Elevated Baseline Neutrophil Count Correlates with Worse Outcomes in Patients with Muscle-Invasive Bladder Cancer Treated with Chemoradiation
Abstract
Simple Summary
Abstract
1. Introduction
2. Materials and Methods
2.1. Study Population
2.2. Covariates and Outcomes
2.3. Statistical Analysis
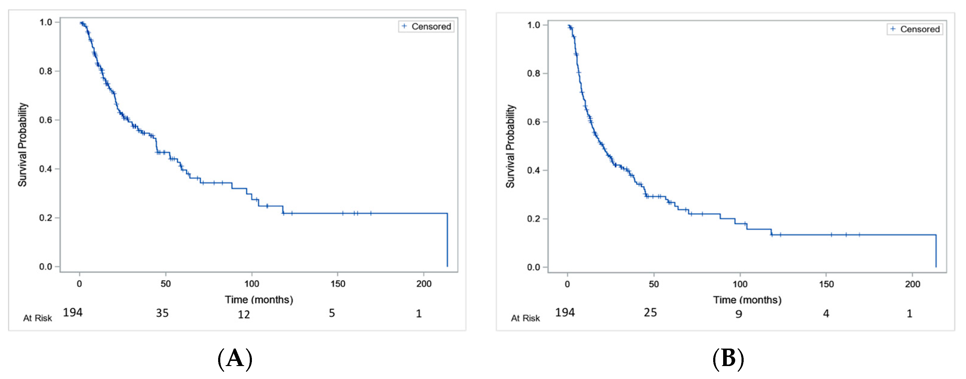
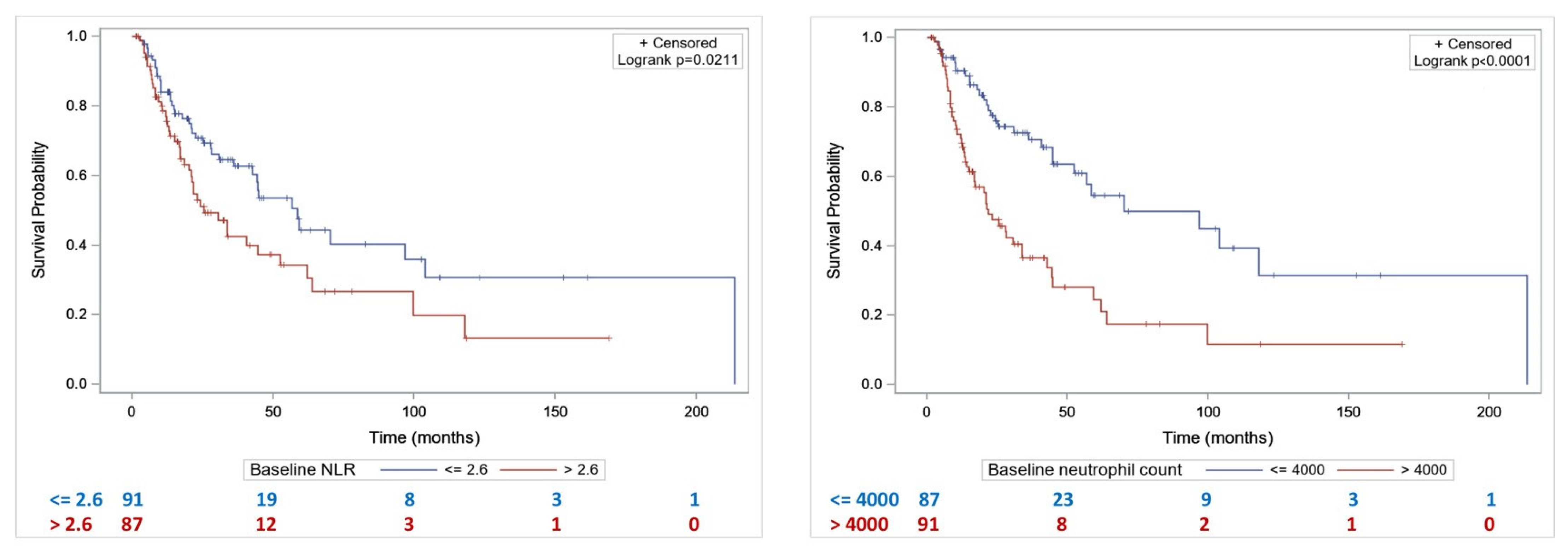
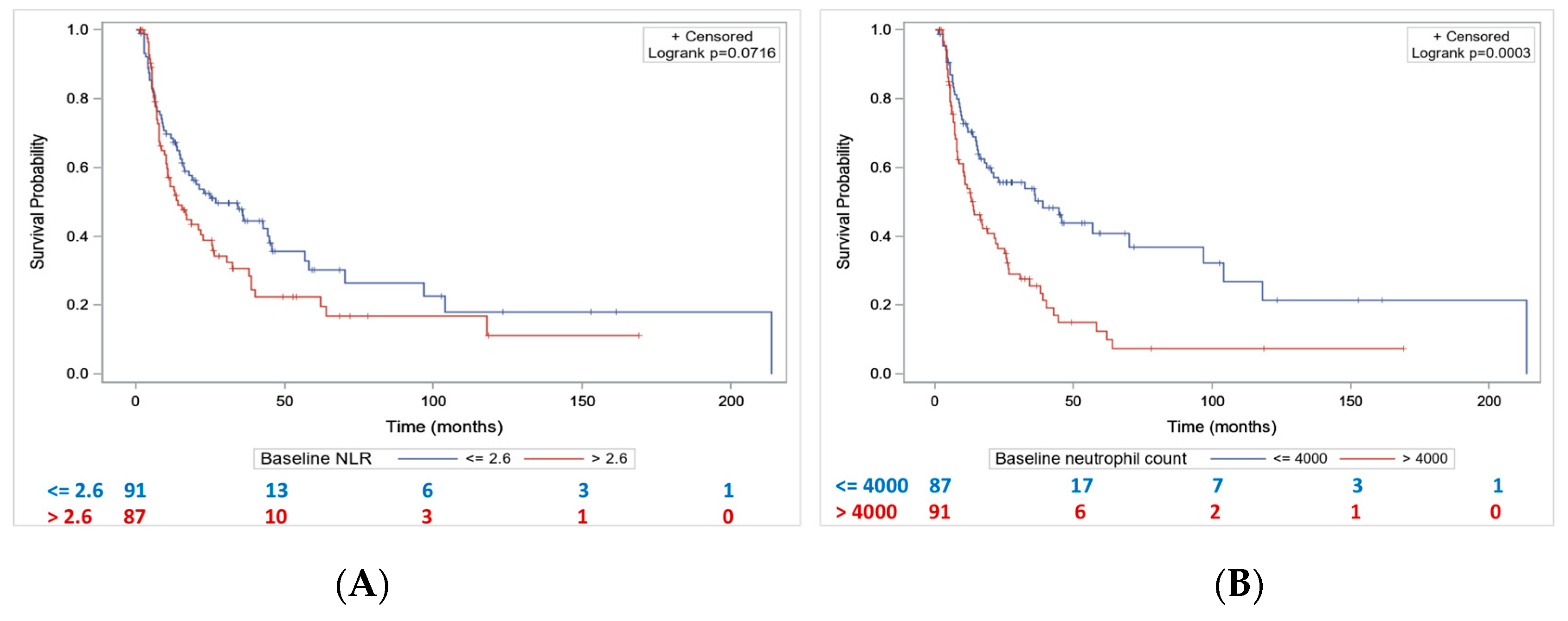
3. Results
3.1. Patients’ Characteristics
3.2. Association between NLR, PNN, and Outcomes
4. Discussion
5. Conclusions
Supplementary Materials
Author Contributions
Funding
Institutional Review Board Statement
Informed Consent Statement
Data Availability Statement
Acknowledgments
Conflicts of Interest
References
- Antoni, S.; Ferlay, J.; Soerjomataram, I.; Znaor, A.; Jemal, A.; Bray, F. Bladder Cancer Incidence and Mortality: A Global Overview and Recent Trends. Eur. Urol. 2017, 71, 96–108. [Google Scholar] [CrossRef] [PubMed]
- Boustani, J.; Bertaut, A.; Galsky, M.D.; Rosenberg, J.E.; Bellmunt, J.; Powles, T.; Recine, F.; Harshman, L.C.; Chowdhury, S.; Niegisch, G.; et al. Radical cystectomy or bladder preservation with radiochemotherapy in elderly patients with muscle-invasive bladder cancer: Retrospective International Study of Cancers of the Urothelial Tract (RISC) Investigators. Acta Oncol. 2017, 57, 491–497. [Google Scholar] [CrossRef] [PubMed]
