Bowel Preparation for Colonoscopy Changes Serum Composition as Detected by Thermal Liquid Biopsy and Fluorescence Spectroscopy
Abstract
Simple Summary
Abstract
1. Introduction
2. Materials and Methods
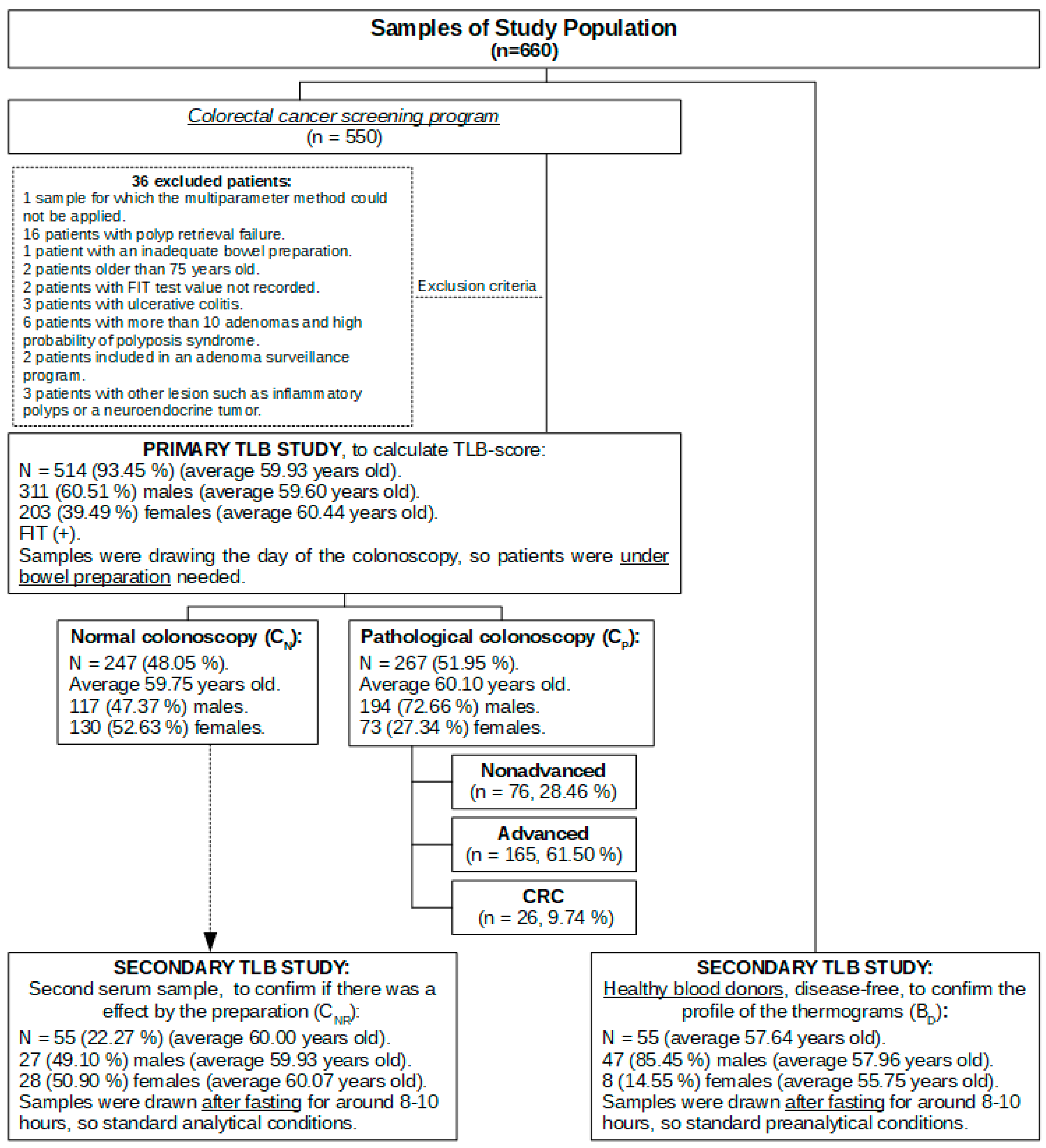
2.1. Subjects and Samples
2.1.1. Serum Samples for Primary TLB Study
2.1.2. Serum Samples for Secondary TLB Study
2.2. Blood Samples Processing
2.3. TLB Profile Determination
2.4. Fluorescence Spectroscopy
2.5. Albumin and C-Reactive Protein Serum Concentration
2.6. Data and Statistical Analysis
3. Results
3.1. Clinical Characteristics of the Study Population
3.2. Primary TLB Study: Normal Colonoscopy Group vs. Pathological Colonoscopy Group
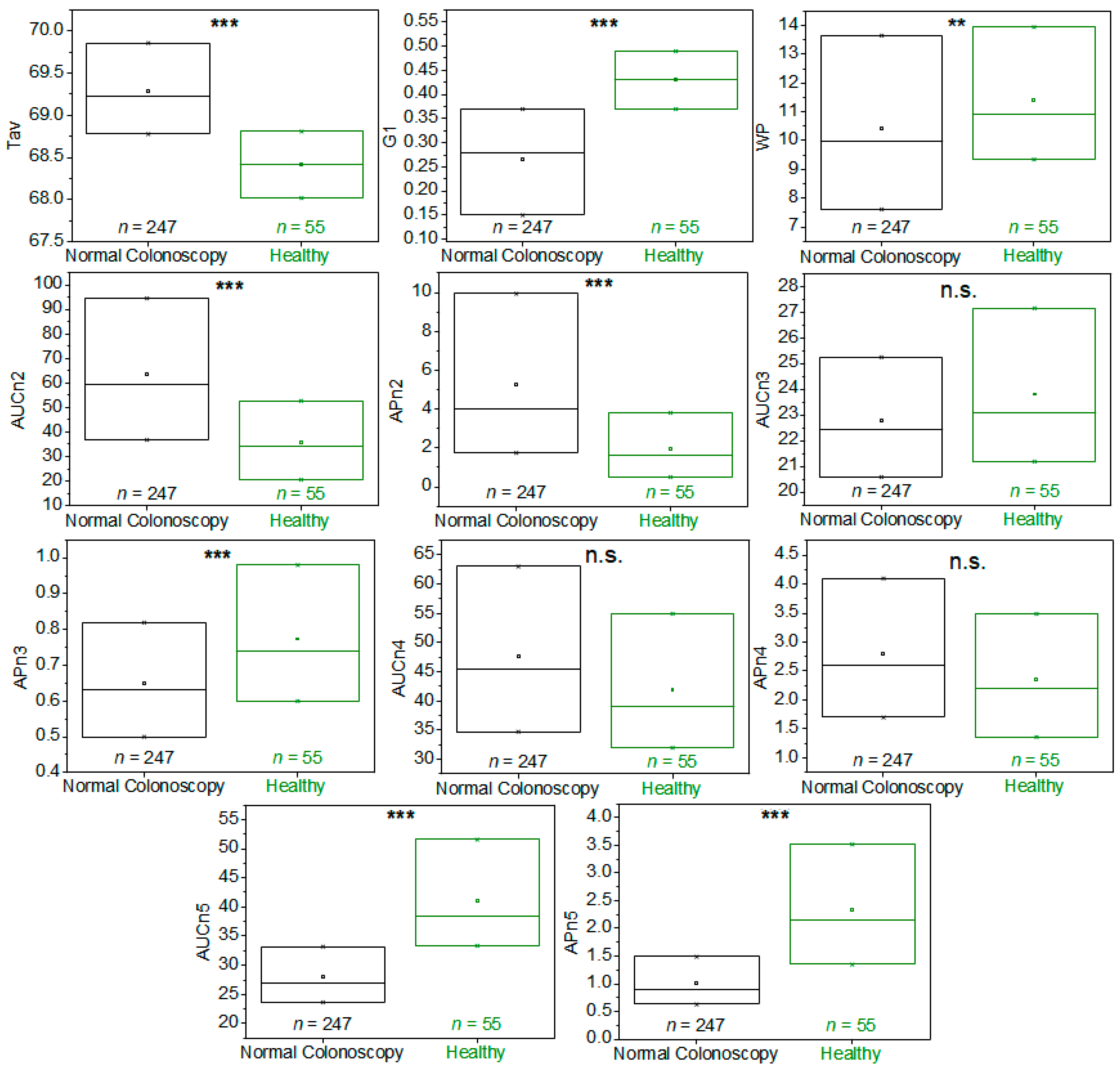
3.3. Secondary TLB Study: Resampled Normal Colonoscopy Group vs. Healthy Group
4. Discussion
5. Conclusions
Supplementary Materials
Author Contributions
Funding
Institutional Review Board Statement
Informed Consent Statement
Data Availability Statement
Conflicts of Interest
References
- Rawla, P.; Sunkara, T.; Barsouk, A. Epidemiology of Colorectal Cancer: Incidence, Mortality, Survival, and Risk Factors. Prz. Gastroenterol. 2019, 14, 89–103. [Google Scholar] [CrossRef] [PubMed]
- Gini, A.; Jansen, E.E.L.; Zielonke, N.; Meester, R.G.S.; Senore, C.; Anttila, A.; Segnan, N.; Mlakar, D.N.; de Koning, H.J.; Lansdorp-Vogelaar, I.; et al. Impact of Colorectal Cancer Screening on Cancer-Specific Mortality in Europe: A Systematic Review. Eur. J. Cancer 2020, 127, 224–235. [Google Scholar] [CrossRef] [PubMed]
- Soares, F.; Becker, K.; Anzanello, M.J. A Hierarchical Classifier Based on Human Blood Plasma Fluorescence for Non-Invasive Colorectal Cancer Screening. Artif. Intell. Med. 2017, 82, 1–10. [Google Scholar] [CrossRef] [PubMed]
- Lansdorp-Vogelaar, I.; Knudsen, A.B.; Brenner, H. Cost-Effectiveness of Colorectal Cancer Screening. Epidemiol. Rev. 2011, 33, 88–100. [Google Scholar] [CrossRef] [PubMed]
- Navarro, M.; Nicolas, A.; Ferrandez, A.; Lanas, A. Colorectal Cancer Population Screening Programs Worldwide in 2016: An Update. World J. Gastroenterol. 2017, 23, 3632–3642. [Google Scholar] [CrossRef] [PubMed]
