for the survival of wild-type EGFR-expressing cancer cells treated with tyrosine kinase inhibitors. Int. J. Mol. Sci. 2019, 20, 2515. [Google Scholar] [CrossRef]
- Rosell, R.; Carcereny, E.; Gervais, R.; Vergnenegre, A.; Massuti, B.; Felip, E.; Palmero, R.; Garcia-Gomez, R.; Pallares, C.; Sanchez, J.M.; et al. Erlotinib versus standard chemotherapy as first-line treatment for European patients with advanced EGFR mutation-positive non-small-cell lung cancer (EURTAC): A multicentre, open-label, randomised phase 3 trial. Lancet Oncol. 2012, 13, 239–246. [Google Scholar] [CrossRef] [PubMed]
- Mitsudomi, T.; Morita, S.; Yatabe, Y.; Negoro, S.; Okamoto, I.; Tsurutani, J.; Seto, T.; Satouchi, M.; Tada, H.; Hirashima, T.; et al. Gefitinib versus cisplatin plus docetaxel in patients with non-small-cell lung cancer harbouring mutations of the epidermal growth factor receptor (WJTOG3405): An open label, randomised phase 3 trial. Lancet Oncol. 2010, 11, 121–128. [Google Scholar] [CrossRef]
- Yun, P.J.; Wang, G.C.; Chen, Y.Y.; Wu, T.H.; Huang, H.K.; Lee, S.C.; Chang, H.; Huang, T. Brain metastases in resected non-small cell lung cancer: The impact of different tyrosine kinase inhibitors. PLoS ONE 2019, 14, e0215923. [Google Scholar] [CrossRef] [PubMed]
- Zeng, Y.D.; Liao, H.; Qin, T.; Zhang, L.; Wei, W.D.; Liang, J.Z.; Xu, F.; Dinglin, X.; Ma, S.; Chen, L. Blood-brain barrier permeability of gefitinib in patients with brain metastases from non-small-cell lung cancer before and during whole brain radiation therapy. Oncotarget 2015, 6, 8366–8376. [Google Scholar] [CrossRef] [PubMed]
- Clarke, J.L.; Pao, W.; Wu, N.; Miller, V.A.; Lassman, A.B. High dose weekly erlotinib achieves therapeutic concentrations in CSF and is effective in leptomeningeal metastases from epidermal growth factor receptor mutant lung cancer. J. Neurooncol. 2010, 99, 283–286. [Google Scholar] [CrossRef]
- Leonetti, A.; Sharma, S.; Minari, R.; Perego, P.; Giovannetti, E.; Marcello, T. Resistance mechanisms to osimertinib in EGFR-altered non-small cell lung cancer. Br. J. Cancer 2019, 121, 725–737. [Google Scholar] [CrossRef]
- Ballard, P.; Yates, J.W.; Yang, Z.; Kim, D.W.; Yang, J.C.; Cantarini, M.; Pickup, K.; Jordan, A.; Hickey, M.; Grist, M.; et al. Preclinical Comparison of Osimertinib with Other EGFR-TKIs in EGFR-Mutant NSCLC Brain Metastases Models, and Early Evidence of Clinical Brain Metastases Activity. Clin. Cancer Res. 2016, 22, 5130–5140. [Google Scholar] [CrossRef]
- Ramalingam, S.S.; Vansteenkiste, J.; Planchard, D.; Cho, B.C.; Gray, J.E.; Ohe, Y.; Zhou, C.; Reungwetwattana, T.; Cheng, Y.; Chewaskulyong, B.; et al. Overall Survival with Osimertinib in Untreated. N. Engl. J. Med. 2020, 382, 41–50. [Google Scholar] [CrossRef]