- Witjes, J.A.; Bruins, H.M.; Cathomas, R.; Compérat, E.M.; Cowan, N.C.; Gakis, G.; Hernández, V.; Espinós, E.L.; Lorch, A.; Neuzillet, Y.; et al. European Association of Urology Guidelines on Muscle-invasive and Metastatic Bladder Cancer: Summary of the 2020 Guidelines. Eur. Urol. 2020, 79, 82–104. [Google Scholar] [CrossRef] [PubMed]
- Stein, J.P.; Skinner, D.G. Radical cystectomy for invasive bladder cancer: Long-term results of a standard procedure. World J. Urol. 2006, 24, 296–304. [Google Scholar] [CrossRef]
- George, L.; Bladou, F.; Bardou, V.J.; Gravis, G.; Tallet, A.; Alzieu, C.; Serment, G.; Salem, N. Clinical outcome in patients with locally advanced bladder carcinoma treated with conservative multimodality therapy. Urology 2004, 64, 488–493. [Google Scholar] [CrossRef]
- Sabaa, M.A.; El-Gamal, O.M.; Abo-Elenen, M.; Khanam, A. Combined modality treatment with bladder preservation for muscle invasive bladder cancer. Urol. Oncol. Semin. Orig. Investig. 2010, 28, 14–20. [Google Scholar] [CrossRef]
- Masson, E. Facteurs Pronostiques de Survie des Carcinomes Urothéliaux Infiltrant le Muscle Vésical. EM-Consulte. Available online: https://www.em-consulte.com/article/1120558/facteurs-pronostiques-de-survie-des-carcinomes-uro (accessed on 7 March 2023).
