Prognostic Factors Influencing Survival in Ovarian Cancer Patients: A 10-Year Retrospective Study
Simple Summary
Abstract
1. Introduction
2. Materials and Methods
2.1. Study Design and Setting
2.2. Patient Population
2.3. Data Collection and Variables
2.4. Ethical Approval
2.5. Statistical Analysis
3. Results
3.1. Population Description
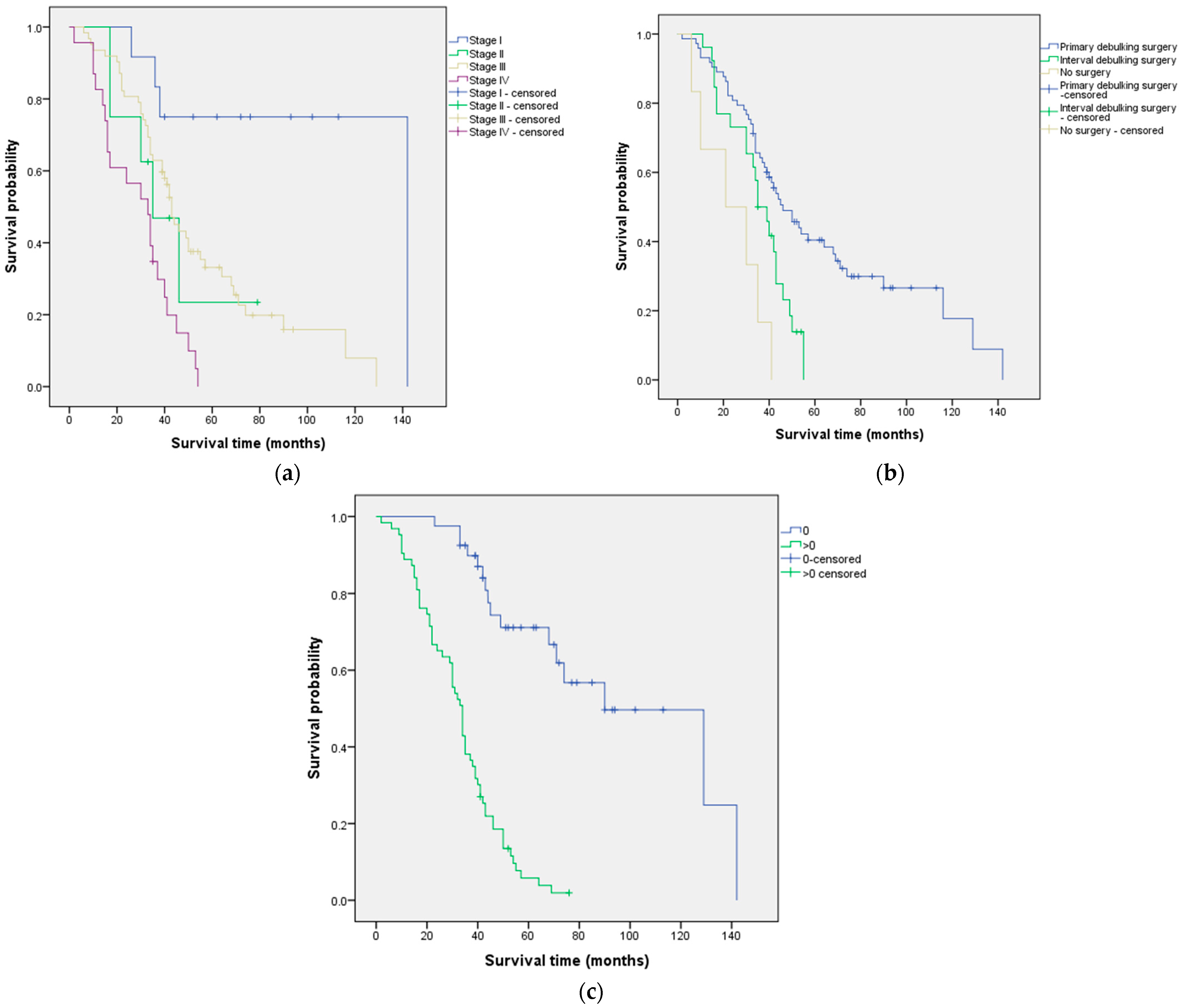
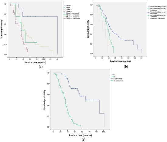
3.2. Overall Survival
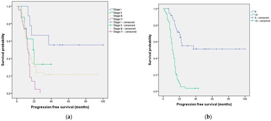
3.3. Progression-Free Survival
4. Discussion
5. Conclusions
Supplementary Materials
Author Contributions
Funding
Institutional Review Board Statement
Informed Consent Statement
Data Availability Statement
Conflicts of Interest
References
- Sung, H.; Ferlay, J.; Siegel, R.L.; Laversanne, M.; Soerjomataram, I.; Jemal, A.; Bray, F. Global cancer statistics 2020: GLOBOCAN estimates of incidence and mortality worldwide for 36 cancers in 185 countries. CA Cancer J. Clin. 2021, 71, 209–249. [Google Scholar] [CrossRef] [PubMed]
- Siegel, R.L.; Miller, K.D.; Fuchs, H.E.; Jemal, A. Cancer statistics, 2021. CA Cancer J. Clin. 2021, 71, 7–33. [Google Scholar] [CrossRef] [PubMed]
- Armstrong, D.K.; Alvarez, R.D.; Bakkum-Gamez, J.N.; Barroilhet, L.; Behbakht, K.; Berchuck, A.; Berek, J.S.; Chen, L.-m.; Cristea, M.; DeRosa, M. NCCN guidelines insights: Ovarian cancer, version 1.2019: Featured updates to the NCCN guidelines. J. Natl. Compr. Cancer Netw. 2019, 17, 896–909. [Google Scholar] [CrossRef] [PubMed]
- Fukuda, T.; Imai, K.; Yamauchi, M.; Teramae, M.; Hashiguchi, Y.; Ichimura, T.; Yasui, T.; Sumi, T. Primary peritoneal cancer: Study of 14 cases and comparison with epithelial ovarian cancer. Eur. J. Gynaecol. Oncol. 2015, 36, 49–53. [Google Scholar]
- La Vecchia, C. Ovarian cancer. Eur. J. Cancer Prev. 2017, 26, 55–62. [Google Scholar] [CrossRef]
- Momenimovahed, Z.; Tiznobaik, A.; Taheri, S.; Salehiniya, H. Ovarian cancer in the world: Epidemiology and risk factors. Int. J. Women’s Health 2019, 11, 287–299. [Google Scholar] [CrossRef]
- Reid, B.M.; Permuth, J.B.; Sellers, T.A. Epidemiology of ovarian cancer: A review. Cancer Biol. Med. 2017, 14, 9. [Google Scholar]
- Trabert, B.; Tworoger, S.S.; O’Brien, K.M.; Townsend, M.K.; Fortner, R.T.; Iversen, E.S.; Hartge, P.; White, E.; Amiano, P.; Arslan, A.A. The risk of ovarian cancer increases with an increase in the lifetime number of ovulatory cycles: An analysis from the Ovarian Cancer Cohort Consortium (OC3). Cancer Res. 2020, 80, 1210–1218. [Google Scholar] [CrossRef]
- Yang, H.P.; Murphy, K.R.; Pfeiffer, R.M.; George, N.; Garcia-Closas, M.; Lissowska, J.; Brinton, L.A.; Wentzensen, N. Lifetime number of ovulatory cycles and risks of ovarian and endometrial cancer among postmenopausal women. Am. J. Epidemiol. 2016, 183, 800–814. [Google Scholar] [CrossRef]