- Domper Arnal, M.J.; García Mateo, S.; Hermoso-Durán, S.; Abad, D.; Carrera-Lasfuentes, P.; Velazquez-Campoy, A.; Abian Franco, O.; Lanas, A. False-Positive Fecal Immunochemical Test Results in Colorectal Cancer Screening and Gastrointestinal Drug Use. Int. J. Colorectal Dis. 2021, 36, 1861–1869. [Google Scholar] [CrossRef]
- Hijos-Mallada, G.; Lué, A.; Velamazan, R.; Saura, N.; Abril, C.; Lorenzo, M.; Navarro, M.; Chueca, E.; Arechavaleta, S.; Gomollón, F.; et al. The Addition of Other Fecal Biomarkers Does Not Improve the Diagnostic Accuracy of Immunochemical Fecal Occult Blood Test Alone in a Colorrectal Cancer Screening Cohort. Front. Med. 2021, 8, 665786. [Google Scholar] [CrossRef]
- Faroongsarng, D.; Sunpaweravong, S.; Raksawong, A. Thermally Induced Denaturing Energetics of Human Blood Plasma Albumin by Differential Scanning Calorimetry (DSC) as an Indicator for Breast Cancer Diagnosis in Female Patients. AAPS PharmSciTech 2019, 20, 146. [Google Scholar] [CrossRef] [PubMed]
- Schneider, G.; Kaliappan, A.; Nguyen, T.Q.; Buscaglia, R.; Brock, G.N.; Hall, M.B.; DeSpirito, C.; Wilkey, D.W.; Merchant, M.L.; Klein, J.B.; et al. The Utility of Differential Scanning Calorimetry Curves of Blood Plasma for Diagnosis, Subtype Differentiation and Predicted Survival in Lung Cancer. Cancers 2021, 13, 5326. [Google Scholar] [CrossRef]
- Chagovetz, A.A.; Quinn, C.; Damarse, N.; Hansen, L.D.; Chagovetz, A.M.; Jensen, R.L. Differential Scanning Calorimetry of Gliomas. Neurosurgery 2013, 73, 289–295. [Google Scholar] [CrossRef]
- Krumova, S.; Todinova, S.; Taneva, S.G. Calorimetric Markers for Detection and Monitoring of Multiple Myeloma. Cancers 2022, 14, 3884. [Google Scholar] [CrossRef] [PubMed]
- Kim, N.A.; Jin, J.H.; Kim, K.H.; Lim, D.G.; Cheong, H.; Kim, Y.H.; Ju, W.; Kim, S.C.; Jeong, S.H. Investigation of Early and Advanced Stages in Ovarian Cancer Using Human Plasma by Differential Scanning Calorimetry and Mass Spectrometry. Arch. Pharm. Res. 2016, 39, 668–676. [Google Scholar] [CrossRef] [PubMed]
- Vega, S.; Garcia-Gonzalez, M.A.; Lanas, A.; Velazquez-Campoy, A.; Abian, O. Deconvolution Analysis for Classifying Gastric Adenocarcinoma Patients Based on Differential Scanning Calorimetry Serum Thermograms. Sci. Rep. 2015, 5, 7988. [Google Scholar] [CrossRef]