- Soria, J.C.; Ohe, Y.; Vansteenkiste, J.; Reungwetwattana, T.; Chewaskulyong, B.; Lee, K.H.; Dechaphunkul, A.; Imamura, F.; Nogami, N.; Kurata, T.; et al. Osimertinib in Untreated EGFR-altered Advanced Non-Small-Cell Lung Cancer. N. Engl. J. Med. 2018, 378, 113–125. [Google Scholar] [CrossRef]
- Goss, G.; Tsai, C.M.; Shepherd, F.A.; Ahn, M.J.; Bazhenova, L.; Crinò, L.; de Marinis, F.; Felip, E.; Morabito, A.; Hodge, R.; et al. CNS response to osimertinib in patients with T790M-positive advanced NSCLC: Pooled data from two phase II trials. Ann. Oncol. 2018, 29, 687–693. [Google Scholar] [CrossRef]
- Wu, Y.L.; Ahn, M.J.; Garassino, M.C.; Han, J.Y.; Katakami, N.; Kim, H.R.; Hodge, R.; Kaur, P.; Brown, A.P.; Ghiorghiu, D.; et al. CNS Efficacy of Osimertinib in Patients With T790M-Positive Advanced Non-Small-Cell Lung Cancer: Data From a Randomized Phase III Trial (AURA3). J. Clin. Oncol. 2018, 36, 2702–2709. [Google Scholar] [CrossRef] [PubMed]
- Yamaguchi, H.; Wakuda, K.; Fukuda, M.; Kenmotsu, H.; Mukae, H.; Ito, K.; Chibana, K.; Inoue, K.; Miura, S.; Tanaka, K.; et al. A Phase II Study of Osimertinib for Radiotherapy-Naive Central Nervous System Metastasis From NSCLC: Results for the T790M Cohort of the OCEAN Study (LOGIK1603/WJOG9116L). J. Thorac. Oncol. 2021, 16, 2121–2132. [Google Scholar] [CrossRef]
- Yang, J.C.H.; Kim, S.W.; Kim, D.W.; Lee, J.S.; Cho, B.C.; Ahn, J.S.; Lee, D.H.; Kim, T.M.; Goldman, J.W.; Natale, R.B.; et al. Osimertinib in Patients With Epidermal Growth Factor Receptor Mutation-Positive Non-Small-Cell Lung Cancer and Leptomeningeal Metastases: The BLOOM Study. J. Clin. Oncol. 2020, 38, 538–547. [Google Scholar] [CrossRef]
- Singhi, E.K.; Horn, L.; Sequist, L.V.; Heymach, J.; Langer, C.J. Advanced Non-small Cell Lung Cancer: Sequencing Agents in the EGFR-altered/ALK-Rearranged Populations. Am. Soc. Clin. Oncol. Educ. Book 2019, 39, e187–e197. [Google Scholar] [CrossRef] [PubMed]
- Huang, Y.H.; Hsu, K.H.; Tseng, J.S.; Yang, T.Y.; Chen, K.C.; Su, K.Y.; Yu, S.L.; Chen, J.W.; Chang, J.C. The Difference in Clinical Outcomes Between Osimertinib and Afatinib for First-Line Treatment in Patients with Advanced and Recurrent EGFR-Mutant Non-Small Cell Lung Cancer in Taiwan. Target. Oncol. 2022, 17, 295–306. [Google Scholar] [CrossRef]
- Gen, S.; Tanaka, I.; Morise, M.; Koyama, J.; Kodama, Y.; Matsui, A.; Hase, T.; Hibino, Y.; Yokoyama, T.; Kimura, T.; et al. Clinical efficacy of osimertinib in EGFR-mutant non-small cell lung cancer with distant metastasis. BMC Cancer 2022, 22, 654. [Google Scholar] [CrossRef] [PubMed]
- Zhao, Y.; Li, S.; Yang, X.; Chu, L.; Wang, S.; Tong, T.; Chu, X.; Yu, F.; Zeng, Y.; Guo, T.; et al. Overall survival benefit of osimertinib and clinical value of upfront cranial local therapy in untreated EGFR-mutant non-small cell lung cancer with brain metastasis. Int. J. Cancer 2022, 150, 1318–1328. [Google Scholar] [CrossRef]
