Comparisons of Radiofrequency Ablation, Microwave Ablation, and Irreversible Electroporation by Using Propensity Score Analysis for Early Stage Hepatocellular Carcinoma
Abstract
Simple Summary
Abstract
1. Introduction
2. Materials and Methods
2.1. Patients
2.2. Devices and Ancillary Procedures
2.3. Assessment of Therapeutic Outcomes and Safety Profile
2.4. Statistical Analysis
3. Results
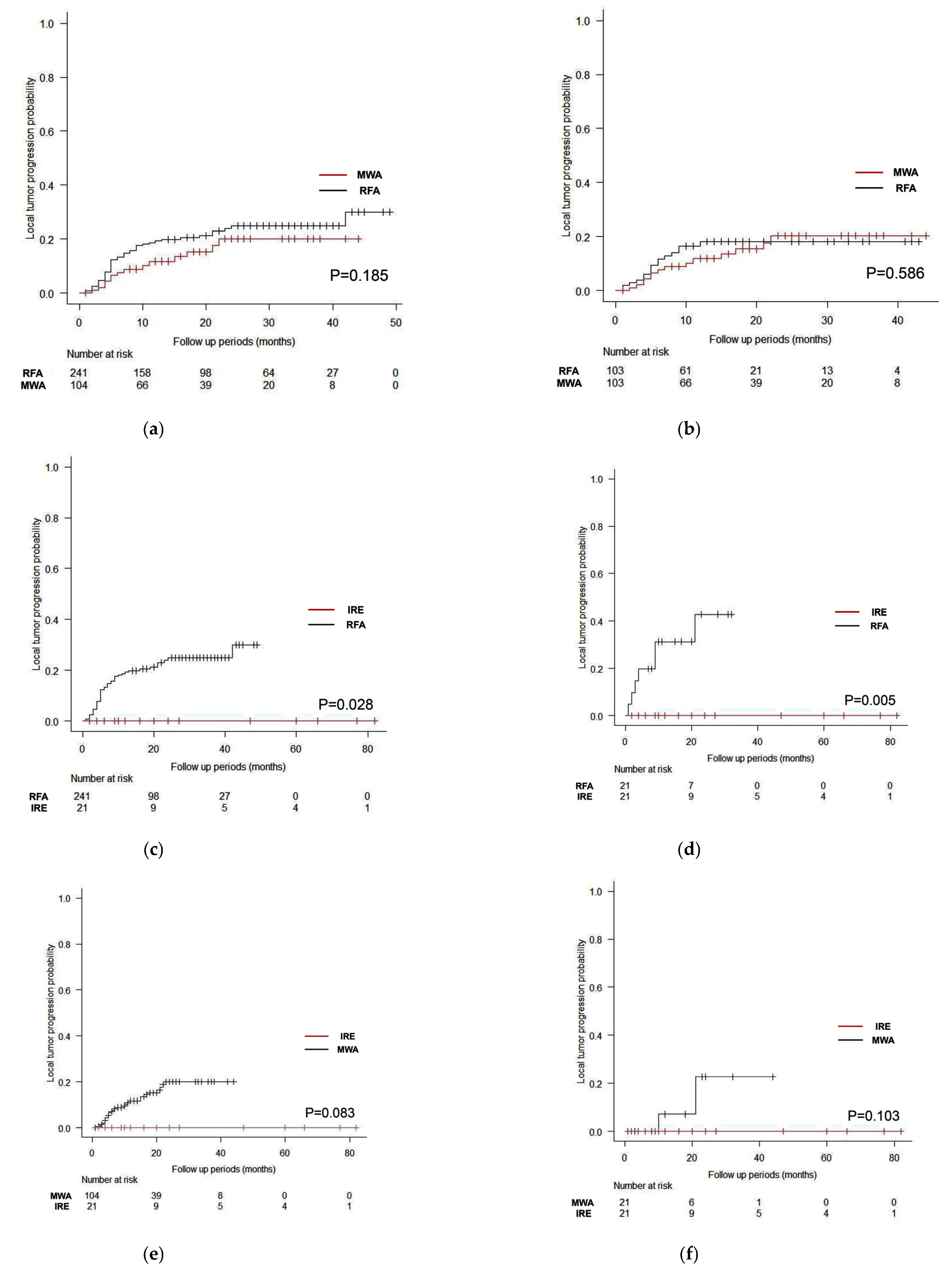
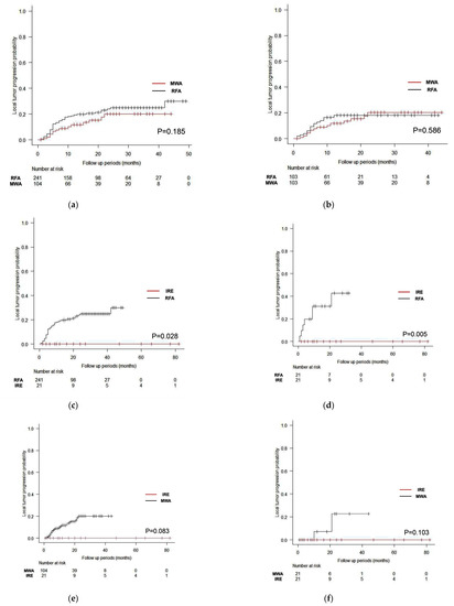
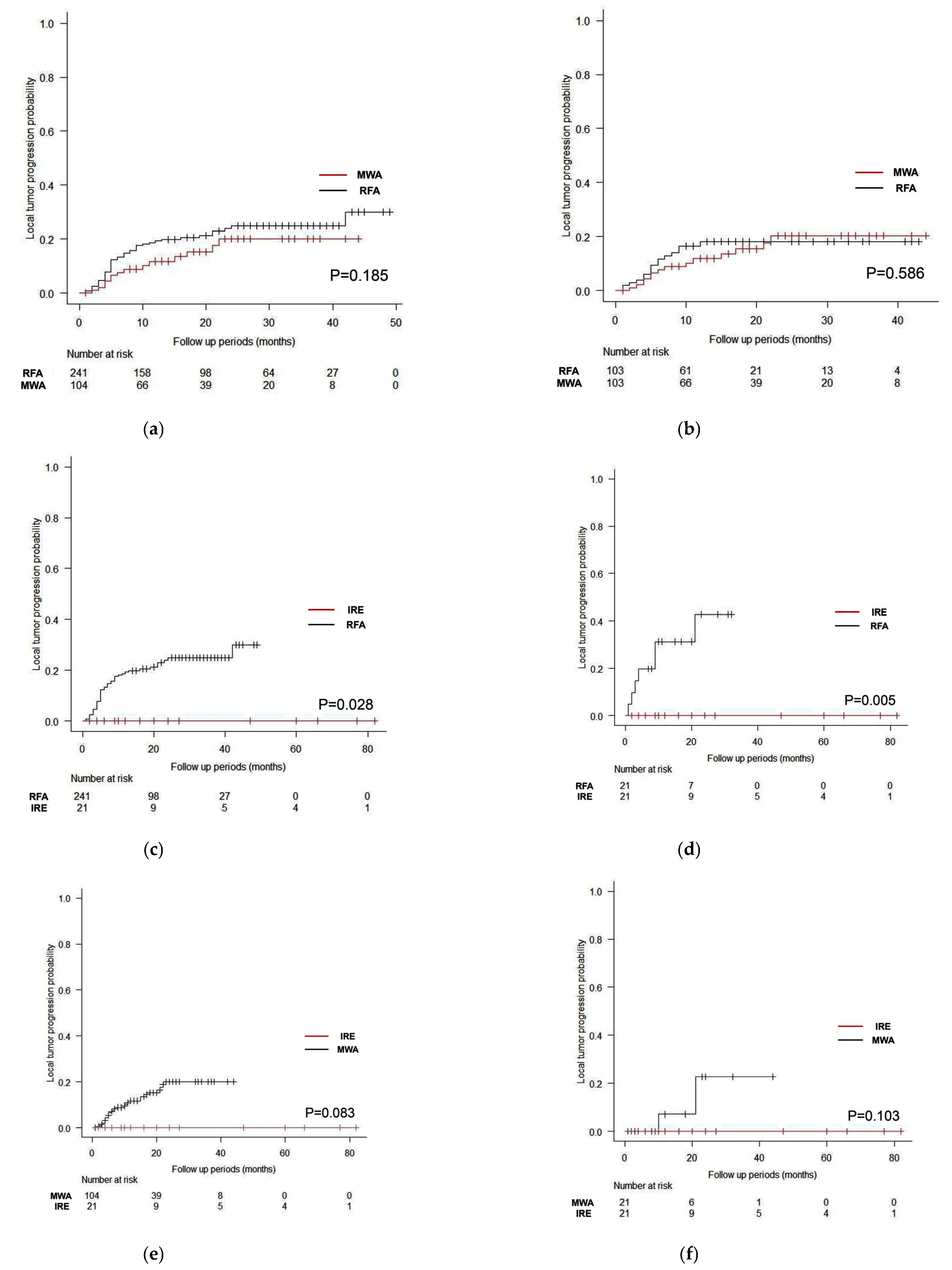
3.1. Comparisons of LTP Rates between Each Modality Group
3.2. Factors Contributing to LTP of Each Modality
3.3. Factors Contributing to RFS after Ablation
3.4. Comparison of Complication Each Modality Group
4. Discussion
5. Conclusions
Author Contributions
Funding
Institutional Review Board Statement
Informed Consent Statement
Data Availability Statement
Conflicts of Interest
References
- Takayama, T.; Hasegawa, K.; Izumi, N.; Kudo, M.; Shimada, M.; Yamanaka, N.; Inomata, M.; Kaneko, S.; Nakayama, H.; Kawaguchi, Y.; et al. Surgery versus Radiofrequency Ablation for Small Hepatocellular Carcinoma: A Randomized Controlled Trial (SURF Trial). Liver Cancer 2022, 11, 209–218. [Google Scholar] [CrossRef]
- Kudo, M.; Kawamura, Y.; Hasegawa, K.; Tateishi, R.; Kariyama, K.; Shiina, S.; Toyoda, H.; Imai, Y.; Hiraoka, A.; Ikeda, M.; et al. Management of Hepatocellular Carcinoma in Japan: JSH Consensus Statements and Recommendations 2021 Update. Liver Cancer 2021, 10, 181–223. [Google Scholar] [CrossRef]
- European Association for the Study of the Liver. Electronic address: Easloffice@easloffice.eu; European Association for the Study of the Liver. EASL Clinical Practice Guidelines: Management of hepatocellular carcinoma. J. Hepatol. 2018, 69, 182–236. [Google Scholar]
- Imajo, K.; Ogawa, Y.; Yoneda, M.; Saito, S.; Nakajima, A. A review of conventional and newer generation microwave ablation systems for hepatocellular carcinoma. J. Med. Ultrason. 2020, 47, 265–277. [Google Scholar] [CrossRef] [PubMed]
- Tamai, H.; Okamura, J. New next-generation microwave thermosphere ablation for small hepatocellular carcinoma. Clin. Mol. Hepatol. 2021, 27, 564–574. [Google Scholar] [CrossRef]