- Colotta, F.; Allavena, P.; Sica, A.; Garlanda, C.; Mantovani, A. Cancer-related inflammation, the seventh hallmark of cancer: Links to genetic instability. Carcinogenesis 2009, 30, 1073–1081. [Google Scholar] [CrossRef]
- Coussens, L.M.; Werb, Z. Inflammation and cancer. Nature 2002, 420, 860–867. [Google Scholar] [CrossRef]
- Formica, V.; Luccchetti, J.; Cunningham, D.; Smyth, E.C.; Ferroni, P.; Nardecchia, A.; Tesauro, M.; Cereda, V.; Guadagni, F.; Roselli, M. Systemic inflammation, as measured by the neutrophil/lymphocyte ratio, may have differential prognostic impact before and during treatment with fluorouracil, irinotecan and bevacizumab in metastatic colorectal cancer patients. Med. Oncol. 2014, 31, 166. [Google Scholar] [CrossRef]
- Vartolomei, M.D.; Porav-Hodade, D.; Ferro, M.; Mathieu, R.; Abufaraj, M.; Foerster, B.; Kimura, S.; Shariat, S.F. Prognostic role of pretreatment neutrophil-to-lymphocyte ratio (NLR) in patients with non–muscle-invasive bladder cancer (NMIBC): A systematic review and meta-analysis. Urol. Oncol. Semin. Orig. Investig. 2018, 36, 389–399. [Google Scholar] [CrossRef]
- Marchioni, M.; Primiceri, G.; Ingrosso, M.; Filograna, R.; Castellan, P.; De Francesco, P.; Schips, L. The Clinical Use of the Neutrophil to Lymphocyte Ratio (NLR) in Urothelial Cancer: A Systematic Review. Clin. Genitourin. Cancer 2016, 14, 473–484. [Google Scholar] [CrossRef]
- Tang, X.; Du, P.; Yang, Y. The clinical use of neutrophil-to-lymphocyte ratio in bladder cancer patients: A systematic review and meta-analysis. Int. J. Clin. Oncol. 2017, 22, 817–825. [Google Scholar] [CrossRef]
- Uribe-Querol, E.; Rosales, C. Neutrophils in Cancer: Two Sides of the Same Coin. J. Immunol. Res. 2015, 2015, 983698. [Google Scholar] [CrossRef] [PubMed]
- Yoshida, S.; Saito, K.; Koga, F.; Yokoyama, M.; Kageyama, Y.; Masuda, H.; Kobayashi, T.; Kawakami, S.; Kihara, K. C-reactive protein level predicts prognosis in patients with muscle-invasive bladder cancer treated with chemoradiotherapy. BJU Int. 2008, 101, 978–981. [Google Scholar] [CrossRef] [PubMed]
- Wu, S.; Zhao, X.; Wang, Y.; Zhong, Z.; Zhang, L.; Cao, J.; Ai, K.; Xu, R. Pretreatment Neutrophil-Lymphocyte Ratio as a Predictor in Bladder Cancer and Metastatic or Unresectable Urothelial Carcinoma Patients: A Pooled Analysis of Comparative Studies. Cell. Physiol. Biochem. 2018, 46, 1352–1364. [Google Scholar] [CrossRef] [PubMed]
- Kim, H.S.; Ku, J.H. Systemic Inflammatory Response Based on Neutrophil-to-Lymphocyte Ratio as a Prognostic Marker in Bladder Cancer. Dis. Markers 2016, 2016, 8345286. [Google Scholar] [CrossRef]
- Templeton, A.J.; Mcnamara, M.G.; Šeruga, B.; Vera-Badillo, F.E.; Aneja, P.; Ocaña, A.; Leibowitz-Amit, R.; Sonpavde, G.; Knox, J.J.; Tran, B.; et al. Prognostic Role of Neutrophil-to-Lymphocyte Ratio in Solid Tumors: A Systematic Review and Meta-Analysis. J. Natl. Cancer Inst. 2014, 106, dju124. [Google Scholar] [CrossRef]
- Wu, C.-T.; Huang, Y.-C.; Chen, W.-C.; Chen, M.-F. The Significance of Neutrophil-to-Lymphocyte Ratio and Combined Chemoradiotherapy in Patients Undergoing Bladder Preservation Therapy for Muscle-Invasive Bladder Cancer. Cancer Manag. Res. 2020, 12, 13125–13135. [Google Scholar] [CrossRef]
- Cupp, M.A.; Cariolou, M.; Tzoulaki, I.; Aune, D.; Evangelou, E.; Berlanga-Taylor, A.J. Neutrophil to lymphocyte ratio and cancer prognosis: An umbrella review of systematic reviews and meta-analyses of observational studies. BMC Med. 2020, 18, 360. [Google Scholar] [CrossRef]
- Hurmuz, P.; Ozyigit, G.; Kilickap, S.; Esen, C.S.B.; Akdogan, B.; Ozen, H.; Akyol, F. Gemcitabine based trimodality treatment in patients with muscle invasive bladder cancer: May neutrophil lymphocyte and platelet lymphocyte ratios predict outcomes? Urol. Oncol. Semin. Orig. Investig. 2020, 39, 368.e19. [Google Scholar] [CrossRef]