- Zhou, Y.; Wang, B.; Qu, J.; Yu, F.; Zhao, Y.; Li, S.; Zeng, Y.; Yang, X.; Chu, L.; Chu, X.; et al. Survival outcomes and symptomatic central nervous system (CNS) metastasis in EGFR-mutant advanced non-small cell lung cancer without baseline CNS metastasis: Osimertinib vs. first-generation EGFR tyrosine kinase inhibitors. Lung Cancer 2020, 150, 178–185. [Google Scholar] [CrossRef]
- Reungwetwattana, T.; Nakagawa, K.; Cho, B.C.; Cobo, M.; Cho, E.K.; Bertolini, A.; Bohnet, S.; Zhou, C.; Lee, K.; Nogami, N.; et al. CNS Response to Osimertinib Versus Standard Epidermal Growth Factor Receptor Tyrosine Kinase Inhibitors in Patients With Untreated EGFR-altered Advanced Non-Small-Cell Lung Cancer. J. Clin. Oncol. 2018, 36, 3290. [Google Scholar] [CrossRef]
- Liang, H.; Liu, X.; Wang, M. Immunotherapy combined with epidermal growth factor receptor tyrosine kinase inhibitors in non-small-cell lung cancer treatment. Oncol. Targets Ther. 2018, 11, 6189–6196. [Google Scholar] [CrossRef] [PubMed]



| Group | n | Follow-Up Time |
|---|---|---|
| Total EGFR-mutant NSCLC patients treated with EGFR-TKI after BM diagnosis | 107 | 17.1 months |
| Treated with first-generation EGFR-TKI (erlotinib/gefitinib), n | 64 | 18.03 months |
| Treated with first-generation EGFR-TKI (Osimertinib), n | 50 | 17.95 months |
| Variable | Erlotinib/Gefitinib | Osimertinib |
|---|---|---|
| Cohort population (n) | 53 | 30 |
| Age in years, median (range) | 63.1 (29.9, 90.7) | 72.77 (31.92, 84.83) |
| Female, n (%) | 32 (60.4) | 23 (76.7) |
| KPS ≥70, n (%) | 48 (96.0) | 29 (96.7) |
| Multiple brain metastases, n (%) | 42 (84.0) | 21 (72.4) |
| Single brain metastases, n (%) | 8 (16.0) | 8 (27.6) |
| Extracranial metastases, n (%) | 42 (80.8) | 13 (44.8) |
| Leptomeningeal spread, n (%) | 5 (9.4) | 1 (3.3) |
| Received WBRT, n (%) | 33 (62.3) | 7 (23.3) |
| Received Surgery, n (%) | 6 (11.3) | 1 (3.3) |
| Received SRS, n (%) | 29 (54.7) | 20 (66.7) |
| Median Number of SRS (Range) | 0 (0–10) | 0 (0–8) |
| Variable | Erlotinib/Gefitinib | Osimertinib |
|---|---|---|
| Cohort population (n) | 13 | 20 |
| Age in years, median (range) | 59.7 (46.8, 72.8) | 62.7 (28.4, 83.5) |
| Female, n (%) | 8 (61.5) | 11 (55.0) |
| KPS ≥ 70, n (%) | 11 (84.6) | 19 (100.0) |
| Multiple brain metastases, n (%) | 8 (72.7) | 15 (78.9) |
| Single brain metastases, n (%) | 3 (27.3) | 4 (21.1) |
| Extracranial metastases, n (%) | 9 (69.2) | 18 (90.0) |
| Leptomeningeal spread, n (%) | 1 (7.7) | 1 (5.0) |
| Received surgery, n (%) | 3 (23.1) | 1 (5.0) |
| Received WBRT, n (%) | 6 (46.2) | 11 (55.0) |
| Received SRS, n (%) | 9 (69.2) | 14 (70.0) |
| Median Number of SRS (Range) | 1 (0–3) | 1 (0–5) |
