The Relationship between Furin and Chronic Inflammation in the Progression of Cervical Intraepithelial Neoplasia to Cancer: A Cross-Sectional Study
Abstract
Simple Summary
Abstract
1. Introduction
2. Materials and Methods
2.1. Study Design
2.2. Immunohistochemistry & Evaluation
2.3. Indices
2.4. Statistics
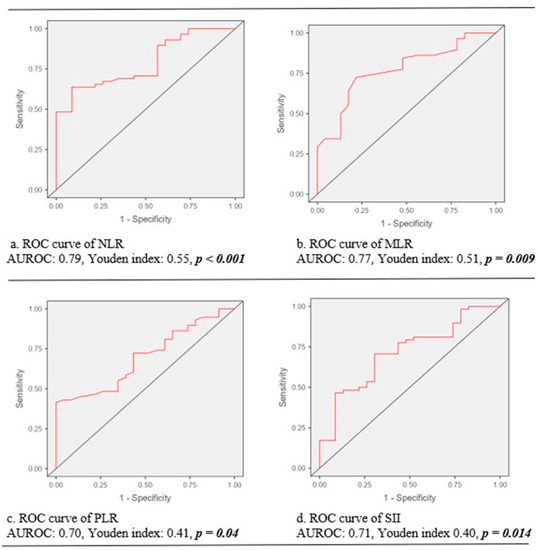
3. Results
4. Discussion
5. Conclusions
The Limitations of the Study
Author Contributions
Funding
Institutional Review Board Statement
Informed Consent Statement
Data Availability Statement
Conflicts of Interest
References
- Singh, D.; Vignat, J.; Lorenzoni, V.; Eslahi, M.; Ginsburg, O.; Lauby-Secretan, B.; Arbyn, M.; Basu, P.; Bray, F.; Vaccarella, S. Global estimates of incidence and mortality of cervical cancer in 2020, a baseline analysis of the WHO Global Cervical Cancer Elimination Initiative. Lancet Glob. Health 2023, 11, e197–e206. [Google Scholar] [CrossRef] [PubMed]
- Chu, D.; Liu, T.; Yao, Y. Implications of viral infections and oncogenesis in uterine cervical carcinoma etiology and pathogenesis. Front. Microbiol. 2023, 14, 1194431. [Google Scholar] [CrossRef]
- Evans, A.M.; Salnikov, M.; Gameiro, S.F.; Maleki Vareki, S.; Mymryk, J.S. HPV-Positive and -Negative Cervical Cancers Are Immunologically Distinct. J. Clin. Med. 2022, 11, 4825. [Google Scholar] [CrossRef]
- Chen, R.; Zhang, R.; Zhang, M.; Liu, S.; Xie, M.; Yang, Z.; Shi, Q.; Chen, H.; Xiong, H.; Wang, N.; et al. CIN grades possessing different HPV RNA location patterns and RNAscope is a helpful tool for distinguishing squamous intraepithelial lesions in difficult cervical cases. Diagn. Pathol. 2023, 18, 23. [Google Scholar] [CrossRef] [PubMed]
- Hemmat, N.; Bannazadeh Baghi, H. Association of human papillomavirus infection and inflammation in cervical cancer. Pathog. Dis. 2019, 77, ftz048. [Google Scholar] [CrossRef]
- Lifsics, A.; Cistjakovs, M.; Sokolovska, L.; Deksnis, R.; Murovska, M.; Groma, V. The Role of the p16 and p53 Tumor Suppressor Proteins and Viral HPV16 E6 and E7 Oncoproteins in the Assessment of Survival in Patients with Head and Neck Cancers Associated with Human Papillomavirus Infections. Cancers 2023, 15, 2722. [Google Scholar] [CrossRef] [PubMed]
- Kines, R.C.; Schiller, J.T. Harnessing Human Papillomavirus’ Natural Tropism to Target Tumors. Viruses 2022, 14, 1656. [Google Scholar] [CrossRef]
- Cruz, L.; Biryukov, J.; Conway, M.J.; Meyers, C. Cleavage of the HPV16 Minor Capsid Protein L2 during Virion Morphogenesis Ablates the Requirement for Cellular Furin during De Novo Infection. Viruses 2015, 7, 5813–5830. [Google Scholar] [CrossRef] [PubMed]
- Wang, J.W.; Roden, R.B. L2, the minor capsid protein of papillomavirus. Virology 2013, 445, 175–186. [Google Scholar] [CrossRef]
- Derynck, R.; Turley, S.J.; Akhurst, R.J. TGFβ biology in cancer progression and immunotherapy. Nat. Rev. Clin. Oncol. 2021, 18, 9–34. [Google Scholar] [CrossRef]