- Ojerholm, E.; Smith, A.; Hwang, W.-T.; Baumann, B.; Tucker, K.N.; Lerner, S.P.; Mamtani, R.; Boursi, B.; Christodouleas, J.P. Neutrophil-to-lymphocyte ratio as a bladder cancer biomarker: Assessing prognostic and predictive value in SWOG 8710. Cancer 2016, 123, 794–801. [Google Scholar] [CrossRef] [PubMed]
- Kühl, P.G.; Schönig, G.; Schweer, H.; Seyberth, H.W. Increased Renal Biosynthesis of Prostaglandin E2 and Thromboxane B2 in Human Congenital Obstructive Uropathy. Pediatr. Res. 1990, 27, 103–107. [Google Scholar] [CrossRef] [PubMed]
- Carpentier, X.; Traxer, O.; Lechevallier, E.; Saussine, C. Physiopathology of acute renal colic. Prog. Urol. 2008, 18, 844–848. [Google Scholar] [CrossRef] [PubMed]
- Kawahara, K.; Hohjoh, H.; Inazumi, T.; Tsuchiya, S.; Sugimoto, Y. Prostaglandin E2-induced inflammation: Relevance of prostaglandin E receptors. Biochim. Biophys. Acta (BBA)-Mol. Cell Biol. Lipids 2014, 1851, 414–421. [Google Scholar] [CrossRef] [PubMed]
- Kalinski, P. Regulation of Immune Responses by Prostaglandin E2. J. Immunol. 2012, 188, 21–28. [Google Scholar] [CrossRef]
- Shen, J.; Chen, Z.; Fan, M.; Lu, H.; Zhuang, Q.; He, X. Prognostic value of pretreatment neutrophil count in metastatic renal cell carcinoma: A systematic review and meta-analysis. Cancer Manag. Res. 2019, 11, 5365–5374. [Google Scholar] [CrossRef]
- Schmidt, H.; Suciu, S.; Punt, C.J.; Gore, M.; Kruit, W.; Patel, P.; Lienard, D.; von der Maase, H.; Eggermont, A.M.; Keilholz, U. Pretreatment Levels of Peripheral Neutrophils and Leukocytes As Independent Predictors of Overall Survival in Patients with American Joint Committee on Cancer Stage IV Melanoma: Results of the EORTC 18951 Biochemotherapy Trial. J. Clin. Oncol. 2007, 25, 1562–1569. [Google Scholar] [CrossRef]
- Takahashi, R.; Mabuchi, S.; Kawano, M.; Sasano, T.; Matsumoto, Y.; Kuroda, H.; Hisamatsu, T.; Kozasa, K.; Sawada, K.; Hamasaki, T.; et al. Prognostic significance of systemic neutrophil and leukocyte alterations in surgically treated endometrial cancer patients: A monoinstitutional study. Gynecol. Oncol. 2015, 137, 112–118. [Google Scholar] [CrossRef]
- Chen, Z.; Chen, W.; Wang, J.; Zhu, M.; Zhuang, Z. Pretreated baseline neutrophil count and chemotherapy-induced neutropenia may be conveniently available as prognostic biomarkers in advanced gastric cancer. Intern. Med. J. 2015, 45, 854–859. [Google Scholar] [CrossRef]
- Welch, D.R.; Schissel, D.J.; Howrey, R.P.; A Aeed, P. Tumor-elicited polymorphonuclear cells, in contrast to “normal” circulating polymorphonuclear cells, stimulate invasive and metastatic potentials of rat mammary adenocarcinoma cells. Proc. Natl. Acad. Sci. USA 1989, 86, 5859–5863. [Google Scholar] [CrossRef]
- Psaila, B.; Lyden, D. The metastatic niche: Adapting the foreign soil. Nat. Rev. Cancer 2009, 9, 285–293. [Google Scholar] [CrossRef] [PubMed]
- Flaig, T.W.; Spiess, P.E.; Abern, M.; Agarwal, N.; Bangs, R.; Boorjian, S.A.; Buyyounouski, M.K.; Chan, K.; Chang, S.; Friedlander, T.; et al. NCCN Guidelines® Insights: Bladder Cancer, Version 2.2022. J. Natl. Compr. Cancer Netw. 2022, 20, 866–878. [Google Scholar] [CrossRef] [PubMed]
- Mak, R.H.; Hunt, D.; Shipley, W.U.; Efstathiou, J.A.; Tester, W.J.; Hagan, M.P.; Kaufman, D.S.; Heney, N.M.; Zietman, A.L. Long-Term Outcomes in Patients with Muscle-Invasive Bladder Cancer After Selective Bladder-Preserving Combined-Modality Therapy: A Pooled Analysis of Radiation Therapy Oncology Group Protocols 8802, 8903, 9506, 9706, 9906, and 0233. J. Clin. Oncol. 2014, 32, 3801–3809. [Google Scholar] [CrossRef] [PubMed]
