A Prognostic Model to Predict Ruxolitinib Discontinuation and Death in Patients with Myelofibrosis
Abstract
:Simple Summary
Abstract
1. Introduction
2. Materials and Methods
2.1. Study Setting and Definitions
2.2. Ethical Aspects
2.3. Statistical Analysis
3. Results
3.1. Study Cohort
3.2. Outcome According to Timing of Ruxolitinib Discontinuation
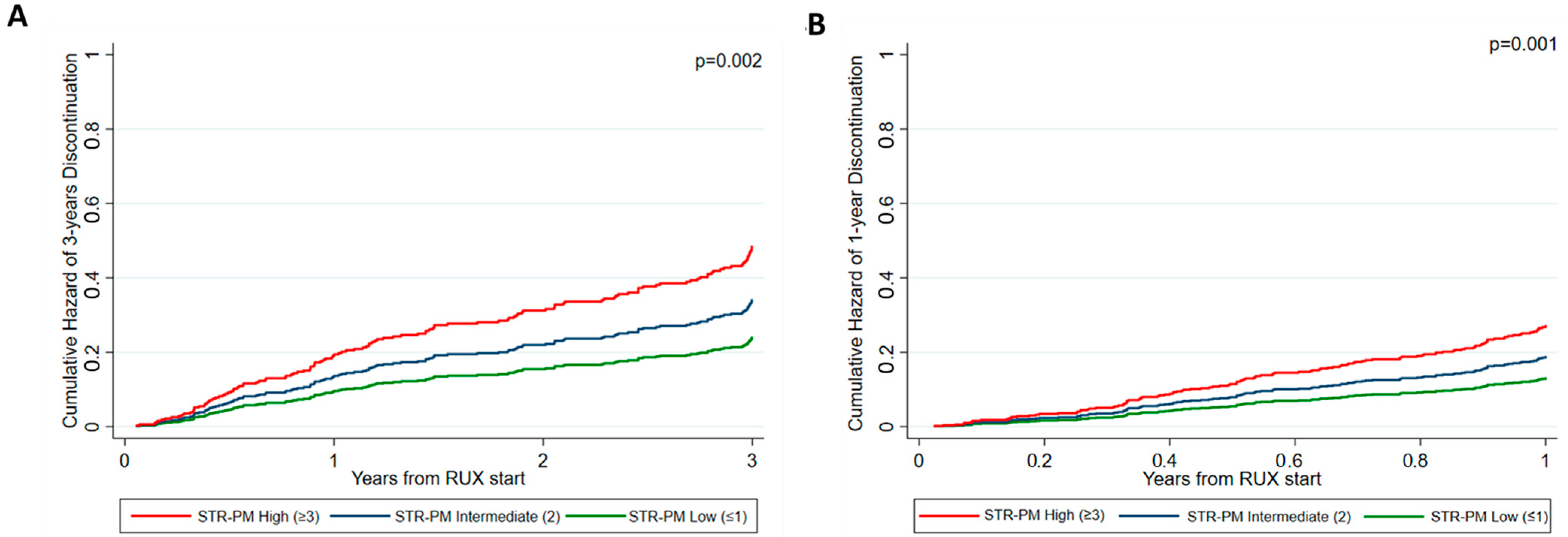
3.3. The Short-Term Ruxolitinib Prognostic Model (STR-PM)
3.4. Expanding the STR-PM to Earlier Timepoints
4. Discussion
5. Conclusions
Supplementary Materials
Author Contributions
Funding
Institutional Review Board Statement
Informed Consent Statement
Data Availability Statement
Acknowledgments
Conflicts of Interest
References
- Pemmaraju, N.; Bose, P.; Rampal, R.; Gerds, A.T.; Fleischman, A.; Verstovsek, S. Ten years after ruxolitinib approval for myelofibrosis: A review of clinical efficacy. Leuk. Lymphoma 2023, 64, 1063–1081. Available online: https://pubmed.ncbi.nlm.nih.gov/37081809/ (accessed on 29 August 2023). [CrossRef] [PubMed]
- Guglielmelli, P.; Ghirardi, A.; Carobbio, A.; Masciulli, A.; Maccari, C.; Mora, B.; Rumi, E.; Triguero, A.; Finazzi, M.C.; Pettersson, H.; et al. Impact of ruxolitinib on survival of patients with myelofibrosis in the real world: Update of the ERNEST Study. Blood Adv. 2022, 6, 373–375. Available online: https://pubmed.ncbi.nlm.nih.gov/34753179/ (accessed on 29 August 2023). [CrossRef] [PubMed]
- Palandri, F.; Palumbo, G.A.; Bonifacio, M.; Tiribelli, M.; Benevolo, G.; Martino, B.; Abruzzese, E.; D’Adda, M.; Polverelli, N.; Bergamaschi, M.; et al. Baseline factors associated with response to ruxolitinib: An independent study on 408 patients with myelofibrosis. Oncotarget 2017, 8, 79073–79086. Available online: www.impactjournals.com/oncotarget (accessed on 24 July 2023). [CrossRef] [PubMed]
- Maffioli, M.; Mora, B.; Ball, S.; Iurlo, A.; Elli, E.M.; Finazzi, M.C.; Polverelli, N.; Rumi, E.; Caramella, M.; Carraro, M.C.; et al. A prognostic model to predict survival after 6 months of ruxolitinib in patients with myelofibrosis. Blood Adv. 2022, 6, 1855–1864. [Google Scholar] [CrossRef] [PubMed]
- Palandri, F.; Palumbo, G.A.; Bonifacio, M.; Breccia, M.; Latagliata, R.; Martino, B.; Polverelli, N.; Abruzzese, E.; Tiribelli, M.; Nicolosi, M.; et al. Durability of spleen response affects the outcome of ruxolitinib-treated patients with myelofibrosis: Results from a multicentre study on 284 patients. Leuk. Res. 2018, 74, 86–88. Available online: https://pubmed.ncbi.nlm.nih.gov/30321784/ (accessed on 29 August 2023). [CrossRef] [PubMed]