- Tomé, M.; Pappalardo, A.; Soulet, F.; López, J.J.; Olaizola, J.; Leger, Y.; Dubreuil, M.; Mouchard, A.; Fessart, D.; Delom, F.; et al. Inactivation of proprotein convertases in T cells Inhibits PD-1 expression and creates a favorable immune microenvironment in colorectal cancer. Cancer Res. 2019, 79, 5008–5021. [Google Scholar] [CrossRef] [PubMed]
- DeNardo, D.G.; Ruffell, B. Macrophages as regulators of tumour immunity and immunotherapy. Nat. Rev. Immunol. 2019, 19, 369–382. [Google Scholar] [CrossRef] [PubMed]
- Rose, M.; Duhamel, M.; Rodet, F.; Salzet, M. The role of proprotein convertases in the regulation of the function of immune cells in the oncoimmune response. Front. Immunol. 2021, 12, 667850. [Google Scholar] [CrossRef] [PubMed]
- Cordova, Z.M.; Grönholm, A.; Kytölä, V.; Taverniti, V.; Hämäläinen, S.; Aittomäki, S.; Niininen, W.; Junttila, I.; Ylipää, A.; Nykter, M.; et al. Myeloid cell-expressed proprotein convertase furin attenuates inflammation. Oncotarget 2016, 7, 54392–54404. [Google Scholar] [CrossRef]
- Huang, H.; Liu, Q.; Zhu, L.; Zhang, Y.; Lu, X.; Wu, Y.; Liu, L. Prognostic Value of Preoperative Systemic Immune-Inflammation Index in Patients with Cervical Cancer. Sci. Rep. 2019, 9, 3284. [Google Scholar] [CrossRef]
- Xiong, S.; Dong, L.; Cheng, L. Neutrophils in cancer carcinogenesis and metastasis. J. Hematol. Oncol. 2021, 14, 173. [Google Scholar] [CrossRef]
- Cupp, M.A.; Cariolou, M.; Tzoulaki, I.; Aune, D.; Evangelou, E.; Berlanga-Taylor, A.J. Neutrophil to lymphocyte ratio and cancer prognosis: An umbrella review of systematic reviews and meta-analyses of observational studies. BMC Med. 2020, 18, 360. [Google Scholar] [CrossRef]
- Kumarasamy, C.; Tiwary, V.; Sunil, K.; Suresh, D.; Shetty, S.; Muthukaliannan, G.K.; Baxi, S.; Jayaraj, R. Prognostic Utility of Platelet-Lymphocyte Ratio, Neutrophil-Lymphocyte Ratio and Monocyte-Lymphocyte Ratio in Head and Neck Cancers: A Detailed PRISMA Compliant Systematic Review and Meta-Analysis. Cancers 2021, 13, 4166. [Google Scholar] [CrossRef]
- Hirahara, N.; Matsubara, T.; Kaji, S.; Hayashi, H.; Sasaki, Y.; Kawakami, K.; Hyakudomi, R.; Yamamoto, T.; Tajima, Y. Novel inflammation-combined prognostic index to predict survival outcomes in patients with gastric cancer. Oncotarget 2023, 14, 71–82. [Google Scholar] [CrossRef]
- Rossi, S.; Basso, M.; Strippoli, A.; Schinzari, G.; D’Argento, E.; Larocca, M.; Cassano, A.; Barone, C. Are Markers of Systemic Inflammation Good Prognostic Indicators in Colorectal Cancer? Clin. Color. Cancer 2017, 16, 264–274. [Google Scholar] [CrossRef]
- Picarelli, H.; Yamaki, V.N.; Solla, D.J.F.; Neville, I.S.; Santos, A.G.D.; de Freitas, B.S.A.G.; Diep, C.; Paiva, W.S.; Teixeira, M.J.; Figueiredo, E.G. The preoperative neutrophil-to-lymphocyte ratio predictive value for survival in patients with brain metastasis. Arq. Neuropsiquiatr. 2022, 80, 922–928. [Google Scholar] [CrossRef] [PubMed]