- Shipley, W.; Kaufman, D.; Zehr, E.; Heney, N.; Lane, S.; Thakral, H.; Althausen, A.; Zietman, A. Selective bladder preservation by combined modality protocol treatment: Long-term outcomes of 190 patients with invasive bladder cancer. Urology 2002, 60, 62–67; discussion 67–68. [Google Scholar] [CrossRef]
- Rödel, C.; Grabenbauer, G.G.; Kühn, R.; Papadopoulos, T.; Dunst, J.; Meyer, M.; Schrott, K.M.; Sauer, R. Combined-Modality Treatment and Selective Organ Preservation in Invasive Bladder Cancer: Long-Term Results. J. Clin. Oncol. 2002, 20, 3061–3071. [Google Scholar] [CrossRef]
- Efstathiou, J.A.; Spiegel, D.Y.; Shipley, W.U.; Heney, N.M.; Kaufman, D.S.; Niemierko, A.; Coen, J.J.; Skowronski, R.Y.; Paly, J.J.; McGovern, F.J.; et al. Long-Term Outcomes of Selective Bladder Preservation by Combined-Modality Therapy for Invasive Bladder Cancer: The MGH Experience. Eur. Urol. 2012, 61, 705–711. [Google Scholar] [CrossRef]
- Kimura, T.; Ishikawa, H.; Kojima, T.; Kandori, S.; Kawahara, T.; Sekino, Y.; Sakurai, H.; Nishiyama, H. Bladder preservation therapy for muscle invasive bladder cancer: The past, present and future. Jpn. J. Clin. Oncol. 2020, 50, 1097–1107. [Google Scholar] [CrossRef]
- Welty, C.J.; Sanford, T.H.; Wright, J.L.; Carroll, P.R.; Cooperberg, M.R.; Meng, M.V.; Porten, S.P. The Cancer of the Bladder Risk Assessment (COBRA) score: Estimating mortality after radical cystectomy. Cancer 2017, 123, 4574–4582. [Google Scholar] [CrossRef]
- Yang, R.; Zhang, W.; Shang, X.; Chen, H.; Mu, X.; Zhang, Y.; Zheng, Q.; Wang, X.; Liu, Y. Neutrophil-related genes predict prognosis and response to immune checkpoint inhibitors in bladder cancer. Front. Pharmacol. 2022, 13, 1013672. [Google Scholar] [CrossRef]
- Deutsch, E.; Chargari, C.; Galluzzi, L.; Kroemer, G. Optimising efficacy and reducing toxicity of anticancer radioimmunotherapy. Lancet Oncol. 2019, 20, e452–e463. [Google Scholar] [CrossRef]
- Tang, C.; Liao, Z.; Gomez, D.; Levy, L.; Zhuang, Y.; Gebremichael, R.A.; Hong, D.S.; Komaki, R.; Welsh, J.W. Lymphopenia Association with Gross Tumor Volume and Lung V5 and Its Effects on Non-Small Cell Lung Cancer Patient Outcomes. Int. J. Radiat. Oncol. 2014, 89, 1084–1091. [Google Scholar] [CrossRef] [PubMed]



| Follow-Up (Months) | |
|---|---|
| Median [range] | 37.5 [1.0–213.5] |
| Center, n (%) | |
| Besançon | 111 (57%) |
| Dijon | 83 (43%) |
| Gender, n (%) | |
| Men | 144 (74%) |
| Women | 50 (26%) |
| Age at diagnosis | |
| Mean (SD) | 77.3 (7.1) |
| Median [range] | 79.0 [55.0–94.0] |
| Charlson score, n (%) | |
| <5 | 17 (9%) |
| ≥5 | 177 (91%) |
| Hydronephrosis, n (%) | |
| No | 128 (68%) |
| Yes | 59 (32%) |
| Missing | 7 |
| Histology, n (%) | |
| Urothelial carcinoma | 181 (93%) |
| Other | 13 (7%) |
| CIS associated, n (%) | |
| No | 167 (88%) |
| Yes | 22 (12%) |
| Missing | 5 |
| T stage, n (%) | |
| T2 | 165 (85%) |
| T3–T4 | 38 (15%) |
| Missing | 1 |
| N stage, n (%) | |
| N0 | 170 (89%) |
| N+ | 22 (11%) |
| Missing | 2 |
| Tumor size, n (%) | |
| ≤5 cm | 69 (57%) |
| >5 cm | 51 (43%) |
| Missing | 74 |
| Unifocal/Multifocal, n (%) | |
| Unifocal | 122 (69%) |
| Multifocal | 56 (31%) |
| Missing | 16 |
| Complete TURBT, n (%) | |
| No | 40 (28%) |
| Yes | 102 (72%) |
| Missing | 52 |
| Neoadjuvant chemotherapy, n (%) | |
| No | 170 (88%) |
| Yes | 24 (12%) |
| Kidney failure, n (%) | |
| No | 113 (60%) |
| Yes | 77 (40%) |
| Missing | 4 |
| CRT choice, n (%) | |
| Surgery refusal | 59 (31%) |
| Surgical contraindication | 129 (69%) |
| Missing | 6 |
| Baseline neutrophil count, n (%) | |
| Median [range] | 4000.0 [1500.0–16,858.0] |
| Baseline lymphocyte count, n (%) | |
