Support Tools in the Differential Diagnosis of Salivary Gland Tumors through Inflammatory Biomarkers and Radiomics Metrics: A Preliminary Study
Abstract
Simple Summary
Abstract
1. Introduction
2. Materials and Methods
2.1. Patient Selection
2.2. MRI Protocol
2.3. Image Processing
2.4. Statistical Analysis
2.4.1. Univariate Analysis
2.4.2. Multivariate Analysis
- Training Set: The dataset that we fed our model to learn potential underlying patterns and the relationships between them.
- Validation Set: The dataset that we used to understand our model’s performance across different model types and hyperparameter choices.
- Test Set: The dataset that we used to approximate our model’s unbiased accuracy in the wild.
3. Results
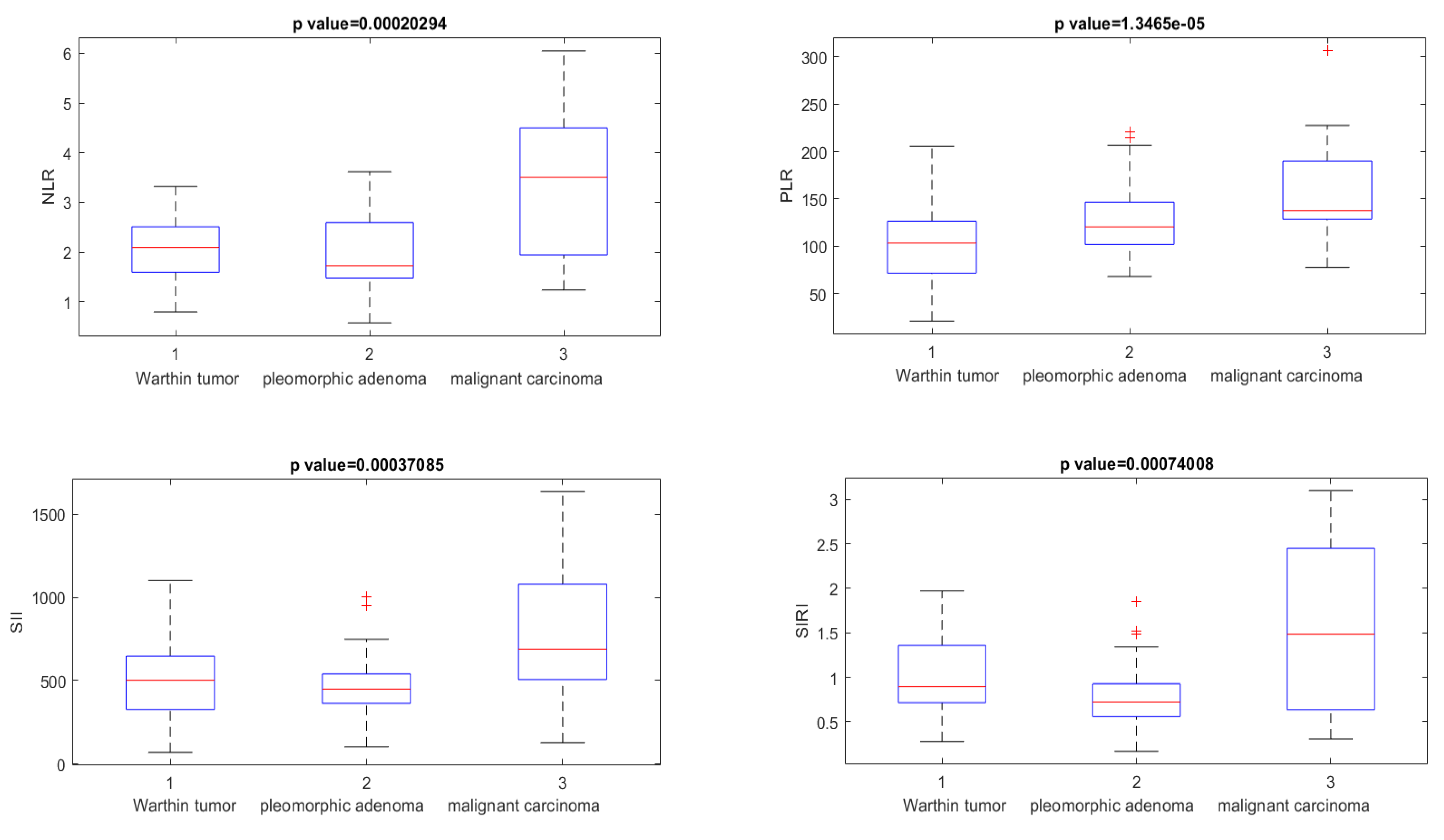
3.1. Univariate Analysis
3.2. Multivariate Analysis
4. Discussion
5. Conclusions
Author Contributions
Funding
Institutional Review Board Statement
Informed Consent Statement
Data Availability Statement
Conflicts of Interest
References
- El-Naggar, A.K.; Chan, J.K.C.; Grandis JRTakata, T.S.P. WHO Classification of Head and Neck Tumours, 4th ed.; IARC Publication: Lyon, France, 2017; pp. 159–202. [Google Scholar]
- Peravali, R.K.; Bhat, H.H.; Upadya, V.H.; Agarwal, A.; Naag, S. Salivary gland tumors: A diagnostic dilemma! J. Maxillofac. Oral Surg. 2015, 14 (Suppl. S1), 438–442. [Google Scholar] [CrossRef] [PubMed]
- Ronchi, A.; Montella, M.; Zito Marino, F.; Panarese, I.; Pagliuca, F.; Colella, G.; Franco, R.; Cozzolino, I. Diagnostic accuracy of FNA cytology for diagnosis of salivary gland tumors in pediatric patients. Cancer Cytopathol. 2019, 127, 529–538. [Google Scholar] [CrossRef]
- Dell’Aversana Orabona, G.; Salzano, G.; Abbate, V.; Bonavolontà, P.; Committeri, U.; Seidita, F.; Petrocelli, M.; Somma, T.; Improta, G.; Vaira, L.A.; et al. Malignant tumours of the parotid gland: Management of the neck (including the clinically negative neck) and a literature review. Br. J. Oral Maxillofac. Surg. 2021, 59, 665–671. [Google Scholar] [CrossRef] [PubMed]
- Abbate, V.; Orabona, G.D.A.; Barone, S.; Troise, S.; Bonavolontà, P.; Pacella, D.; Iaconetta, G.; Califano, L. Relevance of Inflammatory Biomarkers in Salivary Gland Cancers Management. Eurasian J. Med. Oncol. 2021, 5, 311–317. [Google Scholar] [CrossRef]
- Van Timmeren, J.E.; Cester, D.; Tanadini-Lang, S.; Alkadhi, H.; Baessler, B. Radiomics in medical imaging—“How-to” guide and critical reflection. Insights Imaging 2020, 11, 91. [Google Scholar] [CrossRef]