- Vannucchi, A.M.; Kantarjian, H.M.; Kiladjian, J.-J.; Gotlib, J.; Cervantes, F.; Mesa, R.A.; Sarlis, N.J.; Peng, W.; Sandor, V.; Gopalakrishna, P.; et al. A pooled analysis of overall survival in COMFORT-I and COMFORT-II, 2 randomized phase III trials of ruxolitinib for the treatment of myelofibrosis. Haematologica 2015, 100, 1139–1145. [Google Scholar] [CrossRef] [PubMed]
- Kiladjian, J.J.; Zachee, P.; Hino, M.; Pane, F.; Masszi, T.; Harrison, C.N.; Mesa, R.; Miller, C.B.; Passamonti, F.; Durrant, S.; et al. Long-term efficacy and safety of ruxolitinib versus best available therapy in polycythaemia vera (RESPONSE): 5-year follow up of a phase 3 study. Lancet Haematol. 2020, 7, e226–e237. [Google Scholar] [CrossRef] [PubMed]
- Newberry, K.J.; Patel, K.; Masarova, L.; Luthra, R.; Manshouri, T.; Jabbour, E.; Bose, P.; Daver, N.; Cortes, J.; Kantarjian, H.; et al. Clonal evolution and outcomes in myelofibrosis after ruxolitinib discontinuation. Blood 2017, 130, 1125–1131. [Google Scholar] [CrossRef]
- Palandri, F.; Breccia, M.; Bonifacio, M.; Polverelli, N.; Elli, E.M.; Benevolo, G.; Tiribelli, M.; Abruzzese, E.; Iurlo, A.; Heidel, F.H.; et al. Life after ruxolitinib: Reasons for discontinuation, impact of disease phase, and outcomes in 218 patients with myelofibrosis. Cancer 2020, 126, 1243–1252. Available online: https://pubmed.ncbi.nlm.nih.gov/31860137/ (accessed on 24 July 2023). [CrossRef]
- Pardanani, A.; Tefferi, A.; Masszi, T.; Mishchenko, E.; Drummond, M.; Jourdan, E.; Vannucchi, A.; Jurgutis, M.; Ribrag, V.; Rambaldi, A.; et al. Updated results of the placebo-controlled, phase III JAKARTA trial of fedratinib in patients with intermediate-2 or high-risk myelofibrosis. Br. J. Haematol. 2021, 195, 244–248. Available online: https://pubmed.ncbi.nlm.nih.gov/34331348/ (accessed on 16 August 2023). [CrossRef]
- Harrison, C.N.; Schaap, N.; Vannucchi, A.M.; Kiladjian, J.; Jourdan, E.; Silver, R.T.; Schouten, H.C.; Passamonti, F.; Zweegman, S.; Talpaz, M.; et al. Fedratinib in patients with myelofibrosis previously treated with ruxolitinib: An updated analysis of the JAKARTA2 study using stringent criteria for ruxolitinib failure. Am. J. Hematol. 2020, 95, 594–603. Available online: https://pubmed.ncbi.nlm.nih.gov/32129512/ (accessed on 20 July 2023). [CrossRef] [PubMed]
- CTI Biopharma Corp. Vonjo (Pacritinib). Prescribing Information. 2022. Available online: www.VONJO.com (accessed on 16 August 2023).