| Median [range] | 1625.0 [190.0–3700.0] |
| Baseline NLR, n (%) | |
| Median [range] | 2.6 [0.6–19.2] |
| Baseline NLR ≤ 2.6 | Baseline NLR > 2.6 | p-Value | Baseline PNN ≤ 4000 | Baseline PNN > 4000 | p-Value | |
|---|---|---|---|---|---|---|
| Follow-up (months) | 0.23 | 0.48 | ||||
| Median [range] | 41.3 [1.6–213.5] | 32.5 [1.5–169.0] | 42.4 [1.6–213.5] | 36.6 [1.5–169.0] | ||
| Center, n (%) | 0.24 | 0.53 | ||||
| Besançon | 54 (59%) | 44 (50.6%) | 50 (57.5%) | 48 (52.7%) | ||
| Dijon | 37 (41%) | 43 (49.4%) | 37 (42.5%) | 43 (47.3%) | ||
| Gender, n (%) | 0.50 | 0.04 | ||||
| Male | 65 (72%) | 66 (76%) | 58 (66.7%) | 73 (80.2%) | ||
| Female | 26 (28%) | 21 (24%) | 29 (33.3%) | 18 (19.8%) | ||
| Age at diagnosis | 0.36 | 0.89 | ||||
| Mean (SD) | 77.7 (7.3) | 77.2 (6.9) | 77.2 (7.5) | 77.7 (6.7) | ||
| Median [range] | 79.0 [58.0–94.0] | 78.0 [55.0–93.0] | 79.0 [58.0–94.0] | 79.0 [56.0–93.0] | ||
| Charlson score, n (%) | 0.14 | 0.10 | ||||
| <5 | 11 (12%) | 5 (6%) | 11 (13%) | 5 (5.5%) | ||
| ≥5 | 80 (88%) | 82 (94%) | 76 (87%) | 86 (94.5%) | ||
| Hydronephrosis, n (%) | 0.04 | 0.19 | ||||
| No | 66 (75%) | 50 (60%) | 61 (73%) | 55 (63%) | ||
| Yes | 22 (25%) | 33 (40%) | 23 (27%) | 32 (37%) | ||
| Missing | 3 | 4 | 3 | 4 | ||
| Histology, n (%) | 0.14 | 0.10 | ||||
| Urothelial carcinoma | 83 (91%) | 84 (97%) | 79 (91%) | 88 (97%) | ||
| Other | 8 (9%) | 3 (3%) | 8 (9%) | 3 (3%) | ||
| CIS associated, n (%) | 0.59 | 0.13 | ||||
| No | 78 (89%) | 73 (86%) | 70 (83%) | 81 (91%) | ||
| Yes | 10 (11%) | 12 (14%) | 14 (17%) | 8 (9%) | ||
| Missing | 3 | 2 | 3 | 2 | ||
| T stage, n (%) | 0.60 | 0.49 | ||||
| T2 | 78 (87%) | 73 (84%) | 76 (87%) | 76 (83.5%) | ||
| T3–T4 | 12 (13%) | 14 (16%) | 11 (13%) | 15 (16.5%) | ||
| Missing | 1 | 0 | 1 | 0 | ||
| N stage, n (%) | 0.77 | 0.19 | ||||
| N0 | 80 (90%) | 77 (89%) | 75 (86%) | 83 (92%) | ||
| N+ | 9 (10%) | 10 (11%) | 12 (14%) | 7 (8%) | ||
| Missing | 2 | 0 | 1 | 1 | ||
| Tumor size, n (%) | 0.38 | 0.24 | ||||
| ≤5 cm | 35 (59%) | 26 (51%) | 33 (61%) | 28 (50%) | ||
| >5 cm | 24 (41%) | 25 (49%) | 21 (39%) | 28 (50%) | ||
| Missing | 32 | 36 | 33 | 35 | ||
| Unifocal/Multifocal, n (%) | 0.91 | 0.37 | ||||
| Unifocal | 56 (68%) | 54 (67%) | 57 (70%) | 53 (64%) | ||
| Multifocal | 27 (32%) | 27 (33%) | 24 (30%) | 30 (36%) | ||
| Missing | 8 | 6 | 6 | 8 | ||
| Complete TURBT, n (%) | 0.33 | 0.02 | ||||
| No | 18 (26%) | 20 (34%) | 12 (20%) | 26 (39%) | ||
| Yes | 51 (74%) | 39 (66%) | 49 (80%) | 41 (61%) | ||
| Missing | 22 | 28 | 26 | 24 | ||
| Neoadjuvant chemotherapy, n (%) | 0.13 | 0.20 | ||||
| No | 77 (85%) | 80 (92%) | 74 (85%) | 83 (91%) | ||
| Yes | 14 (15%) | 7 (8%) | 13 (15%) | 8 (9%) | ||
| Kidney failure, n (%) | 0.69 | 0.01 | ||||
| No | 55 (60%) | 50 (57%) | 60 (69.0%) | 45 (49.5%) | ||
| Yes | 36 (40%) | 37 (43%) | 27 (31.0%) | 46 (50.5%) | ||
| CRT choice, n (%) | 0.12 | 0.26 | ||||
| Surgery refusal | 25 (28%) | 33 (39%) | 32 (38%) | 26 (29.5%) | ||
| Surgical contraindication | 64 (72%) | 51 (61%) | 53 (62%) | 62 (70.5%) | ||
| Missing | 2 | 3 | 2 | 3 | ||
| RT technique, n (%) | 0.05 | 0.29 | ||||
| 2D/3D | 52 (58%) | 36 (43%) | 40 (47%) | 48 (55%) | ||
| IMRT/VMAT | 37 (42%) | 47 (57%) | 45 (53%) | 39 (45%) | ||
| Missing | 2 | 4 | 2 | 4 | ||
| Local recurrence, n (%) | 0.84 | 0.01 | ||||
| No | 70 (84%) | 59 (83%) | 71 (91%) | 58 (76%) | ||
| Yes | 13 (16%) | 12 (17%) | 7 (9%) | 18 (24%) | ||
| Missing | 8 | 16 | 9 | 15 | ||
| Metastatic recurrence, n (%) | 0.28 | 0.19 | ||||
| No | 52 (67%) | 40 (58%) | 52 (67.5%) | 40 (57%) | ||
| Yes | 26 (33%) | 29 (42%) | 25 (32.5%) | 30 (43%) | ||
| Missing | 13 | 18 | 10 | 21 | ||