| Therapy | EGFR-TKI | Median OS (Months) | 1-Year OS (95% CI) | 2-Year OS (95% CI) |
|---|---|---|---|---|
| 1st line | erlotinib/gefitinib | 18.2 | 63% (48%, 75%) | 32% (19%, 46%) |
| Osimertinib | 19.4 | 82% (63%, 92%) | 36% (13%, 61%) | |
| 2nd–5th line | erlotinib/gefitinib | 17.3 | NA | NA |
| Osimertinib | 11.9 | NA | NA |
| Variable | Level | 1st Line | 2nd-to-5th Line | ||
|---|---|---|---|---|---|
| HR (95% CI) | p-Value | HR (95% CI) | p-Value | ||
| Number of Brain Metastases | Multiple | Reference | Reference | ||
| Single | 0.67 (0.42, 1.07) | 0.09 | 0.24 (0.05, 1.05) | 0.057 | |
| Extracranial Metastases Present at Time of Diagnosis | No | Reference | Reference | ||
| Yes | 2.29 (1.44, 3.64) | <0.001 | 4.23 (0.92, 19.48) | 0.064 | |
| Leptomeningeal metastases | No | Reference | Reference | ||
| Yes | 1.83 (0.95, 3.52) | 0.071 | 43.10 (3.81, 487.17) | 0.002 | |
| Whole Brain Radiation Received | No | Reference | Reference | ||
| Yes | 1.83 (1.24, 2.69) | 0.002 | 2.13 (0.89, 5.10) | 0.091 | |
| Surgery Received | No | Reference | Reference | ||
| Yes | 0.96 (0.55, 1.69) | 0.88 | 0.78 (0.26, 2.40) | 0.67 | |
| Karnofsky Performance Status | ≥70 | Reference | Reference | ||
| 70 | 1.92 (0.92, 4.03) | 0.083 | 0.97 (0.13, 7.39) | 0.98 | |
| SRS frequency | ≥1 | Reference | Reference | ||
| 0 | 1.37 (0.92, 2.04) | 0.12 | 1.24 (0.47, 3.29) | 0.66 | |
| Sex | Female | Reference | Reference | ||
| Male | 0.98 (0.67, 1.45) | 0.93 | 0.58 (0.23, 1.47) | 0.25 | |
| Generation of EGFR-TKI received | 1st | Reference | Reference | ||
| 3rd | 0.84 (0.45, 1.55) | 0.57 | 1.83 (0.74, 4.56) | 0.19 | |
| Number of Brain metastases | - | 1.06 (0.99, 1.12) | 0.08 | 1.07 (0.88, 1.31) | 0.51 |
| SRS Total Number | - | 0.78 (0.67, 0.92) | 0.003 | 1.05 (0.73, 1.50) | 0.79 |
| Age | - | 1.00 (0.98, 1.02) | 0.99 | 0.98 (0.95, 1.02) | 0.31 |
| Variable | Level | HR (95% CI) | p-Value |
|---|---|---|---|
| Karnofsky performance status | ≥70 | Reference | |
| <70 | 2.03 (0.57, 7.20) | 0.28 | |
| Extracranial metastases at diagnosis | Absent | Reference | |
| Present | 3.10 (1.42, 6.76) | 0.004 | |
| Whole-brain radiotherapy | No | Reference | |
| Yes | 1.58 (0.83, 3.01) | 0.17 | |
| Age | - | 1.01 (0.99, 1.03) | 0.46 |
| Leptomeningeal metastases | Absent | Reference | |
| Present | 0.71 (0.26, 1.92) | 0.50 | |
| Generation of EGFR TKI | 1st | Reference | |
| 3rd | 1.25 (0.63, 2.49) | 0.52 |
| Variable | Level | HR (95% CI) | p-Value |
|---|---|---|---|
| Leptomeningeal metastases | Absent | Reference | |
| Present | 26.30 (1.91, 362.80) | 0.015 | |
| Extracranial metastases at diagnosis | Absent | Reference | |
| Present | 4.06 (0.62, 26.71) | 0.14 | |
| Generation of EGFR TKI | erlotinib/gefitinib | Reference | |
| Osimertinib | 1.60 (0.55, 4.69) | 0.39 | |