- Li, X.; Zhang, S.; Lu, J.; Li, C.; Li, N. The prognostic value of systemic immune-inflammation index in surgical esophageal cancer patients: An updated meta-analysis. Front. Surg. 2022, 9, 922595. [Google Scholar] [CrossRef] [PubMed]
- Ji, Y.; Wang, H. Prognostic prediction of systemic immune-inflammation index for patients with gynecological and breast cancers: A meta-analysis. World J. Surg. Oncol. 2020, 18, 197. [Google Scholar] [CrossRef] [PubMed]
- Tian, B.W.; Yang, Y.F.; Yang, C.C.; Yan, L.J.; Ding, Z.N.; Liu, H.; Xue, J.-S.; Dong, Z.-R.; Chen, Z.-Q.; Hong, J.-G.; et al. Systemic immune-inflammation index predicts prognosis of cancer immunotherapy: Systemic review and meta-analysis. Immunotherapy 2022, 14, 1481–1496. [Google Scholar] [CrossRef] [PubMed]
- Perkins, R.B.; Guido, R.S.; Castle, P.E.; Chelmow, D.; Einstein, M.H.; Garcia, F.; Huh, W.K.; Kim, J.J.; Moscicki, A.-B.; Nayar, R.; et al. 2019 ASCCP Risk-Based Management Consensus Guidelines Committee. 2019 ASCCP Risk-Based Management Consensus Guidelines for Abnormal Cervical Cancer Screening Tests and Cancer Precursors. J. Low. Genit. Tract Dis. 2020, 24, 102–131. [Google Scholar] [CrossRef]
- von Elm, E.; Altman, D.G.; Egger, M.; Pocock, S.J.; Gøtzsche, P.C.; Vandenbroucke, J.P.; STROBE Initiative. The Strengthening the Reporting of Observational Studies in Epidemiology (STROBE) statement: Guidelines for reporting observational studies. Lancet 2007, 370, 1453–1457. [Google Scholar] [CrossRef]
- Sancakli Usta, C.; Altun, E.; Afsar, S.; Bulbul, C.B.; Usta, A.; Adalı, E. Overexpression of programmed cell death ligand 1 in patients with CIN and its correlation with human papillomavirus infection and CIN persistence. Infect. Agent Cancer 2020, 15, 47. [Google Scholar] [CrossRef]
- Zehir, A.; Benayed, R.; Shah, R.H.; Syed, A.; Middha, S.; Kim, H.R.; Srinivasan, P.; Gao, J.; Chakravarty, D.; Devlin, S.M.; et al. Mutational landscape of metastatic cancer revealed from prospective clinical sequencing of 10,000 patients. Nat. Med. 2017, 23, 703–713. [Google Scholar] [CrossRef] [PubMed]
- Huo, X.; Zhou, X.; Peng, P.; Yu, M.; Zhang, Y.; Yang, J.; Cao, D.; Sun, H.; Shen, K. Identification of a six-gene signature for predicting the overall survival of cervical cancer patients. Onco Targets Ther. 2021, 14, 809–822. [Google Scholar] [CrossRef]
- Li, Y.; Chu, J.; Li, J.; Feng, W.; Yang, F.; Wang, Y.; Zhang, Y.; Sun, C.; Yang, M.; Vasilatos, S.N.; et al. Cancer/testis antigen-Plac1 promotes invasion and metastasis of breast cancer through Furin/NICD/PTEN signaling pathway. Mol. Oncol. 2018, 12, 1233–1248. [Google Scholar] [CrossRef]
- López de Cicco, R.; Watson, J.C.; Bassi, D.E.; Litwin, S.; Klein-Szanto, A.J. Simultaneous expression of furin and vascular endothelial growth factor in human oral tongue squamous cell carcinoma progression. Clin. Cancer Res. 2004, 10, 4480–4488. [Google Scholar] [CrossRef] [PubMed][Green Version]