- Thomson, K.R.; Cheung, W.; Ellis, S.J.; Federman, D.; Kavnoudias, H.; Loader-Oliver, D.; Roberts, S.; Evans, P.; Ball, C.; Haydon, A. Investigation of the safety of irreversible electroporation in humans. J. Vasc. Interv. Radiol. 2011, 22, 611–621. [Google Scholar] [PubMed]
- Vogel, J.A.; van Veldhuisen, E.; Agnass, P.; Crezee, J.; Dijk, F.; Verheij, J.; van Gulik, T.M.; Meijerink, M.R.; Vroomen, L.G.; van Lienden, K.P.; et al. Correction: Time-Dependent Impact of Irreversible Electroporation on Pancreas, Liver, Blood Vessels and Nerves: A Systematic Review of Experimental Studies. PLoS ONE 2017, 12, e0174018. [Google Scholar] [CrossRef]
- Lencioni, R.; Llovet, J.M. Modified RECIST (mRECIST) assessment for hepatocellular carcinoma. Semin. Liver Dis. 2010, 30, 52–60. [Google Scholar] [CrossRef]
- Sugimoto, K.; Moriyasu, F.; Kobayashi, Y.; Saito, K.; Takeuchi, H.; Ogawa, S.; Ando, M.; Sano, T.; Mori, T.; Furuichi, Y.; et al. Irreversible electroporation for nonthermal tumor ablation in patients with hepatocellular carcinoma: Initial clinical experience in Japan. Jpn. J. Radiol. 2015, 33, 424–432. [Google Scholar] [CrossRef]
- Sugimoto, K.; Moriyasu, F.; Saito, K.; Kobayashi, Y.; Itoi, T. Multimodality imaging to assess immediate response following irreversible electroporation in patients with malignant hepatic tumors. J. Med. Ultrason. 2017, 44, 247–254. [Google Scholar]
- Dindo, D.; Demartines, N.; Clavien, P.A. Classification of surgical complications: A new proposal with evaluation in a cohort of 6336 patients and results of a survey. Ann. Surg. 2004, 240, 205–213. [Google Scholar] [CrossRef]
- Ahmed, M.; Solbiati, L.; Brace, C.L.; Breen, D.J.; Callstrom, M.R.; Charboneau, J.W.; Chen, M.H.; Choi, B.I.; de Baère, T.; Dodd, G.D., 3rd; et al. International Working Group on Image-Guided Tumor Ablation; Interventional Oncology Sans Frontières Expert Panel; Technology Assessment Committee of the Society of Interventional Radiology; Standard of Practice Committee of the Cardiovascular and Interventional Radiological Society of Europe. Image-guided tumor ablation: Standardization of terminology and reporting criteria—A 10-year update. J. Vasc. Interv. Radiol. 2014, 25, 1691–1705.e4. [Google Scholar] [PubMed]