- Mascarenhas, J.; Hoffman, R.; Talpaz, M.; Gerds, A.T.; Stein, B.; Gupta, V.; Szoke, A.; Drummond, M.; Pristupa, A.; Granston, T.; et al. Pacritinib vs. Best Available Therapy, Including Ruxolitinib, in Patients with Myelofibrosis: A Randomized Clinical Trial. JAMA Oncol. 2018, 4, 652–659. Available online: https://pubmed.ncbi.nlm.nih.gov/29522138/ (accessed on 16 August 2023). [CrossRef]
- Mesa, R.A.; Kiladjian, J.-J.; Catalano, J.V.; Devos, T.; Egyed, M.; Hellmann, A.; McLornan, D.; Shimoda, K.; Winton, E.F.; Deng, W.; et al. SIMPLIFY-1: A Phase III Randomized Trial of Momelotinib Versus Ruxolitinib in Janus Kinase Inhibitor-Naïve Patients with Myelofibrosis. J. Clin. Oncol. 2017, 35, 3844–3850. Available online: https://pubmed.ncbi.nlm.nih.gov/28930494/ (accessed on 16 August 2023). [CrossRef] [PubMed]
- Harrison, C.N.; Vannucchi, A.M.; Platzbecker, U.; Cervantes, F.; Gupta, V.; Lavie, D.; Passamonti, F.; Winton, E.F.; Dong, H.; Kawashima, J.; et al. Momelotinib versus best available therapy in patients with myelofibrosis previously treated with ruxolitinib (SIMPLIFY 2): A randomised, open-label, phase 3 trial. Lancet Haematol. 2018, 5, e73–e81. Available online: https://pubmed.ncbi.nlm.nih.gov/29275119/ (accessed on 16 August 2023). [CrossRef] [PubMed]
- Verstovsek, S.; Gerds, A.T.; Vannucchi, A.M.; Al-Ali, H.K.; Lavie, D.; Kuykendall, A.T.; Grosicki, S.; Iurlo, A.; Goh, Y.T.; Lazaroiu, M.C.; et al. Momelotinib versus danazol in symptomatic patients with anaemia and myelofibrosis (MOMENTUM): Results from an international, double-blind, randomised, controlled, phase 3 study. Lancet 2023, 401, 269–280. Available online: https://pubmed.ncbi.nlm.nih.gov/36709073/ (accessed on 16 August 2023). [CrossRef] [PubMed]
- Coltro, G.; Mannelli, F.; Loscocco, G.G.; Mannarelli, C.; Rotunno, G.; Maccari, C.; Pancani, F.; Atanasio, A.; Vannucchi, A.M.; Guglielmelli, P. Differential prognostic impact of cytopenic phenotype in prefibrotic vs. overt primary myelofibrosis. Blood Cancer J. 2022, 12, 1–7. Available online: https://pubmed.ncbi.nlm.nih.gov/35961958/ (accessed on 16 August 2023). [CrossRef] [PubMed]
- Hernández-Boluda, J.; Correa, J.; Alvarez-Larrán, A.; Ferrer-Marín, F.; Raya, J.; Martínez-López, J.; Velez, P.; Pérez-Encinas, M.; Estrada, N.; García-Gutiérrez, V.; et al. Clinical characteristics, prognosis and treatment of myelofibrosis patients with severe thrombocytopenia. Br. J. Haematol. 2018, 181, 397–400. Available online: https://pubmed.ncbi.nlm.nih.gov/28419426/ (accessed on 16 August 2023). [CrossRef] [PubMed]
- Marcellino, B.K.; Verstovsek, S.; Mascarenhas, J. The Myelodepletive Phenotype in Myelofibrosis: Clinical Relevance and Therapeutic Implication. Clin. Lymphoma Myeloma Leuk. 2020, 20, 415–421. Available online: https://pubmed.ncbi.nlm.nih.gov/32199764/ (accessed on 16 August 2023). [CrossRef]