- Velazquez-Campoy, A.; Vega, S.; Sanchez-Gracia, O.; Lanas, A.; Rodrigo, A.; Kaliappan, A.; Hall, M.B.; Nguyen, T.Q.; Brock, G.N.; Chesney, J.A.; et al. Thermal Liquid Biopsy for Monitoring Melanoma Patients under Surveillance during Treatment: A Pilot Study. Biochim. Biophys. Acta Gen. Subj. 2018, 1862, 1701–1710. [Google Scholar] [CrossRef] [PubMed]
- Rodrigo, A.; Ojeda, J.L.; Vega, S.; Sanchez-Gracia, O.; Lanas, A.; Isla, D.; Velazquez-Campoy, A.; Abian, O. Thermal Liquid Biopsy (TLB): A Predictive Score Derived from Serum Thermograms as a Clinical Tool for Screening Lung Cancer Patients. Cancers 2019, 11, 1012. [Google Scholar] [CrossRef] [PubMed]
- Hermoso-Durán, S.; García-Rayado, G.; Ceballos-Laita, L.; Sostres, C.; Vega, S.; Millastre, J.; Sánchez-Gracia, O.; Ojeda, J.L.; Lanas, Á.; Velázquez-Campoy, A.; et al. Thermal Liquid Biopsy (TLB) Focused on Benign and Premalignant Pancreatic Cyst Diagnosis. J. Pers. Med. 2021, 11, 25. [Google Scholar] [CrossRef] [PubMed]
- Annesi, F.; Hermoso-Durán, S.; Rizzuti, B.; Bruno, R.; Pirritano, D.; Petrone, A.; Del Giudice, F.; Ojeda, J.; Vega, S.; Sanchez-Gracia, O.; et al. Thermal Liquid Biopsy (Tlb) of Blood Plasma as a Potential Tool to Help in the Early Diagnosis of Multiple Sclerosis. J. Pers. Med. 2021, 11, 295. [Google Scholar] [CrossRef]
- Beije, N.; Martens, J.W.M.; Sleijfer, S. Incorporating Liquid Biopsies into Treatment Decision-Making: Obstacles and Possibilities. Drug Discov. Today 2019, 24, 1715–1719. [Google Scholar] [CrossRef]
- Kolencík, D.; Shishido, S.N.; Pitule, P.; Mason, J.; Hicks, J.; Kuhn, P. Liquid Biopsy in Colorectal Carcinoma: Clinical Applications and Challenges. Cancer 2020, 12, 1376. [Google Scholar] [CrossRef]
- Leers, M.P.G. Circulating Tumor DNA and Their Added Value in Molecular Oncology. Clin. Chem. Lab. Med. 2019, 58, 152–161. [Google Scholar] [CrossRef]
- Salvianti, F.; Gelmini, S.; Costanza, F.; Mancini, I.; Sonnati, G.; Simi, L.; Pazzagli, M.; Pinzani, P. The Pre-Analytical Phase of the Liquid Biopsy. N. Biotechnol. 2020, 55, 19–29. [Google Scholar] [CrossRef] [PubMed]
- Hong, B.; Zu, Y. Detecting Circulating Tumor Cells: Current Challenges and New Trends. Theranostics 2013, 3, 377–394. [Google Scholar] [CrossRef] [PubMed]