- Toshimori, J.; Nouso, K.; Nakamura, S.; Wada, N.; Morimoto, Y.; Takeuchi, Y.; Yasunaka, T.; Kuwaki, K.; Ohnishi, H.; Ikeda, F.; et al. Local recurrence and complications after percutaneous radiofrequency ablation of hepatocellular carcinoma: A retrospective cohort study focused on tumor location. Acta Med. Okayama 2015, 69, 219–226. [Google Scholar] [PubMed]
- An, C.; Li, W.Z.; Huang, Z.M.; Yu, X.L.; Han, Y.Z.; Liu, F.Y.; Wu, S.S.; Yu, J.; Liang, P.; Huang, J. Small single perivascular hepatocellular carcinoma: Comparisons of radiofrequency ablation and microwave ablation by using propensity score analysis. Eur. Radiol. 2021, 31, 4764–4773. [Google Scholar]
- Sutter, O.; Calvo, J.; N’Kontchou, G.; Nault, J.C.; Ourabia, R.; Nahon, P.; Ganne-Carrié, N.; Bourcier, V.; Zentar, N.; Bouhafs, F.; et al. Safety and Efficacy of Irreversible Electroporation for the Treatment of Hepatocellular Carcinoma Not Amenable to Thermal Ablation Techniques: A Retrospective Single-Center Case Series. Radiology 2017, 284, 877–886. [Google Scholar] [CrossRef] [PubMed]
- Kalra, N.; Gupta, P.; Gorsi, U.; Bhujade, H.; Chaluvashetty, S.B.; Duseja, A.; Singh, V.; Dhiman, R.K.; Chawla, Y.K.; Khandelwal, N. Irreversible Electroporation for Unresectable Hepatocellular Carcinoma: Initial Experience. Cardiovasc. Interv. Radiol. 2019, 42, 584–590. [Google Scholar] [CrossRef]
- Stillström, D.; Beermann, M.; Engstrand, J.; Freedman, J.; Nilsson, H. Initial experience with irreversible electroporation of liver tumours. Eur. J. Radiol. Open 2019, 6, 62–67. [Google Scholar] [CrossRef]
- Frühling, P.; Nilsson, A.; Duraj, F.; Haglund, U.; Norén, A. Single-center nonrandomized clinical trial to assess the safety and efficacy of irreversible electroporation (IRE) ablation of liver tumors in humans: Short to mid-term results. Eur. J. Surg. Oncol. 2017, 43, 751–757. [Google Scholar] [CrossRef]
- Cannon, R.; Ellis, S.; Hayes, D.; Narayanan, G.; Martin, R.C., 2nd. Safety and early efficacy of irreversible electroporation for hepatic tumors in proximity to vital structures. J. Surg. Oncol. 2013, 107, 544–549. [Google Scholar] [CrossRef]
- Donadon, M.; Solbiati, L.; Dawson, L.; Barry, A.; Sapisochin, G.; Greig, P.D.; Shiina, S.; Fontana, A.; Torzilli, G. Hepatocellular Carcinoma: The Role of Interventional Oncology. Liver Cancer 2016, 6, 34–43. [Google Scholar] [CrossRef]