- Jelovac, D.; Armstrong, D.K. Recent progress in the diagnosis and treatment of ovarian cancer. CA Cancer J. Clin. 2011, 61, 183–203. [Google Scholar] [CrossRef]
- Han, K.H.; Kim, M.-K.; Kim, H.S.; Chung, H.H.; Song, Y.S. Protective effect of progesterone during pregnancy against ovarian cancer. J. Cancer Prev. 2013, 18, 113. [Google Scholar] [CrossRef] [PubMed]
- Sørensen, R.D.; Schnack, T.H.; Karlsen, M.A.; Høgdall, C.K. Serous ovarian, fallopian tube and primary peritoneal cancers: A common disease or separate entities—A systematic review. Gynecol. Oncol. 2015, 136, 571–581. [Google Scholar] [CrossRef]
- Modugno, F.; Goughnour, S.L.; Wallack, D.; Edwards, R.P.; Odunsi, K.; Kelley, J.L.; Moysich, K.; Ness, R.B.; Brooks, M.M. Breastfeeding factors and risk of epithelial ovarian cancer. Gynecol. Oncol. 2019, 153, 116–122. [Google Scholar] [CrossRef] [PubMed]
- Iversen, L.; Fielding, S.; Lidegaard, Ø.; Mørch, L.S.; Skovlund, C.W.; Hannaford, P.C. Association between contemporary hormonal contraception and ovarian cancer in women of reproductive age in Denmark: Prospective, nationwide cohort study. BMJ 2018, 362, k3609. [Google Scholar] [CrossRef]
- Seifert, H.; Georgiou, A.; Alexander, H.; McLachlan, J.; Bodla, S.; Kaye, S.; Barton, D.; Nobbenhuis, M.; Gore, M.; Banerjee, S. Poor performance status (PS) is an indication for an aggressive approach to neoadjuvant chemotherapy in patients with advanced epithelial ovarian cancer (EOC). Gynecol. Oncol. 2015, 139, 216–220. [Google Scholar] [CrossRef] [PubMed]
- Chang, L.-C.; Huang, C.-F.; Lai, M.-S.; Shen, L.-J.; Wu, F.-L.L.; Cheng, W.-F. Prognostic factors in epithelial ovarian cancer: A population-based study. PLoS ONE 2018, 13, e0194993. [Google Scholar] [CrossRef] [PubMed]
- Winter, W.E., III; Maxwell, G.L.; Tian, C.; Carlson, J.W.; Ozols, R.F.; Rose, P.G.; Markman, M.; Armstrong, D.K.; Muggia, F.; McGuire, W.P. Prognostic factors for stage III epithelial ovarian cancer: A Gynecologic Oncology Group Study. J. Clin. Oncol. 2007, 25, 3621–3627. [Google Scholar] [CrossRef]
- Khalafi-Nezhad, A.; Ebrahimi, V.; Ahmadpour, F.; Momtahan, M.; Robati, M.; Saraf, Z.; Ramzi, M.; Jowkar, Z.; Ghaffari, P. Parity as a prognostic factor in patients with advanced-stage epithelial ovarian cancer. Cancer Manag. Res. 2020, 12, 1447. [Google Scholar] [CrossRef]
- Seidman, J.D.; Horkayne-Szakaly, I.; Haiba, M.; Boice, C.R.; Kurman, R.J.; Ronnett, B.M. The histologic type and stage distribution of ovarian carcinomas of surface epithelial origin. Int. J. Gynecol. Pathol. 2004, 23, 41–44. [Google Scholar] [CrossRef]