- Mandal, R.; Ghosh, I.; Banerjee, D.; Mittal, S.; Muwonge, R.; Roy, C.; Panda, C.; Vernekar, M.; Frappart, L.; Basu, P. Correlation between p16/Ki-67 Expression and the Grade of Cervical Intraepithelial Neoplasias. Int. J. Gynecol. Pathol. 2020, 39, 384–390. [Google Scholar] [CrossRef] [PubMed]
- Liu, J.; Su, S.; Liu, Y. The value of Ki67 for the diagnosis of LSIL and the problems of p16 in the diagnosis of HSIL. Sci. Rep. 2022, 12, 7613. [Google Scholar] [CrossRef] [PubMed]
- Wang, F.L.; Yang, Y.; Liu, Z.Y.; Qin, Y.; Jin, T. Correlation between methylation of the p16 promoter and cervical cancer incidence. Eur. Rev. Med Pharmacol. Sci. 2017, 21, 2351–2356. [Google Scholar]
- Lin, W.; Niu, Z.; Zhang, H.; Kong, Y.; Wang, Z.; Yang, X.; Yuan, F. Imbalance of Th1/Th2 and Th17/Treg during the development of uterine cervical cancer. Int. J. Clin. Exp.Pathol. 2019, 12, 3604–3612. [Google Scholar]
- Jayshree, R.S. The Immune Microenvironment in Human Papilloma Virus-Induced Cervical Lesions-Evidence for Estrogen as an Immunomodulator. Front. Cell. Infect. Microbiol. 2021, 11, 649815. [Google Scholar]
- Li, C.; Hua, K. Dissecting the Single-Cell Transcriptome Network of Immune Environment Underlying Cervical Premalignant Lesion, Cervical Cancer and Metastatic Lymph Nodes. Front. Immunol. 2022, 13, 897366. [Google Scholar] [CrossRef]
- Feng, Q.; Wei, H.; Morihara, J.; Stern, J.; Yu, M.; Kiviat, N.; Hellstrom, I.; Hellstrom, K.E. Th2-type inflammation promotes the gradual progression of HPV-infected cervical cells to cervical carcinoma. Gynecol. Oncol. 2012, 127, 412–419. [Google Scholar] [CrossRef]
- Tas, M.; Yavuz, A.; Ak, M.; Ozcelik, B. Neutrophil-to-Lymphocyte Ratio and Platelet-to-Lymphocyte Ratio in Discriminating Precancerous Pathologies from Cervical Cancer. J. Oncol. 2019, 2019, 2476082. [Google Scholar] [CrossRef]
- Kara, A.; Guven, M.; Demir, D.; Yilmaz, M.S.; Gundogan, M.E.; Genc, S. Are calculated ratios and red blood cell and platelet distribution width really important for laryngeal cancer and precancerous larynx lesions? Niger. J. Clin. Pract. 2019, 22, 701–706. [Google Scholar] [CrossRef]
- Acmaz, G.; Aksoy, H.; Unal, D.; Ozyurt, S.; Cingillioglu, B.; Aksoy, U.; Muderris, I. Are neutrophil/lymphocyte and platelet/lymphocyte ratios associated with endometrial precancerous and cancerous lesions in patients with abnormal uterine bleeding? Asian Pac. J. Cancer Prev. 2014, 15, 1689–1692. [Google Scholar] [CrossRef] [PubMed]
- Xu, L.; Song, J. Elevated neutrophil-lymphocyte ratio can be a biomarker for predicting the development of cervical intraepithelial neoplasia. Medicine 2021, 100, e26335. [Google Scholar] [CrossRef] [PubMed]
- He, Z.; Khatib, A.M.; Creemers, J.W.M. The proprotein convertase furin in cancer: More than an oncogene. Oncogene 2022, 41, 1252–1262. [Google Scholar] [CrossRef] [PubMed]