| Maximum acute toxicity, n (%) | 0.74 | 0.86 | ||||
| G0 | 13 (14%) | 175(18%) | 165 (17%) | 13 (15%) | ||
| G1–2 | 72 (79%) | 66 (78%) | 66 (77%) | 79 (80%) | ||
| G3 | 6 (7%) | 4 (5%) | 5 (6%) | 5 (5%) | ||
| Missing | 0 | 2 | 1 | 1 | ||
| Acute hematological toxicity, n (%) | 0.09 | 0.35 | ||||
| G0 | 61 (68%) | 66 (78%) | 58 (68%) | 69 (77%) | ||
| G1–2 | 25 (28%) | 19 (22%) | 24 (28%) | 20 (22%) | ||
| G3 | 4 (4%) | 0 (0%) | 3 (3%) | 1 (1%) | ||
| Missing | 1 | 2 | 2 | 1 | ||
| Acute renal toxicity, n (%) | 0.91 | 0.09 | ||||
| G0 | 82 (90%) | 77 (91%) | 81 (94%) | 78 (87%) | ||
| G1 | 9 (10%) | 8 (9%) | 5 (6%) | 12 (13%) | ||
| Missing | 0 | 2 | 1 | 1 | ||
| Acute urinary toxicity, n (%) | 0.51 | 0.30 | ||||
| G0 | 35 (39%) | 32 (38%) | 36 (42%) | 31 (34%) | ||
| G1–2 | 56 (61%) | 51 (60%) | 50 (58%) | 57 (63%) | ||
| G3 | 0 (0%) | 2 (2%) | 0 (0%) | 2 (2%) | ||
| Missing | 0 | 2 | 1 | 1 | ||
| Acute gastrointestinal toxicity, n (%) | 0.87 | 0.87 | ||||
| G0 | 37 (41%) | 38 (45%) | 35 (41%) | 40 (44%) | ||
| G1–2 | 52 (57%) | 45 (53%) | 49 (57%) | 48 (54%) | ||
| G3 | 2 (2%) | 2 (2%) | 2 (2%) | 2 (2%) | ||
| Missing | 0 | 2 | 1 | 1 | ||
| Maximum late toxicity, n (%) | 0.80 | 0.90 | ||||
| G0 | 45 (61%) | 44 (63%) | 46 (61%) | 43 (62%) | ||
| G1–2 | 29 (39%) | 26 (37%) | 29 (38%) | 26 (38%) | ||
| Missing | 17 | 17 | 12 | 22 | ||
| Late urinary toxicity, n (%) | 0.78 | 0.84 | ||||
| G0 | 47 (63.5%) | 46 (66%) | 49 (65%) | 44 (64%) | ||
| G1–2 | 27 (36.5%) | 24 (34%) | 26 (35%) | 25 (36%) | ||
| Missing | 17 | 17 | 12 | 22 | ||
| Late gastrointestinal toxicity, n (%) | 0.91 | 0.13 | ||||
| G0 | 67 (90.5%) | 63 (90%) | 65 (87%) | 65 (94%) | ||
| G1 | 7 (9.5%) | 7 (10%) | 10 (13%) | 4 (6%) | ||
| Missing | 17 | 17 | 12 | 22 |
| HR | 95% CI | p-Value | |
|---|---|---|---|
| Univariate Cox Model | |||
| Age at diagnosis | 0.60 | ||
| ≥80 years vs. <80 years | 0.89 | [0.58–1.37] | |
| CIS associated | 0.21 | ||
| Yes vs. no | 0.59 | [0.26–1.35] | |
| T | 0.003 | ||
| T3–T4 vs. T2 | 2.17 | [1.30–3.60] | |
| N | 0.77 | ||
| N1–3 vs. N0 | 0.90 | [0.47–1.75] | |
| Hydronephrosis | 0.04 | ||
| Yes vs. no | 1.60 | [1.02–2.50] | |
| Complete TURBT | 0.49 | ||
| Yes vs. no | 0.82 | [0.47–1.43] | |
| Multifocal/unifocal | 0.10 | ||
| Multifocal vs. unifocal | 1.46 | [0.93–2.29] | |
| Baseline neutrophil count | <0.001 | ||
| >4000 vs. ≤4000 | 2.63 | [1.68–4.11] | |
| Baseline NLR | 0.02 | ||
| >2.6 vs. ≤2.6 | 1.65 | [1.07–2.54] | |
| Multivariate Cox analysis with the NLR model (n = 123) | |||
| T | 0.01 | ||
| T3–T4 vs. T2 | 2.49 | [1.23–5.03] | |
| N | 0.37 | ||
| N1–3 vs. N0 | 1.59 | [0.57–4.43] | |
| Hydronephrosis | 0.65 | ||
| Yes vs. no | 1.15 | [0.64–2.06] | |
| CIS associated | 0.29 | ||
| Yes vs. no | 0.53 | [0.16–1.72] | |
| Complete TURBT | 0.09 | ||
| Yes vs. no | 0.58 | [0.30–1.09] | |
| Baseline NLR | 0.15 | ||
| >2.6 vs. ≤2.6 | 1.50 | [0.87–2.57] | |
| Age at diagnosis | 0.84 | ||
| ≥80 years vs. <80 years | 1.06 | [0.59–1.90] | |
| Multivariate Cox analysis with the neutrophil model (n = 123) | |||
| T | 0.002 | ||
| T3–T4 vs. T2 | 3.12 | [1.52–6.41] | |
| N | 0.94 | ||
| N1–3 vs. N0 | 0.96 | [0.33–2.79] | |
| Hydronephrosis | 0.93 | ||
| Yes vs. no | 0.98 | [0.54–1.76] | |
| CIS associated | 0.55 | ||
| Yes vs. no | 0.69 | [0.21–2.29] | |
| Complete TURBT | 0.02 | ||
| Yes vs. no | 0.47 | [0.25–0.90] | |
| Baseline neutrophil count | <0.001 | ||
| >4000 vs. ≤4000 | 3.32 | [1.81–6.06] | |
| Age at diagnosis | 0.51 | ||
| ≥80 years vs. <80 years | 1.22 | [0.69–2.15] | |
| HR | 95% CI | p-Value | |
|---|---|---|---|
| Univariate Cox model | |||
| Age at diagnosis | 0.55 | ||
| ≥80 years vs. <80 years | 0.90 | [0.62–1.29] | |