- Hess, V.; A’Hern, R.; Nasiri, N.; King, D.M.; Blake, P.R.; Barton, D.P.; Shepherd, J.H.; Ind, T.; Bridges, J.; Harrington, K. Mucinous epithelial ovarian cancer: A separate entity requiring specific treatment. J. Clin. Oncol. 2004, 22, 1040–1044. [Google Scholar] [CrossRef]
- Ledermann, J.A.; Luvero, D.; Shafer, A.; O’Connor, D.; Mangili, G.; Friedlander, M.; Pfisterer, J.; Mirza, M.R.; Kim, J.-W.; Alexandre, J. Gynecologic Cancer InterGroup (GCIG) consensus review for mucinous ovarian carcinoma. Int. J. Gynecol. Cancer 2014, 24, S14–S19. [Google Scholar] [CrossRef] [PubMed]
- Morice, P.; Dubernard, G.; Rey, A.; Atallah, D.; Pautier, P.; Pomel, C.; Lhommé, C.; Duvillard, P.; Castaigne, D. Results of interval debulking surgery compared with primary debulking surgery in advanced stage ovarian cancer. J. Am. Coll. Surg. 2003, 197, 955–963. [Google Scholar] [CrossRef] [PubMed]
- Morice, P.; Gouy, S.; Leary, A. Mucinous ovarian carcinoma. N. Engl. J. Med. 2019, 380, 1256–1266. [Google Scholar] [CrossRef] [PubMed]
- Stewart, C.; Ralyea, C.; Lockwood, S. Ovarian cancer: An integrated review. Semin. Oncol. Nurs. 2019, 35, 151–156. [Google Scholar] [CrossRef] [PubMed]
- Nash, Z.; Menon, U. Ovarian cancer screening: Current status and future directions. Best Pract. Res. Clin. Obstet. Gynaecol. 2020, 65, 32–45. [Google Scholar] [CrossRef] [PubMed]
- Torre, L.A.; Trabert, B.; DeSantis, C.E.; Miller, K.D.; Samimi, G.; Runowicz, C.D.; Gaudet, M.M.; Jemal, A.; Siegel, R.L. Ovarian cancer statistics, 2018. CA Cancer J. Clin. 2018, 68, 284–296. [Google Scholar] [CrossRef] [PubMed]
- Sahu, S.; Agrawal, S.; Shirazi, N.; Kapruwan, H.; Dasgupta, P.; Ghildiyal, D.; Singh, S. Primary peritoneal papillary serous Cystadenocarcinoma-a rare malignancy. Chirurgia 2015, 110, 570–572. [Google Scholar]
- WHO. Female Genital Tumours; International Agency for Research on Cancer: Lyon, France, 2020. [Google Scholar]
- Colombo, N.; Sessa, C.; du Bois, A.; Ledermann, J.; McCluggage, W.G.; McNeish, I.; Morice, P.; Pignata, S.; Ray-Coquard, I.; Vergote, I. ESMO–ESGO consensus conference recommendations on ovarian cancer: Pathology and molecular biology, early and advanced stages, borderline tumours and recurrent disease. Ann. Oncol. 2019, 30, 672–705. [Google Scholar] [CrossRef]
- Jayson, G.C.; Kohn, E.C.; Kitchener, H.C.; Ledermann, J.A. Ovarian cancer. Lancet 2014, 384, 1376–1388. [Google Scholar] [CrossRef]
- Armstrong, D.K.; Alvarez, R.D.; Backes, F.J.; Bakkum-Gamez, J.N.; Barroilhet, L.; Behbakht, K.; Berchuck, A.; Chen, L.-M.; Chitiyo, V.C.; Cristea, M. NCCN guidelines® insights: Ovarian cancer, version 3.2022: Featured updates to the NCCN guidelines. J. Natl. Compr. Cancer Netw. 2022, 20, 972–980. [Google Scholar] [CrossRef]