- Sugimoto, K.; Abe, M.; Yoshimasu, Y.; Takeuchi, H.; Kasai, Y.; Itoi, T. Irreversible electroporation of hepatocellular carcinoma: The role of ultrasonography. Ultrasonography 2020, 39, 229–237. [Google Scholar] [CrossRef] [PubMed]
- Liu, D.; Brace, C.L. Evaluation of tissue deformation during radiofrequency and microwave ablation procedures: Influence of output energy delivery. Med. Phys. 2019, 46, 4127–4134. [Google Scholar] [CrossRef] [PubMed]
- Lopresto, V.; Pinto, R.; Farina, L.; Cavagnaro, M. Treatment planning in microwave thermal ablation: Clinical gaps and recent research advances. Int. J. Hyperth. 2017, 33, 83–100. [Google Scholar] [CrossRef] [PubMed]
- Zerbini, A.; Pilli, M.; Penna, A.; Pelosi, G.; Schianchi, C.; Molinari, A.; Schivazappa, S.; Zibera, C.; Fagnoni, F.F.; Ferrari, C.; et al. Radiofrequency thermal ablation of hepatocellular carcinoma liver nodules can activate and enhance tumor-specific T-cell responses. Cancer Res. 2006, 66, 1139–1146. [Google Scholar] [CrossRef]
- Leuchte, K.; Staib, E.; Thelen, M.; Gödel, P.; Lechner, A.; Zentis, P.; Garcia-Marquez, M.; Waldschmidt, D.; Datta, R.R.; Wahba, R.; et al. Microwave ablation enhances tumor-specific immune response in patients with hepatocellular carcinoma. Cancer Immunol. Immunother. 2021, 70, 893–907. [Google Scholar] [CrossRef]
- Guo, X.; Du, F.; Liu, Q.; Guo, Y.; Wang, Q.; Huang, W.; Wang, Z.; Ding, X.; Wu, Z. Immunological effect of irreversible electroporation on hepatocellular carcinoma. BMC Cancer 2021, 21, 443. [Google Scholar] [CrossRef]
- Ouyang, T.; Kan, X.; Zheng, C. Immune Checkpoint Inhibitors for Advanced Hepatocellular Carcinoma: Monotherapies and Combined Therapies. Front. Oncol. 2022, 12, 898964. [Google Scholar] [CrossRef]


| Patient Basis Characteristics | RFA (n = 216) | MWA (n = 91) | IRE (n = 15) | p-Value |
|---|---|---|---|---|
| Sex (Male/female) | 160/56 | 72/19 | 12/3 | 0.594 |
| Mean age (years) | 73.8 ± 8.7 | 72.3 ± 10.5 | 73.8 ± 5.0 | 0.620 |
| Etiology (HCV/HBV/HCV+HBV/other) | 87/36/1/92 | 37/7/1/46 | 5/1/0/9 | 0.357 |
| Naïve/non-naive | 55/161 | 37/54 | 3/12 | 0.020 |
| Child-Pugh score (5/6/7/8/9) | 173/33/6/3/1 | 72/15/2/1/1 | 11/3/0/0/1 | 0.552 |