- Mamdouhi, T.; Twomey, J.D.; McSweeney, K.M.; Zhang, B. Fugitives on the Run: Circulating Tumor Cells (CTCs) in Metastatic Diseases. Cancer Metastasis Rev. 2019, 38, 297–305. [Google Scholar] [CrossRef] [PubMed]
- Evans, M.D.; Barton, K.; Pritchard, G.A.; Williams, E.J.; Karandikar, S.S. Plasma Magnesium Should Be Monitored Perioperatively in Patients Undergoing Colorectal Resection. Color. Dis. 2009, 11, 613–618. [Google Scholar] [CrossRef]
- Goni, E.; Venerito, M.; Schulz, C.; Weigt, J.; Langner, C.; Link, A.; Malfertheiner, P. Influence of Laboratory-Related and Endoscopy-Related Factors on the Assessment of Serum Pepsinogens and Gastrin-17. Eur. J. Gastroenterol. Hepatol. 2017, 29, 1340–1345. [Google Scholar] [CrossRef] [PubMed]
- Holte, K.; Nielsen, K.G.; Madsen, J.L.; Kehlet, H. Physiologic Effects of Bowel Preparation. Dis. Colon Rectum 2004, 47, 1397–1402. [Google Scholar] [CrossRef]
- Ogino, N.; Aridome, G.; Oshima, J.; Shibata, M.; Watanabe, T.; Kume, K.; Yoshikawa, I.; Harada, M. Serum Albumin Concentrations Predict Hypovolaemia Caused by Polyethylene Glycol Plus Ascorbic Acid Prior to Colonoscopy in Elderly Patients. Drugs Aging 2016, 33, 355–363. [Google Scholar] [CrossRef]
- Turnage, R.H.; Guice, K.S.; Gannon, P.; Gross, M. The Effect of Polyethylene Glycol Gavage on Plasma Volume. J. Surg. Res. 1994, 57, 284–288. [Google Scholar] [CrossRef]
- Carter, P. Ultramicroestimation of Human Serum Albumin: Binding Cationic Dye 5,5′dibromo-o Cresolsulfonphthalein. Microchem. J. 1970, 15, 531–539. [Google Scholar] [CrossRef]
- Lasky, F.D.; Li, Z.M.C.; Shaver, D.D.; Savory, J.; Savory, M.G.; Willey, D.G.; Mikolak, B.J.; Lantry, C.L. Evaluation of a Bromocresol Purple Method for the Determination of Albumin Adapted to the DuPont Aca Discrete Clinical Analyzer. Clin. Biochem. 1985, 18, 290–296. [Google Scholar] [CrossRef]
- Garbett, N.C.; Brock, G.N.; Chaires, J.B.; Mekmaysy, C.S.; DeLeeuw, L.; Sivils, K.L.; Harley, J.B.; Rovin, B.H.; Kulasekera, K.B.; Jarjour, W.N. Characterization and Classification of Lupus Patients Based on Plasma Thermograms. PLoS ONE 2017, 12, e0186398. [Google Scholar] [CrossRef] [PubMed]