- Hadjisavvas, A.; Charalambous, E.; Adamou, A.; Christodoulou, C.G.; Kyriacou, K. BRCA2 germline mutations in Cypriot patients with familial breast/ovarian cancer. Hum. Mutat. 2003, 21, 171. [Google Scholar] [CrossRef] [PubMed]
- Hadjisavvas, A.; Charalambous, E.; Adamou, A.; Neuhausen, S.L.; Christodoulou, C.G.; Kyriacou, K. Hereditary breast and ovarian cancer in Cyprus: Identification of a founder BRCA2 mutation. Cancer Genet. Cytogenet. 2004, 151, 152–156. [Google Scholar] [CrossRef] [PubMed]
- Loizidou, M.; Hadjisavvas, A.; Pirpa, P.; Spanou, E.; Delikurt, T.; Tanteles, G.; Daniel, M.; Kountourakis, P.; Malas, S.; Ioannidis, G. BRCA1 and BRCA2 mutation testing in Cyprus; a population based study. Clin. Genet. 2017, 91, 611–615. [Google Scholar] [CrossRef] [PubMed]
- Von Elm, E.; Altman, D.G.; Egger, M.; Pocock, S.J.; Gøtzsche, P.C.; Vandenbroucke, J.P. The Strengthening the Reporting of Observational Studies in Epidemiology (STROBE) statement: Guidelines for reporting observational studies. Lancet 2007, 370, 1453–1457. [Google Scholar] [CrossRef] [PubMed]
- Pectasides, D.; Papaxoinis, G.; Fountzilas, G.; Aravantinos, G.; Bamias, A.; Pavlidis, N.; Kalofonos, H.; Timotheadou, E.; Samantas, E.; Briasoulis, E. Epithelial ovarian cancer in Greece: A retrospective study of 1791 patients by the Hellenic Cooperative Oncology Group (HeCOG). Anticancer Res. 2009, 29, 745–751. [Google Scholar] [PubMed]
- Tejerizo-García, Á.; Jiménez-López, J.S.; Muñoz-González, J.L.; Bartolomé-Sotillos, S.; Marqueta-Marqués, L.; López-González, G.; Gómez, J.F.P.-R. Overall survival and disease-free survival in endometrial cancer: Prognostic factors in 276 patients. OncoTargets Ther. 2013, 6, 1305–1313. [Google Scholar]
- Chan, J.K.; Teoh, D.; Hu, J.M.; Shin, J.Y.; Osann, K.; Kapp, D.S. Do clear cell ovarian carcinomas have poorer prognosis compared to other epithelial cell types? A study of 1411 clear cell ovarian cancers. Gynecol. Oncol. 2008, 109, 370–376. [Google Scholar] [CrossRef]
- Gadducci, A.; Cosio, S.; Zola, P.; Sostegni, B.; Fuso, L.; Sartori, E. Prognostic factors and clinical outcome of patients with recurrent early-stage epithelial ovarian cancer: An Italian multicenter retrospective study. Int. J. Gynecol. Cancer 2013, 23, 461–468. [Google Scholar] [CrossRef]
- Classe, J.; Jaffre, I.; Frenel, J.; Bordes, V.; Dejode, M.; Dravet, F.; Ferron, G.; Marchal, F.; Rigaud, D.B.; Loussouarn, D. Prognostic factors for patients treated for a recurrent FIGO stage III ovarian cancer: A retrospective study of 108 cases. Eur. J. Surg. Oncol. (EJSO) 2011, 37, 971–977. [Google Scholar] [CrossRef]
- Wei, W.; Li, N.; Sun, Y.; Li, B.; Xu, L.; Wu, L. Clinical outcome and prognostic factors of patients with early-stage epithelial ovarian cancer. Oncotarget 2017, 8, 23862. [Google Scholar] [CrossRef]