| T-Bil (mg/dL) | 0.64 [0.52, 0.87] | 0.67 [0.51, 0.98] | 0.53 [0.43, 0.83] | 0.742 |
| Alb (g/dL) | 3.8 [3.5, 4.1] | 3.9 [3.5, 4.2] | 4.2 [3.4, 4.4] | 0.122 |
| PT-INR | 1.04 [0.98, 1.11] | 1.05 [0.99, 1.14] | 1.01 [1.00, 1.08] | 0.410 |
| Plt (×104) | 13.5 [10.1, 16.5] | 14.6 [11.1, 18.4] | 14.4 [8.0, 15.7] | 0.249 |
| AFP (ng/mL) | 5.4 [2.7, 13.9] | 5.4 [2.6, 10.2] | 10.7 [4.2, 19.8] | 0.238 |
| AFP-L3 (%) | 0.5 [0.5, 8.7] | 0.5 [0.5, 7.2] | 0.5 [0.5, 7.8] | 0.771 |
| DCP (mAU/mL) | 27 [18, 66] | 34 [22, 89] | 34 [20, 135] | 0.153 |
| Number of nodules (1/2/3) | 180/30/6 | 78/8/5 | 8/7/0 | 0.002 |
| Maximum tumor diameter (cm) | 1.5 ± 0.7 | 2.1 ± 1.0 | 1.4 ± 0.5 | <0.001 |
| TACE before ablation (%) | 4.2% (9/216) | 11.0% (10/91) | 0% (0/15) | 0.042 |
| Tumor Basis Characteristics | RFA (n = 241) | MWA (n = 104) | IRE (n = 21) | p-Value |
|---|---|---|---|---|
| Maximum tumor diameter (cm) | 1.5 ± 0.7 | 2.1 ± 1.0 | 1.4 ± 0.5 | <0.001 |
| Tumor form (Simple nodular type/others) | 185/56 | 73/30 | 21/0 | 0.016 |
| Couinaud classification; S1/S2/S3/S4/S5/S6/S7/S8 | 18/24/19/22/27/41/33/57 | 2/6/7/11/6/28/13/31 | 2/1/1/2/4/5/4/2 | 0.215 |
| Tumor location (adjacent to; ) | ||||
| Liver surface (hump) (%) | 35.3% (85/241) | 48.1% (50/104) | 0% (0/21) | <0.001 |
| Portal vein (major branch) (%) | 15.8% (38/241) | 4.8% (5/104) | 33.3% (7/21) | <0.001 |
| Portal vein (minor branch) (%) | 20.3% (49/241) | 24.0% (25/104) | 14.3% (3/21) | 0.545 |
| Hepatic duct (%) | 1.7% (4/241) | 1.0% (1/104) | 0% (0/21) | 0.752 |
| Hepatic vein (%) | 14.9% (36/241) | 10.6% (11/104) | 4.8% (1/21) | 0.276 |
| IVC (%) | 2.5% (6/241) | 1.9% (2/104) | 0% (0/21) | 0.738 |
| Gall bladder (%) | 2.1% (5/241) | 2.9% (3/104) | 9.5% (2/21) | 0.132 |
| Colon (%) | 2.5% (6/241) | 1.9% (2/104) | 9.5% (2/21) | 0.139 |
| Heart (%) | 0.4% (1/241) | 1.9% (2/104) | 0% (0/21) | 0.330 |
| Stomach (%) | 0.8% (2/241) | 1.9% (2/104) | 4.8 (1/21) | 0.279 |
| Duodenum (%) | 0% (0/241) | 0% (0/104) | 4.8% (1/21) | <0.001 |
| Diaphragm (%) | 11.2% (27/241) | 18.3% (19/104) | 0% (0/21) | 0.039 |
| Kidney (%) | 1.2% (3/241) | 1.9% (2/104) | 0% (0/21) | 0.757 |
| Characteristics | RFA (n = 216) | MWA (n = 91) | IRE (n = 15) | p-Value |
|---|---|---|---|---|