- Hu, X.; Shao, Y.X.; Yang, Z.Q.; Dou, W.C.; Xiong, S.C.; Li, X. Preoperative Systemic Immune-Inflammation Index Predicts Prognosis of Patients with Non-Metastatic Renal Cell Carcinoma: A Propensity Score-Matched Analysis. Cancer Cell Int. 2020, 20, 222. [Google Scholar] [CrossRef] [PubMed]
- Zwanenburg, A.; Vallières, M.; Abdalah, M.A.; Aerts, H.J.W.L.; Andrearczyk, V.; Apte, A.; Ashrafinia, S.; Bakas, S.; Beukinga, R.J.; Boellaard, R.; et al. The Image Biomarker Standardization Initiative: Standardized Quantitative Radiomics for High-Throughput Im-age-based Phenotyping. Radiology 2020, 295, 328–338. [Google Scholar] [CrossRef]
- Hua, X.; Long, Z.Q.; Zhang, Y.L.; Wen, W.; Guo, L.; Xia, W.; Zhang, W.W.; Lin, H.X. Prognostic Value of Preoperative Systemic Immune-Inflammation Index in Breast Cancer: A Propensity Score-Matching Study. Front. Oncol. 2020, 10, 580. [Google Scholar] [CrossRef] [PubMed]
- Chen, Q.; Wu, H.; Guo, X.; Gu, K.; Wang, W.; Chen, X.; Ji, S.; Yang, H.; Zhu, J. The Change of Systemic Immune-Inflammation Index Independently Predicts Survival of Colorectal Cancer Patients after Curative Resection. Mediat. Inflamm. 2020, 2020, 4105809. [Google Scholar] [CrossRef]
- Guo, W.; Cai, S.; Zhang, F.; Shao, F.; Zhang, G.; Zhou, Y.; Zhao, L.; Tan, F.; Gao, S.; He, J. Systemic Immune-Inflammation Index (SII) Is Useful to Predict Survival Outcomes in Patients with Surgically Resected Non-Small Cell Lung Cancer. Thorac. Cancer 2019, 10, 761–768. [Google Scholar] [CrossRef]
- Gao, Y.; Zhang, H.; Li, Y.; Wang, D.; Ma, Y.; Chen, Q. Preoperative Increased Systemic Immune-Inflammation Index Predicts Poor Prognosis in Patients with Operable Non-Small Cell Lung Cancer. Clin. Chim. Acta 2018, 484, 272–277. [Google Scholar] [CrossRef] [PubMed]
- Salzano, G.; Dell’Aversana Orabona, G.; Abbate, V.; Vaira, L.A.; Committeri, U.; Bonavolontà, P.; Piombino, P.; Maglito, F.; Russo, C.; Russo, D.; et al. The prognostic role of the pre-treatment neutrophil to lymphocyte ratio (NLR) and tumor depth of invasion (DOI) in early-stage squamous cell carcinomas of the oral tongue. Oral. Maxillofac. Surg. 2022, 26, 21–32. [Google Scholar] [CrossRef] [PubMed]
- Geng, Y.; Zhu, D.; Wu, C.; Wu, J.; Wang, Q.; Li, R.; Jiang, J.; Wu, C. A Novel Systemic Inflammation Response Index (SIRI) for Predicting Postoperative Survival of Patients with Esophageal Squamous Cell Carcinoma. Int. Immunopharmacol. 2018, 65, 503–510. [Google Scholar] [CrossRef] [PubMed]
- Damar, M.; Dinç, A.E.; Erdem, D.; Aydil, U.; Kizil, Y.; Eravcı, F.C.; Bişkin, S.; Şevik Eliçora, S.; Işik, H. Pretreatment Neutrophil-Lymphocyte Ratio in Salivary Gland Tumors Is Associated with Malignancy. Otolaryngol. Head Neck Surg. 2016, 155, 988–996. [Google Scholar] [CrossRef] [PubMed]