- Brun, J.-L.; Feyler, A.; Chêne, G.; Saurel, J.; Brun, G.; Hocké, C. Long-term results and prognostic factors in patients with epithelial ovarian cancer. Gynecol. Oncol. 2000, 78, 21–27. [Google Scholar] [CrossRef] [PubMed]
- Creasman, W.; Odicino, F.; Maisonneuve, P.; Quinn, M.; Beller, U.; Benedet, J.; Heintz, A.; Ngan, H.; Pecorelli, S. Carcinoma of the corpus uteri. Int. J. Gynecol. Obstet. 2006, 95, S105–S143. [Google Scholar] [CrossRef] [PubMed]
- Steiner, E.; Eicher, O.; Sagemüller, J.; Schmidt, M.; Pilch, H.; Tanner, B.; Hengstler, J.; Hofmann, M.; Knapstein, P. Multivariate independent prognostic factors in endometrial carcinoma: A clinicopathologic study in 181 patients. Int. J. Gynecol. Cancer 2003, 13, 197–203. [Google Scholar] [CrossRef] [PubMed]
- Kosary, C.L. FIGO stage, histology, histologic grade, age and race as prognostic factors in determining survival for cancers of the female gynecological system: An analysis of 1973-87 SEER cases of cancers of the endometrium, cervix, ovary, vulva, and vagina. Semin. Surg. Oncol. 1994, 10, 31–46. [Google Scholar] [CrossRef] [PubMed]
- Irodi, A.; Rye, T.; Herbert, K.; Churchman, M.; Bartos, C.; Mackean, M.; Nussey, F.; Herrington, C.S.; Gourley, C.; Hollis, R. Patterns of clinicopathological features and outcome in epithelial ovarian cancer patients: 35 years of prospectively collected data. BJOG Int. J. Obstet. Gynaecol. 2020, 127, 1409–1420. [Google Scholar] [CrossRef] [PubMed]
- Omura, G.A.; Brady, M.; Homesley, H.; Yordan, E.; Major, F.; Buchsbaum, H.; Park, R. Long-term follow-up and prognostic factor analysis in advanced ovarian carcinoma: The Gynecologic Oncology Group experience. J. Clin. Oncol. 1991, 9, 1138–1150. [Google Scholar] [CrossRef] [PubMed]
- Swenerton, K.; Hislop, T.; Spinelli, J.; LeRiche, J.; Yang, N.; Boyes, D. Ovarian carcinoma: A multivariate analysis of prognostic factors. Obstet. Gynecol. 1985, 65, 264–270. [Google Scholar] [PubMed]
- Yan, D.-D.; Tang, Q.; Chen, J.-H.; Tu, Y.-Q.; Lv, X.-J. Prognostic value of the 2018 FIGO staging system for cervical cancer patients with surgical risk factors. Cancer Manag. Res. 2019, 11, 5473–5480. [Google Scholar] [CrossRef]
- Ledermann, J.; Harter, P.; Gourley, C.; Friedlander, M.; Vergote, I.; Rustin, G.; Scott, C.; Meier, W.; Shapira-Frommer, R.; Safra, T. Olaparib maintenance therapy in platinum-sensitive relapsed ovarian cancer. N. Engl. J. Med. 2012, 366, 1382–1392. [Google Scholar] [CrossRef]
- Wu, Y.S.; Shui, L.; Shen, D.; Chen, X. Bevacizumab combined with chemotherapy for ovarian cancer: An updated systematic review and meta-analysis of randomized controlled trials. Oncotarget 2017, 8, 10703. [Google Scholar] [CrossRef]