| Treatment support system | ||||
| CEUS (%) | 49.5% (107/216) | 50.6% (46/91) | 100% (15/15) | <0.001 |
| CT/MRI/US fusion (%) | 55.6% (120/216) | 40.7% (37/91) | 100% (15/15) | <0.001 |
| Needle tracking (%) | 2.8% (6/216) | 38.5% (35/91) | 26.7% (4/15) | <0.001 |
| Ancillary procedures | ||||
| Artificial pleural effusion (%) | 12.0% (26/216) | 9.9% (9/91) | 6.7% (1/15) | 0.734 |
| Artificial ascites (%) | 24.1% (52/216) | 29.7% (27/91) | 0% (0/15) | 0.045 |
| Hazard Ratio (95% CI) | |||||
|---|---|---|---|---|---|
| Variables | Univariate | p-Value | Multivariate | p-Value | |
| Number of tumors | 241 | ||||
| Maximum diameter | 1.722 (1.195–2.482) | 0.004 | 1.106 (0.7191–1.701) | 0.647 | |
| TACE prior to RFA | 3.953 (1.682–9.294) | 0.002 | 1.641 (0.628–4.286) | 0.312 | |
| Tumor form (Simple nodular type/others) | 1.906 (1.051–3.457) | 0.034 | 1.392 (0.736–2.632) | 0.306 | |
| Tumor location (adjacent to; ) | |||||
| Liver surface (hump) | 0.908 (0.501–1.647) | 0.751 | |||
| Portal vein (major branch) | 3.102 (1.740–5.531) | <0.001 | 1.821 (0.962–3.446) | 0.066 | |
| Portal vein (minor branch) | 0.5166 (0.220–1.214) | 0.130 | |||
| Hepatic duct | 1.777 (0.430–7.342) | 0.427 | |||
| Hepatic vein | 1.184 (0.575–2.436) | 0.646 | |||
| IVC | 3.79 (1.359–10.570) | 0.011 | 3.239 (1.114–9.423) | 0.031 | |
| Gall bladder | 0.0000001085 (0-Inf) | 0.996 | |||
| Colon | 0.0000001079 (0-Inf) | 0.995 | |||
| Heart | 0.0000003033 (0-Inf) | 0.997 | |||
| Stomach | 0.0000006247 (0-Inf) | 0.996 | |||
| Duodenum | 1 (1–1) | NA | |||
| Diaphragm | 0.677 (0.243–1.883) | 0.455 | |||
| Kidney | 1.721 (0.237–12.490) | 0.591 | |||
| Ablated margin <3 mm | 5.807 (3.244–10.400) | <0.001 | 3.982 (2.077–7.633) | <0.001 | |
| Hazard Ratio (95% CI) | |||||
|---|---|---|---|---|---|
| Variables | Univariate | p-Value | Multivariate | p-Value | |
| Number of tumors | 104 | ||||
| Maximum diameter | 1.577 (1.060–2.347) | 0.025 | 1.064 (0.624–1.814) | 0.819 | |
| TACE prior to MWA | 3.34 (1.118–9.981) | 0.031 | 1.630 (0.446–5.957) | 0.460 | |
| Tumor form (Simple nodular type/others) | 3.529 (1.223–10.180) | 0.020 | 1.414 (0.423–4.728) | 0.573 | |
| Tumor location (adjacent to; ) | |||||
| Liver surface (hump) | 2.203 (0.738–6.581) | 0.157 | |||