| Sex | Female | Reference | |
| Male | 0.32 (0.10, 0.97) | 0.045 | |
| Whole-brain radiotherapy | No | Reference | |
| Yes | 1.81 (0.62, 5.26) | 0.28 | |
| Age | - | 0.97 (0.93, 1.02) | 0.23 |
| Therapy | EGFR-TKI | Median PFS (Months) | 1-Year PFS (95% CI) | 2-Year PFS (95% CI) |
|---|---|---|---|---|
| 1st line | erlotinib/gefitinib | 9.27 | 41% (28%, 55%) | 16% (7%, 27%) |
| Osimertinib | 13.77 | 66% (46%, 80%) | 34% (15%, 55%) | |
| 2nd–5th line | erlotinib/gefitinib | 10.43 | NA | NA |
| Osimertinib | 6.08 | NA | NA |
| Variable | Level | 1st Line | 2nd-to-5th Line | ||
|---|---|---|---|---|---|
| HR (95% CI) | p-Value | HR (95% CI) | p-Value | ||
| Number of Brain Metastases | Multiple | Reference | Reference | ||
| Single | 1.05 (0.70, 1.55) | 0.82 | 0.20 (0.06, 0.70) | 0.012 | |
| Extracranial Metastases Present at the time of diagnosis | No | Reference | Reference | ||
| Yes | 1.68 (1.13, 2.49) | 0.01 | 3.19 (0.94, 10.84) | 0.064 | |
| Leptomeningeal metastases | No | Reference | Reference | ||
| Yes | 0.82 (0.43, 1.53) | 0.53 | 6.19 (1.27, 30.05) | 0.024 | |
| Whole Brain Radiation Received | No | Reference | Reference | ||
| Yes | 1.38 (0.97, 1.94) | 0.07 | 2.94 (1.31, 6.64) | 0.009 | |
| Received Surgery | No | Reference | Reference | ||
| Yes | 1.20 (0.70, 2.06) | 0.51 | 0.82 (0.28, 2.42) | 0.72 | |
| Karnofsky Performance Status | ≥70 | Reference | Reference | ||
| 70 | 1.42 (0.74, 2.72) | 0.29 | 0.79 (0.18, 3.39) | 0.75 | |
| SRS frequency | ≥1 | Reference | Reference | ||
| 0 | 0.86 (0.60, 1.24) | 0.41 | 0.73 (0.30, 1.73) | 0.47 | |
| Sex | Female | Reference | Reference | ||
| Male | 1.55 (1.10, 2.18) | 0.013 | 1.12 (0.51, 2.45) | 0.79 | |
| Generation of EGFR-TKI received | 1st | Reference | Reference | ||
| 3rd | 0.66 (0.38, 1.15) | 0.14 | 1.39 (0.63, 3.04) | 0.41 | |
| Number of Brain metastases | - | 1.05 (0.98, 1.12) | 0.14 | 1.03 (0.89, 1.18) | 0.72 |
| SRS Total Number | - | 0.95 (0.85, 1.07) | 0.37 | 1.19 (0.88, 1.62) | 0.25 |
| Age | - | 0.99 (0.98, 1.01) | 0.29 | 0.98 (0.95, 1.01) | 0.14 |
| Variable | Level | HR (95% CI) | p-Value |
|---|---|---|---|
| Sex | Female | Reference | 0.016 |
| Male | 1.9 (1.13, 3.23) | ||
| Extracranial metastases at diagnosis | Absent | Reference | 0.092 |
| Present | 1.7 (0.91, 3.34) | ||
| Whole-brain radiotherapy received | No | Reference | 0.013 |
| Yes | 2.1 (1.17, 3.93) | ||
| Age | - | 1.7 (0.91, 3.34) | 0.95 |
| Generation of EGFR TKI received | 1st | Reference | >0.99 |
| 3rd | 1.0 (0.54, 1.83) |
| Variable | Level | HR (95% CI) | p-Value |
|---|---|---|---|
| Leptomeningeal metastases | Absent | Reference | 0.03 |
| Present | 22.14 (1.35, 364.28) | ||
| Extracranial metastases at diagnosis | Absent | Reference | 0.35 |
| Present | 1.96 (0.48, 7.98) | ||