- Ledermann, J.; Harter, P.; Gourley, C.; Friedlander, M.; Vergote, I.; Rustin, G.; Scott, C.L.; Meier, W.; Shapira-Frommer, R.; Safra, T. Olaparib maintenance therapy in patients with platinum-sensitive relapsed serous ovarian cancer: A preplanned retrospective analysis of outcomes by BRCA status in a randomised phase 2 trial. Lancet Oncol. 2014, 15, 852–861. [Google Scholar] [CrossRef] [PubMed]
- Tewari, D.; Java, J.J.; Salani, R.; Armstrong, D.K.; Markman, M.; Herzog, T.; Monk, B.J.; Chan, J.K. Long-term survival advantage and prognostic factors associated with intraperitoneal chemotherapy treatment in advanced ovarian cancer: A gynecologic oncology group study. J. Clin. Oncol. 2015, 33, 1460. [Google Scholar] [CrossRef] [PubMed]
- Chang, S.-J.; Hodeib, M.; Chang, J.; Bristow, R.E. Survival impact of complete cytoreduction to no gross residual disease for advanced-stage ovarian cancer: A meta-analysis. Gynecol. Oncol. 2013, 130, 493–498. [Google Scholar] [CrossRef] [PubMed]
- Wimberger, P.; Wehling, M.; Lehmann, N.; Kimmig, R.; Schmalfeldt, B.; Burges, A.; Harter, P.; Pfisterer, J.; du Bois, A. Influence of residual tumor on outcome in ovarian cancer patients with FIGO stage IV disease: An exploratory analysis of the AGO-OVAR (Arbeitsgemeinschaft Gynaekologische Onkologie Ovarian Cancer Study Group). Ann. Surg. Oncol. 2010, 17, 1642–1648. [Google Scholar] [CrossRef] [PubMed]





| Characteristics | Number of Patients (%) | Median Overall Survival (Months) (95% C.I) | p-Value 3 | Progression-Free Survival (Months) (95% C.I) | p-Value 3 |
|---|---|---|---|---|---|
| Median age at the time of diagnosis (IQR) | 58 (49–64) | - | - | - | - |
| Age group 1 | |||||
| Less than 60 years old | 62 (58.5) | 44.0 (38.2, 49.8) | 0.399 | 16.0 (10.8, 21.2) | 0.345 |
| More than 60 years old | 44 (41.5) | 39.0 (31.7, 46.3) | 12.0 (9.8, 14.2) | ||
| FIGO stage 1 | |||||
| Stage I | 12 (11.3) | 142.0 (84.0, 145.6) | <0.001 | 60.0 (38.2, 90.8) | 0.006 |
| Stage II | 8 (7.6) | 35.0 (20.0, 50.0) | 19.0 (8.3, 29.7) | ||
| Stage III | 63 (59.4) | 43.0 (38.1, 47.9) | 14.0 (11.9, 16.1) | ||
| Stage IV | 23 (21.7) | 33.0 (21.3, 44.7) | 13.0 (11.1, 14.9) | ||
| Histologic type 2 | |||||
| High-grade ovarian serous carcinoma | 75 (73.5) | 41.0 (36.8, 45.2) | 0.338 | 14.0 (12.6, 15.3) | 0.658 |
| Other types | 27 (26.5) | 42.0 (28.3, 55.7) | 17.0 (10.3, 23.7) | ||
| Type of surgery 1 | |||||
| Primary debulking surgery | 74 (69.8) | 46.0 (34.7, 57.3) | <0.001 | 15.0 (11.8, 18.3) | 0.065 |
| Interval debulking surgery | 26 (24.5) | 35.0 (27.8, 42.2) | 14.0 (12.8, 15.2) | ||
| No surgery | 6 (5.7) | 21.0 (0.0, 45.0) | 9.0 (0.0, 18.6) | ||
| Performance status 2 (ECOG) | |||||