- Cheng, G.; Liu, F.; Niu, X.; Fang, Q. Role of the pretreatment neutrophil-to-lymphocyte ratio in the survival of primary parotid cancer patients. Cancer Manag. Res. 2019, 11, 2281–2286. [Google Scholar] [CrossRef]
- Abbate, V.; Barone, S.; Troise, S.; Laface, C.; Bonavolontà, P.; Pacella, D.; Salzano, G.; Iaconetta, G.; Califano, L.; Dell’Aversana Orabona, G. The Combination of Inflammatory Biomarkers as Prognostic Indicator in Salivary Gland Malignancy. Cancers 2022, 14, 5934. [Google Scholar] [CrossRef]
- Thoeny, H.C. Imaging of salivary gland tumours. Cancer Imaging 2007, 7, 52–62. [Google Scholar] [CrossRef]
- Lin, Y.; Tang, M.; Liu, Y.; Jiang, M.; He, S.; Zeng, D.; Cui, M.Y. A narrative review on machine learning in diagnosis and prognosis prediction for tongue squamous cell carcinoma. Transl. Cancer Res. 2022, 11, 4409–4415. [Google Scholar] [CrossRef]
- Committeri, U.; Fusco, R.; Di Bernardo, E.; Abbate, V.; Salzano, G.; Maglitto, F.; Dell’Aversana Orabona, G.; Piombino, P.; Bonavolontà, P.; Arena, A.; et al. Radiomics Metrics Combined with Clinical Data in the Surgical Management of Early-Stage (cT1–T2 N0) Tongue Squamous Cell Carcinomas: A Preliminary Study. Biology 2022, 11, 468. [Google Scholar] [CrossRef]
- Neri, E.; Coppola, F.; Miele, V.; Bibbolino, C.; Grassi, R. Artificial intelligence: Who is responsible for the diagnosis? Radiol. Med. 2020, 125, 517–521. [Google Scholar] [CrossRef]
- Gurgitano, M.; Angileri, S.A.; Rodà, G.M.; Liguori, A.; Pandolfi, M.; Ierardi, A.M.; Wood, B.J.; Carrafiello, G. Interventional Radiology ex-machina: Impact of Artificial Intelligence on practice. Radiol. Med. 2021, 126, 998–1006. [Google Scholar] [CrossRef] [PubMed]
- Nardone, V.; Reginelli, A.; Grassi, R.; Boldrini, L.; Vacca, G.; D’Ippolito, E.; Annunziata, S.; Farchione, A.; Belfiore, M.P.; Desideri, I.; et al. Delta radiomics: A systematic review. Radiol. Med. 2021, 126, 1571–1583. [Google Scholar] [CrossRef]
- Wu, W.; Ye, J.; Wang, Q.; Luo, J.; Xu, S. CT-based radiomics signature for the preoperative discrimination between head and neck squamous cell carcinoma grades. Front. Oncol. 2019, 9, 821. [Google Scholar] [CrossRef]
- Zhuo, E.H.; Zhang, W.J.; Li, H.J.; Zhang, G.Y.; Jing, B.Z.; Zhou, J.; Cui, C.Y.; Chen, M.Y.; Sun, Y.; Liu, L.Z.; et al. Radiomics on multi-modalities MR sequences can subtype patients with non-metastatic nasopharyngeal carcinoma (NPC) into distinct survival subgroups. Eur. Radiol. 2019, 29, 5590–5599. [Google Scholar] [CrossRef]
- Song, L.; Chen, S.; Chen, W.; Shi, Z.; Wang, X.; Song, L.; Chen, D. Radiomic model for differentiating parotid pleomorphic adenoma from parotid adenolymphoma based on MRI images. BMC Med. Imaging 2021, 21, 54. [Google Scholar] [CrossRef] [PubMed]