| Generation of EGFR TKI Received | 1st | Reference | 0.82 |
| 3rd | 1.12 (0.43, 2.93) | ||
| Brain Metastases | Multiple | Reference | 0.046 |
| Single | 0.25 (0.07, 0.98) | ||
| Age | - | 1.12 (0.43, 2.93) | 0.40 |
| EGFR-TKI | No. of Obs. | No. of Events | Median Duration (Month) | 1-Year Rate (95% CI) | 2-Year Rate (95% CI) | HR (95% CI) | p | |
|---|---|---|---|---|---|---|---|---|
| OS | erlotinib/gefitinib | 28 | 23 | 18.2 | 64% (44%, 79%) | 28% (13%, 46%) | Reference | 0.55 |
| Osimertinib | 28 | 14 | 23.9 | 82% (62%, 92%) | 38% (13%, 63%) | 0.81 (0.40–1.63) | ||
| PFS | erlotinib/gefitinib | 28 | 26 | 9.37 | 43% (24%, 60%) | 18% (6%, 35%) | Reference | 0.26 |
| Osimertinib | 28 | 17 | 13.77 | 64% (43%, 79%) | 32% (12%, 55%) | 0.69 (0.36–1.31) |
Disclaimer/Publisher’s Note: The statements, opinions and data contained in all publications are solely those of the individual author(s) and contributor(s) and not of MDPI and/or the editor(s). MDPI and/or the editor(s) disclaim responsibility for any injury to people or property resulting from any ideas, methods, instructions or products referred to in the content. |
© 2023 by the authors. Licensee MDPI, Basel, Switzerland. This article is an open access article distributed under the terms and conditions of the Creative Commons Attribution (CC BY) license (https://creativecommons.org/licenses/by/4.0/).
Share and Cite
Tatineni, V.; O’Shea, P.J.; Ozair, A.; Khosla, A.A.; Saxena, S.; Rauf, Y.; Jia, X.; Murphy, E.S.; Chao, S.T.; Suh, J.H.; et al. First- versus Third-Generation EGFR Tyrosine Kinase Inhibitors in EGFR-Mutated Non-Small Cell Lung Cancer Patients with Brain Metastases. Cancers 2023, 15, 2382. https://doi.org/10.3390/cancers15082382
Tatineni V, O’Shea PJ, Ozair A, Khosla AA, Saxena S, Rauf Y, Jia X, Murphy ES, Chao ST, Suh JH, et al. First- versus Third-Generation EGFR Tyrosine Kinase Inhibitors in EGFR-Mutated Non-Small Cell Lung Cancer Patients with Brain Metastases. Cancers. 2023; 15(8):2382. https://doi.org/10.3390/cancers15082382
Chicago/Turabian StyleTatineni, Vineeth, Patrick J. O’Shea, Ahmad Ozair, Atulya A. Khosla, Shreya Saxena, Yasmeen Rauf, Xuefei Jia, Erin S. Murphy, Samuel T. Chao, John H. Suh, and et al. 2023. "First- versus Third-Generation EGFR Tyrosine Kinase Inhibitors in EGFR-Mutated Non-Small Cell Lung Cancer Patients with Brain Metastases" Cancers 15, no. 8: 2382. https://doi.org/10.3390/cancers15082382
APA StyleTatineni, V., O’Shea, P. J., Ozair, A., Khosla, A. A., Saxena, S., Rauf, Y., Jia, X., Murphy, E. S., Chao, S. T., Suh, J. H., Peereboom, D. M., & Ahluwalia, M. S. (2023). First- versus Third-Generation EGFR Tyrosine Kinase Inhibitors in EGFR-Mutated Non-Small Cell Lung Cancer Patients with Brain Metastases. Cancers, 15(8), 2382. https://doi.org/10.3390/cancers15082382