| CIS associated | 0.96 | ||
| Yes vs. no | 0.98 | [0.55–1.75] | |
| T | 0.00 | ||
| T3–T4 vs. T2 | 2.08 | [1.32–3.29] | |
| N | 0.56 | ||
| N1–3 vs. N0 | 0.84 | [0.46–1.53] | |
| Hydronephrosis | 0.01 | ||
| Yes vs. no | 1.73 | [1.18–2.54] | |
| Complete TURBT | 0.83 | ||
| Yes vs. no | 0.95 | [0.60–1.50] | |
| Multifocal/unifocal | 0.12 | ||
| Multifocal vs. unifocal | 1.36 | [0.92–2.01] | |
| Baseline neutrophil count | <0.001 | ||
| >4000 vs. ≤4000 | 2.00 | [1.37–2.92] | |
| Baseline NLR | 0.07 | ||
| >2.6 vs. ≤2.6 | 1.40 | [0.97–2.03] | |
| Multivariate Cox analysis with the NLR model (n = 123) | |||
| T | 0.12 | ||
| T3–T4 vs. T2 | 1.69 | [0.88–3.26] | |
| N | 0.31 | ||
| N1–3 vs. N0 | 1.61 | [0.65–4.02] | |
| Hydronephrosis | 0.36 | ||
| Yes vs. no | 1.27 | [0.76–2.15] | |
| Complete TURBT | 0.35 | ||
| Yes vs. no | 0.78 | [0.46–1.32] | |
| CIS associated | 0.31 | ||
| Yes vs. no | 1.44 | [0.72–2.89] | |
| Baseline NLR | 0.52 | ||
| >2.6 vs. ≤2.6 | 1.17 | [0.73–1.86] | |
| Age at diagnosis | 0.96 | ||
| ≥80 years vs. <80 years | 0.99 | [0.61–1.59] | |
| Multivariate Cox analysis with the neutrophil model (n = 123) | |||
| T | 0.08 | ||
| T3–T4 vs. T2 | 1.82 | [0.94–3.51] | |
| N | 0.54 | ||
| N1–3 vs. N0 | 1.22 | [0.53–3.38] | |
| Hydronephrosis | 0.47 | ||
| Yes vs. no | 1.21 | [0.72–2.04] | |
| Complete TURBT | 0.19 | ||
| Yes vs. no | 0.70 | [0.41–1.19] | |
| CIS associated | 0.17 | ||
| Yes vs. no | 1.64 | [0.81–3.31] | |
| Baseline neutrophil count | 0.02 | ||
| >4000 vs. ≤4000 | 1.82 | [1.12–2.95] | |
| Age at diagnosis | 0.82 | ||
| ≥80 years vs. <80 years | 1.06 | [0.66–1.70] | |
Disclaimer/Publisher’s Note: The statements, opinions and data contained in all publications are solely those of the individual author(s) and contributor(s) and not of MDPI and/or the editor(s). MDPI and/or the editor(s) disclaim responsibility for any injury to people or property resulting from any ideas, methods, instructions or products referred to in the content. |
© 2023 by the authors. Licensee MDPI, Basel, Switzerland. This article is an open access article distributed under the terms and conditions of the Creative Commons Attribution (CC BY) license (https://creativecommons.org/licenses/by/4.0/).
Share and Cite
Meunier, S.; Frontczak, A.; Balssa, L.; Blanc, J.; Benhmida, S.; Pernot, M.; Quivrin, M.; Martin, E.; Hammoud, Y.; Créhange, G.; et al. Elevated Baseline Neutrophil Count Correlates with Worse Outcomes in Patients with Muscle-Invasive Bladder Cancer Treated with Chemoradiation. Cancers 2023, 15, 1886. https://doi.org/10.3390/cancers15061886
Meunier S, Frontczak A, Balssa L, Blanc J, Benhmida S, Pernot M, Quivrin M, Martin E, Hammoud Y, Créhange G, et al. Elevated Baseline Neutrophil Count Correlates with Worse Outcomes in Patients with Muscle-Invasive Bladder Cancer Treated with Chemoradiation. Cancers. 2023; 15(6):1886. https://doi.org/10.3390/cancers15061886
Chicago/Turabian StyleMeunier, Sébastien, Alexandre Frontczak, Loïc Balssa, Julie Blanc, Salim Benhmida, Mandy Pernot, Magali Quivrin, Etienne Martin, Yasser Hammoud, Gilles Créhange, and et al. 2023. "Elevated Baseline Neutrophil Count Correlates with Worse Outcomes in Patients with Muscle-Invasive Bladder Cancer Treated with Chemoradiation" Cancers 15, no. 6: 1886. https://doi.org/10.3390/cancers15061886
APA StyleMeunier, S., Frontczak, A., Balssa, L., Blanc, J., Benhmida, S., Pernot, M., Quivrin, M., Martin, E., Hammoud, Y., Créhange, G., & Boustani, J. (2023). Elevated Baseline Neutrophil Count Correlates with Worse Outcomes in Patients with Muscle-Invasive Bladder Cancer Treated with Chemoradiation. Cancers, 15(6), 1886. https://doi.org/10.3390/cancers15061886