- Zhang, R.; Ai, Q.Y.H.; Wong, L.M.; Green, C.; Qamar, S.; So, T.Y.; Vlantis, A.C.; King, A.D. Radiomics for Discriminating Benign and Malignant Salivary Gland Tumors; Which Radiomic Feature Categories and MRI Sequences Should Be Used? Cancers 2022, 14, 5804. [Google Scholar] [CrossRef] [PubMed]
- Orell, S.R. Diagnostic difficulties in the interpretation of fine needle aspirates of salivary gland lesions: The problem revisited. Cytopathology 1995, 6, 285–300. [Google Scholar] [CrossRef] [PubMed]
- Daneshbod, Y.; Daneshbod, K.; Khademi, B. Diagnostic difficulties in the interpretation of fine needle aspirate samples in salivary lesions: Diagnostic pitfalls revisited. Acta Cytol. 2009, 53, 53–70. [Google Scholar] [CrossRef]
- Rohilla, M.; Singh, P.; Rajwanshi, A.; Gupta, N.; Srinivasan, R.; Dey, P.; Vashishta, R.K. Three-year cytohistological correlation of salivary gland FNA cytology at a tertiary center with the application of the Milan system for risk stratification. Cancer Cytopathol. 2017, 125, 767–775. [Google Scholar] [CrossRef]




| Warthin Tumor | Pleomorphic Adenoma | Malignant Carcinoma | ||
|---|---|---|---|---|
| Gender | Male | 32 | 15 | 16 |
| Female | 15 | 27 | 12 | |
| Age | Median value | 62 | 52.5 | 53.5 |
| Minimum | 13 | 8 | 22 | |
| Maximum | 76 | 83 | 84 | |
| NLR | Median value | 2.09 | 1.73 | 4.2 |
| Minimum | 0.8 | 0.58 | 1.56 | |
| Maximum | 3.32 | 3.62 | 6.05 | |
| PLR | Median value | 103.64 | 120.69 | 148.63 |
| Minimum | 21.67 | 68.56 | 78 | |
| Maximum | 205.46 | 220.2 | 306.14 | |
| SII | Median value | 502.03 | 451.17 | 932.04 |
| Minimum | 71.32 | 105.7 | 129.49 | |
| Maximum | 1103.36 | 1005.4 | 1634.4 | |
| SIRI | Median value | 0.9 | 0.725 | 1.73 |
| Minimum | 0.28 | 0.17 | 0.31 | |
| Maximum | 1.97 | 1.85 | 3.1 |
| Radiomics Metric | AUC | Sensitivity | Specificity | PPV | NPV | Accuracy | Cut-Off |
|---|---|---|---|---|---|---|---|
| wavelet_HHL_glcm_ClusterTendency | 0.34 | 1.00 | 0.01 | 0.24 | 1.00 | 0.25 | 0.06 |
| wavelet_HHL_glszm_ LargeAreaHighGrayLevelEmphasis | 0.65 | 0.86 | 0.45 | 0.33 | 0.91 | 0.55 | 0.58 |
| wavelet_HHL_glszm_ LargeAreaLowGrayLevelEmphasis | 0.67 | 0.93 | 0.44 | 0.34 | 0.95 | 0.56 | 0.33 |
| wavelet_LLH_gldm_ LargeDependenceLowGrayLevelEmphasis | 0.64 | 0.89 | 0.47 | 0.35 | 0.93 | 0.57 | −5.61 |
| wavelet_LLH_gldm_ LargeDependenceEmphasis | 0.64 | 0.79 | 0.56 | 0.36 | 0.89 | 0.62 | −5.06 |
| wavelet_HHL_glcm_ ClusterProminence | 0.36 | 0.29 | 0.74 | 0.26 | 0.77 | 0.63 | 0.28 |