- Passamonti, F.; Cervantes, F.; Vannucchi, A.M.; Morra, E.; Rumi, E.; Cazzola, M.; Tefferi, A. Dynamic International Prognostic Scoring System (DIPSS) predicts progression to acute myeloid leukemia in primary myelofibrosis. Blood 2010, 116, 2857–2858. Available online: https://pubmed.ncbi.nlm.nih.gov/20947690/ (accessed on 24 July 2023). [CrossRef]
- Passamonti, F.; Giorgino, T.; Mora, B.; Guglielmelli, P.; Rumi, E.; Maffioli, M.; Rambaldi, A.; Caramella, M.; Komrokji, R.; Gotlib, J.; et al. A clinical-molecular prognostic model to predict survival in patients with post polycythemia vera and post essential thrombocythemia myelofibrosis. Leukemia 2017, 31, 2726–2731. Available online: https://pubmed.ncbi.nlm.nih.gov/28561069/ (accessed on 20 July 2023). [CrossRef]
- Tefferi, A.; Cervantes, F.; Mesa, R.; Passamonti, F.; Verstovsek, S.; Vannucchi, A.M.; Gotlib, J.; Dupriez, B.; Pardanani, A.; Harrison, C.; et al. Revised response criteria for myelofibrosis: International Working Group-Myeloproliferative Neoplasms Research and Treatment (IWG-MRT) and European LeukemiaNet (ELN) consensus report. Blood 2013, 122, 1395–1398. [Google Scholar] [CrossRef] [PubMed]
- Arber, D.A.; Orazi, A.; Hasserjian, R.; Thiele, J.; Borowitz, M.J.; Le Beau, M.M.; Bloomfield, C.D.; Cazzola, M.; Vardiman, J.W. The 2016 revision to the World Health Organization classification of myeloid neoplasms and acute leukemia. Blood 2016, 127, 2391–2405. [Google Scholar] [CrossRef] [PubMed]
- Pardanani, A.; Harrison, C.; Cortes, J.E.; Cervantes, F.; Mesa, R.A.; Milligan, D.; Masszi, T.; Mishchenko, E.; Jourdan, E.; Vannucchi, A.M.; et al. Safety and Efficacy of Fedratinib in Patients with Primary or Secondary Myelofibrosis: A Randomized Clinical Trial. JAMA Oncol. 2015, 1, 643–651. Available online: https://pubmed.ncbi.nlm.nih.gov/26181658/ (accessed on 16 August 2023). [CrossRef] [PubMed]
- Harrison, C.N.; Schaap, N.; Vannucchi, A.M.; Kiladjian, J.-J.; Tiu, R.V.; Zachee, P.; Jourdan, E.; Winton, E.; Silver, R.T.; Schouten, H.C.; et al. Janus kinase-2 inhibitor fedratinib in patients with myelofibrosis previously treated with ruxolitinib (JAKARTA-2): A single-arm, open-label, non-randomised, phase 2, multicentre study. Lancet Haematol. 2017, 4, e317–e324. Available online: https://pubmed.ncbi.nlm.nih.gov/28602585/ (accessed on 16 August 2023). [CrossRef] [PubMed]
- Tremblay, D.; Mesa, R. Momelotinib for the treatment of myelofibrosis with anemia. Future Oncol. 2022, 18, 2559–2571. Available online: https://pubmed.ncbi.nlm.nih.gov/35603634/ (accessed on 16 August 2023). [CrossRef] [PubMed]
- Verstovsek, S.; Parasuraman, S.; Yu, J.; Shah, A.; Kumar, S.; Xi, A.; Harrison, C. Real-world survival of US patients with intermediate- to high-risk myelofibrosis: Impact of ruxolitinib approval. Ann. Hematol. 2022, 101, 131–137. Available online: https://pubmed.ncbi.nlm.nih.gov/34625831/ (accessed on 24 July 2023). [CrossRef] [PubMed]