- Morcuende-Ventura, V.; Hermoso-Durán, S.; Abian-Franco, N.; Pazo-Cid, R.; Ojeda, J.L.; Vega, S.; Sanchez-Gracia, O.; Velazquez-Campoy, A.; Sierra, T.; Abian, O. Fluorescence Liquid Biopsy for Cancer Detection Is Improved by Using Cationic Dendronized Hyperbranched Polymer. Int. J. Mol. Sci. 2021, 22, 6501. [Google Scholar] [CrossRef] [PubMed]






Disclaimer/Publisher’s Note: The statements, opinions and data contained in all publications are solely those of the individual author(s) and contributor(s) and not of MDPI and/or the editor(s). MDPI and/or the editor(s) disclaim responsibility for any injury to people or property resulting from any ideas, methods, instructions or products referred to in the content. |
© 2023 by the authors. Licensee MDPI, Basel, Switzerland. This article is an open access article distributed under the terms and conditions of the Creative Commons Attribution (CC BY) license (https://creativecommons.org/licenses/by/4.0/).
Share and Cite
Hermoso-Durán, S.; Domper-Arnal, M.J.; Roncales, P.; Vega, S.; Sanchez-Gracia, O.; Ojeda, J.L.; Lanas, Á.; Velazquez-Campoy, A.; Abian, O. Bowel Preparation for Colonoscopy Changes Serum Composition as Detected by Thermal Liquid Biopsy and Fluorescence Spectroscopy. Cancers 2023, 15, 1952. https://doi.org/10.3390/cancers15071952
Hermoso-Durán S, Domper-Arnal MJ, Roncales P, Vega S, Sanchez-Gracia O, Ojeda JL, Lanas Á, Velazquez-Campoy A, Abian O. Bowel Preparation for Colonoscopy Changes Serum Composition as Detected by Thermal Liquid Biopsy and Fluorescence Spectroscopy. Cancers. 2023; 15(7):1952. https://doi.org/10.3390/cancers15071952
Chicago/Turabian StyleHermoso-Durán, Sonia, María José Domper-Arnal, Pilar Roncales, Sonia Vega, Oscar Sanchez-Gracia, Jorge L. Ojeda, Ángel Lanas, Adrian Velazquez-Campoy, and Olga Abian. 2023. "Bowel Preparation for Colonoscopy Changes Serum Composition as Detected by Thermal Liquid Biopsy and Fluorescence Spectroscopy" Cancers 15, no. 7: 1952. https://doi.org/10.3390/cancers15071952
APA StyleHermoso-Durán, S., Domper-Arnal, M. J., Roncales, P., Vega, S., Sanchez-Gracia, O., Ojeda, J. L., Lanas, Á., Velazquez-Campoy, A., & Abian, O. (2023). Bowel Preparation for Colonoscopy Changes Serum Composition as Detected by Thermal Liquid Biopsy and Fluorescence Spectroscopy. Cancers, 15(7), 1952. https://doi.org/10.3390/cancers15071952