| wavelet_LHL_gldm_ LargeDependenceLowGrayLevelEmphasis | 0.67 | 0.79 | 0.63 | 0.40 | 0.90 | 0.67 | −2.43 |
| wavelet_LHL_gldm_ LargeDependenceEmphasis | 0.68 | 0.75 | 0.69 | 0.43 | 0.90 | 0.70 | −2.24 |
| wavelet_HLH_glcm_JointEnergy | 0.61 | 0.50 | 0.78 | 0.41 | 0.83 | 0.71 | 0.79 |
| PLR | 0.74 | 0.71 | 0.75 | 0.48 | 0.89 | 0.74 | 133.30 |
| SII | 0.73 | 0.71 | 0.78 | 0.50 | 0.90 | 0.76 | 594.91 |
| SIRI | 0.68 | 0.50 | 0.93 | 0.70 | 0.86 | 0.83 | 1.61 |
| NLR | 0.74 | 0.50 | 1.00 | 1.00 | 0.86 | 0.88 | 3.62 |
Disclaimer/Publisher’s Note: The statements, opinions and data contained in all publications are solely those of the individual author(s) and contributor(s) and not of MDPI and/or the editor(s). MDPI and/or the editor(s) disclaim responsibility for any injury to people or property resulting from any ideas, methods, instructions or products referred to in the content. |
© 2023 by the authors. Licensee MDPI, Basel, Switzerland. This article is an open access article distributed under the terms and conditions of the Creative Commons Attribution (CC BY) license (https://creativecommons.org/licenses/by/4.0/).
Share and Cite
Committeri, U.; Barone, S.; Salzano, G.; Arena, A.; Borriello, G.; Giovacchini, F.; Fusco, R.; Vaira, L.A.; Scarpa, A.; Abbate, V.; et al. Support Tools in the Differential Diagnosis of Salivary Gland Tumors through Inflammatory Biomarkers and Radiomics Metrics: A Preliminary Study. Cancers 2023, 15, 1876. https://doi.org/10.3390/cancers15061876
Committeri U, Barone S, Salzano G, Arena A, Borriello G, Giovacchini F, Fusco R, Vaira LA, Scarpa A, Abbate V, et al. Support Tools in the Differential Diagnosis of Salivary Gland Tumors through Inflammatory Biomarkers and Radiomics Metrics: A Preliminary Study. Cancers. 2023; 15(6):1876. https://doi.org/10.3390/cancers15061876
Chicago/Turabian StyleCommitteri, Umberto, Simona Barone, Giovanni Salzano, Antonio Arena, Gerardo Borriello, Francesco Giovacchini, Roberta Fusco, Luigi Angelo Vaira, Alfonso Scarpa, Vincenzo Abbate, and et al. 2023. "Support Tools in the Differential Diagnosis of Salivary Gland Tumors through Inflammatory Biomarkers and Radiomics Metrics: A Preliminary Study" Cancers 15, no. 6: 1876. https://doi.org/10.3390/cancers15061876
APA StyleCommitteri, U., Barone, S., Salzano, G., Arena, A., Borriello, G., Giovacchini, F., Fusco, R., Vaira, L. A., Scarpa, A., Abbate, V., Ugga, L., Piombino, P., Ionna, F., Califano, L., & Orabona, G. D. (2023). Support Tools in the Differential Diagnosis of Salivary Gland Tumors through Inflammatory Biomarkers and Radiomics Metrics: A Preliminary Study. Cancers, 15(6), 1876. https://doi.org/10.3390/cancers15061876