- Pemmaraju, N.; Verstovsek, S.; Mesa, R.; Gupta, V.; Garcia, J.S.; Scandura, J.M.; Oh, S.T.; Passamonti, F.; Döhner, K.; Mead, A.J. Defining disease modification in myelofibrosis in the era of targeted therapy. Cancer 2022, 128, 2420–2432. Available online: https://pubmed.ncbi.nlm.nih.gov/35499819/ (accessed on 21 June 2023). [CrossRef] [PubMed]
- Palandri, F.; Breccia, M.; Mazzoni, C.; Auteri, G.; Elli, E.M.; Trawinska, M.M.; Polverelli, N.; Tiribelli, M.; Benevolo, G.; Iurlo, A.; et al. Ruxolitinib in cytopenic myelofibrosis: Response, toxicity, drug discontinuation, and outcome. Cancer 2023, 129, 1704–1713. Available online: https://onlinelibrary.wiley.com/doi/full/10.1002/cncr.34722 (accessed on 24 July 2023). [CrossRef]
- Verstovsek, S.; Gotlib, J.; Gupta, V.; Atallah, E.; Mascarenhas, J.; Quintas-Cardama, A.; Sun, W.; Sarlis, N.J.; Sandor, V.; Levy, R.S.; et al. Management of cytopenias in patients with myelofibrosis treated with ruxolitinib and effect of dose modifications on efficacy outcomes. OncoTargets Ther. 2014, 7, 13. [Google Scholar] [CrossRef]




| Characteristics | Total Study Cohort (n.410) | |||||
|---|---|---|---|---|---|---|
| Follow-Up ≥ 5 Years | Follow-Up < 5 Years | |||||
| Long-Term on RUX (LTR) n = 172 (42%) | Short-Term on RUX (STR) n = 115 (28%) | p | Early Death on RUX (EDR) n = 123 (30%) | p (LTR vs. EDR) | p (STR vs. EDR) | |
| Age, median (range) Age ≥ 65, n. (%) | 65.9 (26.5–85.8) 94 (54.7%) | 65.4 (39.9–86.1) 59 (51.3%) | 0.34 0.58 | 73.7 (38.4–86.3) 108 (87.8%) | <0.001 <0.001 | <0.001 <0.001 |
| Male sex, n. (%) | 86 (50%) | 60 (52.2%) | 0.72 | 84 (68.3%) | 0.002 | 0.01 |
| Disease-specific risk score, n. (%) Int-1 Int-2 High | 120 (69.8%) 44 (25.6%) 8 (4.6%) | 70 (60.9%) 40 (34.8%) 5 (4.3%) | 0.27 | 34 (27.4%) 62 (50.8%) 26 (21.3%) | <0.001 | <0.001 |
| PMF, n. (%) | 74 (43%) | 66 (57.4%) | 0.02 | 68 (55.3%) | 0.04 | 0.74 |
| WBC, median (range) WBC > 25 × 109/L, n. (%) | 11.2 (2.7–70) 26 (15.1%) | 10.4 (2.2–80) 13 (11.3%) | 0.16 0.34 | 13.4 (2.2–92.3) 27 (22%) | 0.05 0.13 | 0.007 0.03 |
| PLT, median (range) PLT < 100 × 109/L, n. (%) | 291 (32–1425) 6 (3.5%) | 257 (60–1084) 11 (10%) | 0.02 0.03 | 250.5 (25–1887) 14 (11.5%) | 0.12 0.007 | 0.54 0.63 |
| Hb, median (range) Hb < 10 g/dL, n. (%) | 12.2 (7–16.8) 35 (20.4%) | 10.6 (5.7–16.3) 44 (38.3%) | <0.001 <0.001 | 9.9 (5–16.7) 65 (53.3%) | <0.001 <0.001 | 0.006 0.02 |
| Transfusion dependence, n (%) | 17 (10.6%) | 44 (38.3%) | 0.003 | 41/118 (34.8%) | <0.001 | 0.05 |
| Blasts, median (range) Blasts ≥ 1%, n. (%) | 0 (0–10) 53 (31%) | 0 (0–6) 44 (38.9%) | 0.48 0.17 | 0 (0–10) 47/121 (38.8%) | 0.25 0.16 | 0.64 0.99 |
| Palpable spleen, median (range) Spleen ≥ 10 cm, n. (%) | 10 (0–35) 84 (48.8%) | 11 (0–31) 59 (51.3%) | 0.12 0.58 | 10 (0–31) 60 (49.2%) | 0.57 0.95 | 0.27 0.64 |
| TSS, median (range) TSS ≥ 20, n. (%) | 20 (0–70) 83/165 (50.3%) | 20 (0–90) 69/110 (62.7%) | 0.005 0.04 | 23 (0–77) 83/115 (72.2%) | <0.001 <0.001 | 0.25 0.13 |