| 0 | 40 (38.5) | 90.0 (53.6, 126.4) | <0.001 | 58.0 (45.2, 74.0) | <0.001 |
| >0 | 64 (61.5) | 34.0 (30.1, 37.8) | 11.0 (9.1, 12.9) | ||
| Univariate | Multivariate | |||
|---|---|---|---|---|
| HR (95% C.I) | p-Value | HR (95% C.I) | p-Value | |
| Age at the time of diagnosis | 1.02 (1.00, 1.05) | 0.062 | 1.02 (1.00, 1.05) | 0.073 |
| Performance status (ECOG) | ||||
| 0 | Ref | Ref | ||
| >0 | 0.16 (0.08, 0.34) | <0.001 | 0.19 (0.08, 0.44) | <0.001 |
| FIGO stage | ||||
| Stage I | Ref | Ref | ||
| Stage II | 0.05 (0.01, 0.36) | 0.003 | 0.06 (0.07, 0.49) | 0.009 |
| Stage III | 0.40 (0.12, 1.39) | 0.151 | 0.78 (0.21, 2.95) | 0.719 |
| Stage IV | 0.49 (0.27, 0.88) | 0.017 | 0.54 (0.29, 1.00) | 0.05 |
| Type of surgery | ||||
| No surgery | Ref | Ref | ||
| Primary debulking surgery | 2.25 (0.90, 5.60) | 0.082 | 1.89 (0.72, 4.94) | 0.197 |
| Interval debulking surgery | 0.50 (0.29, 0.84) | 0.009 | 0.80 (0.47, 1.37) | 0.418 |
Disclaimer/Publisher’s Note: The statements, opinions and data contained in all publications are solely those of the individual author(s) and contributor(s) and not of MDPI and/or the editor(s). MDPI and/or the editor(s) disclaim responsibility for any injury to people or property resulting from any ideas, methods, instructions or products referred to in the content. |
© 2023 by the authors. Licensee MDPI, Basel, Switzerland. This article is an open access article distributed under the terms and conditions of the Creative Commons Attribution (CC BY) license (https://creativecommons.org/licenses/by/4.0/).
Share and Cite
Andreou, M.; Kyprianidou, M.; Cortas, C.; Polycarpou, I.; Papamichael, D.; Kountourakis, P.; Giannakou, K. Prognostic Factors Influencing Survival in Ovarian Cancer Patients: A 10-Year Retrospective Study. Cancers 2023, 15, 5710. https://doi.org/10.3390/cancers15245710
Andreou M, Kyprianidou M, Cortas C, Polycarpou I, Papamichael D, Kountourakis P, Giannakou K. Prognostic Factors Influencing Survival in Ovarian Cancer Patients: A 10-Year Retrospective Study. Cancers. 2023; 15(24):5710. https://doi.org/10.3390/cancers15245710
Chicago/Turabian StyleAndreou, Maria, Maria Kyprianidou, Christos Cortas, Irene Polycarpou, Demetris Papamichael, Panteleimon Kountourakis, and Konstantinos Giannakou. 2023. "Prognostic Factors Influencing Survival in Ovarian Cancer Patients: A 10-Year Retrospective Study" Cancers 15, no. 24: 5710. https://doi.org/10.3390/cancers15245710
APA StyleAndreou, M., Kyprianidou, M., Cortas, C., Polycarpou, I., Papamichael, D., Kountourakis, P., & Giannakou, K. (2023). Prognostic Factors Influencing Survival in Ovarian Cancer Patients: A 10-Year Retrospective Study. Cancers, 15(24), 5710. https://doi.org/10.3390/cancers15245710