| Portal vein (major branch) | 1.353 (0.175–10.430) | 0.772 | |||
| Portal vein (minor branch) | 0.9884 (0.310–3.155) | 0.984 | |||
| Hepatic duct | 7.376 (0.940–57.860) | 0.057 | |||
| Hepatic vein | 2.141 (0.596–7.697) | 0.243 | |||
| IVC (%) | 10.64 (1.229–92.190) | 0.032 | 5.332 (0.474–59.940) | 0.175 | |
| Gall bladder | 1.774 (0.231–13.610) | 0.582 | |||
| Colon | 0.0000001086 (0-Inf) | 0.998 | |||
| Heart | 0.0000001086 (0-Inf) | 0.998 | |||
| Stomach | 0.0000001102 (0-Inf) | 0.999 | |||
| Duodenum | 1 (1–1) | NA | |||
| Diaphragm | 2.020 (0.633–6.453) | 0.235 | |||
| Kidney | 0.0000001086 (0–Inf) | 0.998 | |||
| Ablated margin <3 mm | 36.360 (5.002–294.200) | <0.001 | 31.3 (3.95–248.1) | 0.001 | |
| Hazard ratio (95% CI) | |||||
|---|---|---|---|---|---|
| Variables | Univariate | p-Value | Multivariate | p-Value | |
| Number of patients | |||||
| Age | 1.002 (0.986–1.018) | 0.855 | |||
| Gender | 1.319 (0.918–1.893) | 0.134 | |||
| Etiology (HCV) | 0.895 (0.663–1.209) | 0.470 | |||
| Etiology (HBV) | 0.619 (0.396–0.969) | 0.036 | 0.763 (0.470–1.238) | 0.273 | |
| Etiology (nonviral) | 1.411 (1.052–1.892) | 0.022 | 1.213 (0.882–1.667) | 0.235 | |
| Child-Pugh score | 1.408 (1.100–1.802) | 0.007 | 1.184 (0.913–1.536) | 0.203 | |
| Platelet count | 0.971 (0.948–0.995) | 0.018 | 0.981 (0.957–1.005) | 0.112 | |
| AST | 1 (0.995–1.006) | 0.894 | |||
| ALT | 1.001 (0.996–1.006) | 0.696 | |||
| AFP | 0.100 (0.999–1) | 0.349 | |||
| AFP-L3 | 1.016 (1.008–1.024) | <0.001 | 1.013 (1.005–1.021) | 0.002 | |
| DCP | 1 (1–1) | 0.205 | |||
| Tumor number | 0.988 (0.823–1.185) | 0.893 | |||
| Ablation method (RFA) | 1.241 (0.895–1.721) | 0.195 | |||
| Ablation method (MWA) | 0.908 (0.646–1.276) | 0.576 | |||
| Ablation method (IRE) | 0.534 (0.236–1.210) | 0.133 | |||
| Naïve or not | 0.728 (0.520–1.021) | 0.066 | |||
| Modality | Total (n = 322) | RFA (n = 216) | MWA (n = 91) | IRE (n = 15) | p-Value |
|---|---|---|---|---|---|
| Grade I | 17/322 (5.28%) | 7/216 (3.24%) | 8/91 (8.79%) | 2/15 (13.3%) | 0.050 |
| Grade II–V | 6/322 (1.86%) | 3/216 (1.39%) | 3/91 (3.30%) | 0/15 (0.00%) | 0.455 |
| Details of Grade II ≥ | |||||
| Pleural effusion | 0 | 0 | 1 (III) | 0 | NA |
| Pneumothorax | 0 | 1 (III) | 0 | 0 | NA |