| Median years from MF diagnosis (range), Time from MF diagnosis >2 year | 0.80 (0–22.35) 63 (36.6%) | 2 (0–31.7) 57 (49.6%) | 0.01 0.03 | 1 (0–18.2) 50 (40.7%) | 0.32 0.48 | 0.09 0.17 |
| Ruxolitinib starting dose, n. (%) <10 mg BID | 15 (8.7%) | 29 (25.2%) | <0.001 | 25 (20.3%) | 0.004 | 0.37 |
| Spleen response, % on evaluable At 3 months At 6 months | 35.2% 39.5% | 24.2% 32.6% | 0.07 0.29 | 18.4% 17.5% | 0.003 <0.001 | 0.05 0.02 |
| Symptoms response, % on evaluable At 3 months At 6 months | 72.1% 75.8% | 61.0% 72.8% | 0.06 0.6 | 53.3% 61.5% | 0.002 0.02 | 0.26 0.10 |
| Treatment-emergent anemia, % on evaluable At 3 months At 6 months | 64.2% 49% | 67.8% 49.4% | 0.58 0.96 | 53.8% 33.9% | 0.13 0.04 | 0.07 0.06 |
| Treatment-emergent thrombocytopenia, % on evaluable At 3 months At 6 months | 20.6% 28.7% | 23.1% 44% | 0.63 0.008 | 29.7% 39.2% | 0.08 0.07 | 0.27 0.48 |
Disclaimer/Publisher’s Note: The statements, opinions and data contained in all publications are solely those of the individual author(s) and contributor(s) and not of MDPI and/or the editor(s). MDPI and/or the editor(s) disclaim responsibility for any injury to people or property resulting from any ideas, methods, instructions or products referred to in the content. |
© 2023 by the authors. Licensee MDPI, Basel, Switzerland. This article is an open access article distributed under the terms and conditions of the Creative Commons Attribution (CC BY) license (https://creativecommons.org/licenses/by/4.0/).
Share and Cite
Palandri, F.; Palumbo, G.A.; Bonifacio, M.; Elli, E.M.; Tiribelli, M.; Auteri, G.; Trawinska, M.M.; Polverelli, N.; Benevolo, G.; Tieghi, A.; et al. A Prognostic Model to Predict Ruxolitinib Discontinuation and Death in Patients with Myelofibrosis. Cancers 2023, 15, 5027. https://doi.org/10.3390/cancers15205027
Palandri F, Palumbo GA, Bonifacio M, Elli EM, Tiribelli M, Auteri G, Trawinska MM, Polverelli N, Benevolo G, Tieghi A, et al. A Prognostic Model to Predict Ruxolitinib Discontinuation and Death in Patients with Myelofibrosis. Cancers. 2023; 15(20):5027. https://doi.org/10.3390/cancers15205027
Chicago/Turabian StylePalandri, Francesca, Giuseppe A. Palumbo, Massimiliano Bonifacio, Elena M. Elli, Mario Tiribelli, Giuseppe Auteri, Malgorzata M. Trawinska, Nicola Polverelli, Giulia Benevolo, Alessia Tieghi, and et al. 2023. "A Prognostic Model to Predict Ruxolitinib Discontinuation and Death in Patients with Myelofibrosis" Cancers 15, no. 20: 5027. https://doi.org/10.3390/cancers15205027
APA StylePalandri, F., Palumbo, G. A., Bonifacio, M., Elli, E. M., Tiribelli, M., Auteri, G., Trawinska, M. M., Polverelli, N., Benevolo, G., Tieghi, A., Cavalca, F., Caocci, G., Beggiato, E., Binotto, G., Cavazzini, F., Miglino, M., Bosi, C., Crugnola, M., Bocchia, M., ... Breccia, M. (2023). A Prognostic Model to Predict Ruxolitinib Discontinuation and Death in Patients with Myelofibrosis. Cancers, 15(20), 5027. https://doi.org/10.3390/cancers15205027