| Interstitial pneumonia | 0 | 0 | 1 (V) | 0 | NA |
| Liver abscess | 0 | 2 (II) | 1 (II) | 0 | NA |
Disclaimer/Publisher’s Note: The statements, opinions and data contained in all publications are solely those of the individual author(s) and contributor(s) and not of MDPI and/or the editor(s). MDPI and/or the editor(s) disclaim responsibility for any injury to people or property resulting from any ideas, methods, instructions or products referred to in the content. |
© 2023 by the authors. Licensee MDPI, Basel, Switzerland. This article is an open access article distributed under the terms and conditions of the Creative Commons Attribution (CC BY) license (https://creativecommons.org/licenses/by/4.0/).
Share and Cite
Wada, T.; Sugimoto, K.; Sakamaki, K.; Takahashi, H.; Kakegawa, T.; Tomita, Y.; Abe, M.; Yoshimasu, Y.; Takeuchi, H.; Itoi, T. Comparisons of Radiofrequency Ablation, Microwave Ablation, and Irreversible Electroporation by Using Propensity Score Analysis for Early Stage Hepatocellular Carcinoma. Cancers 2023, 15, 732. https://doi.org/10.3390/cancers15030732
Wada T, Sugimoto K, Sakamaki K, Takahashi H, Kakegawa T, Tomita Y, Abe M, Yoshimasu Y, Takeuchi H, Itoi T. Comparisons of Radiofrequency Ablation, Microwave Ablation, and Irreversible Electroporation by Using Propensity Score Analysis for Early Stage Hepatocellular Carcinoma. Cancers. 2023; 15(3):732. https://doi.org/10.3390/cancers15030732
Chicago/Turabian StyleWada, Takuya, Katsutoshi Sugimoto, Kentaro Sakamaki, Hiroshi Takahashi, Tatsuya Kakegawa, Yusuke Tomita, Masakazu Abe, Yu Yoshimasu, Hirohito Takeuchi, and Takao Itoi. 2023. "Comparisons of Radiofrequency Ablation, Microwave Ablation, and Irreversible Electroporation by Using Propensity Score Analysis for Early Stage Hepatocellular Carcinoma" Cancers 15, no. 3: 732. https://doi.org/10.3390/cancers15030732
APA StyleWada, T., Sugimoto, K., Sakamaki, K., Takahashi, H., Kakegawa, T., Tomita, Y., Abe, M., Yoshimasu, Y., Takeuchi, H., & Itoi, T. (2023). Comparisons of Radiofrequency Ablation, Microwave Ablation, and Irreversible Electroporation by Using Propensity Score Analysis for Early Stage Hepatocellular Carcinoma. Cancers, 15(3), 732. https://doi.org/10.3390/cancers15030732