| Participants (n = 81) | CIN I (n=30) | CIN II-III (n = 28) | CC (n = 23) | p | |
|---|---|---|---|---|---|
| Age (year) ± SD | 44.5 ± 13.8 | 44.7 ± 13.2 | 39.5 ± 12.9 | 50.2 ± 13.7 | 0.020 |
| Furin | <0.001 | ||||
| 0 | 17% | 16% | 1% | 0% | |
| 1 | 44% | 21% | 17% | 6% | |
| 2 | 30% | 0% | 16% | 14% | |
| 3 | 9% | 0% | 0% | 9% | |
| ki-67 | <0.001 | ||||
| 1 | 23% | 21% | 2% | 0% | |
| 2 | 19% | 11% | 4% | 4% | |
| 3 | 22% | 1% | 11% | 10% | |
| 4 | 36% | 4% | 17% | 15% | |
| p16 | <0.001 | ||||
| 0 | 37% | 26% | 5% | 6% | |
| 1 | 63% | 11% | 30% | 22% |
| Participants (n = 81) | CIN I (n = 30) | CIN II-III (n = 28) | CC (n = 23) | p | |
|---|---|---|---|---|---|
| WBC 103/μL) | 7.8 ± 2.1 | 6.2 ± 1.5 | 7.6 ± 2.0 | 8.8 ± 2.7 * | 0.012 * |
| PLT (103/μL) | 295 ± 66 | 312 ± 76 | 283 ± 60 | 281 ± 64 | 0.265 |
| NLR | 3.08 ± 4.96 | 2.26 ± 0.74 | 2.33 ± 0.77 | 5.05 ± 9.07 *** | <0.001 *** |
| MLR | 0.29 ± 0.25 | 0.26 ± 0.07 | 0.22 ± 0.06 | 0.42 ± 0.43 *** | <0.001 *** |
| PLR | 146 ± 100 | 146 ± 48 | 125 ± 30 | 163 ± 153 *** | <0.001 *** |
| SII | 900 ± 1412 | 693 ± 231 | 665 ± 300 | 1353 ± 2268 *** | <0.001 *** |
| Furin | SII | |||
|---|---|---|---|---|
| CC | p | CC | p | |
| NLR | 0.57 | <0.001 | 0.92 | <0.001 |
| MLR | 0.43 | <0.001 | 0.49 | <0.001 |
| PLR | 0.38 | <0.001 | 0.70 | <0.001 |
| SII | 0.68 | <0.001 | N/A | |
Disclaimer/Publisher’s Note: The statements, opinions and data contained in all publications are solely those of the individual author(s) and contributor(s) and not of MDPI and/or the editor(s). MDPI and/or the editor(s) disclaim responsibility for any injury to people or property resulting from any ideas, methods, instructions or products referred to in the content. |
© 2023 by the authors. Licensee MDPI, Basel, Switzerland. This article is an open access article distributed under the terms and conditions of the Creative Commons Attribution (CC BY) license (https://creativecommons.org/licenses/by/4.0/).
Share and Cite
Afsar, S.; Turan, G.; Guney, G.; Sahin, G.; Talmac, M.A.; Afsar, C.U. The Relationship between Furin and Chronic Inflammation in the Progression of Cervical Intraepithelial Neoplasia to Cancer: A Cross-Sectional Study. Cancers 2023, 15, 4878. https://doi.org/10.3390/cancers15194878
Afsar S, Turan G, Guney G, Sahin G, Talmac MA, Afsar CU. The Relationship between Furin and Chronic Inflammation in the Progression of Cervical Intraepithelial Neoplasia to Cancer: A Cross-Sectional Study. Cancers. 2023; 15(19):4878. https://doi.org/10.3390/cancers15194878
Chicago/Turabian StyleAfsar, Selim, Gulay Turan, Gurhan Guney, Gozde Sahin, Merve Aldıkactıoglu Talmac, and Cigdem Usul Afsar. 2023. "The Relationship between Furin and Chronic Inflammation in the Progression of Cervical Intraepithelial Neoplasia to Cancer: A Cross-Sectional Study" Cancers 15, no. 19: 4878. https://doi.org/10.3390/cancers15194878
APA StyleAfsar, S., Turan, G., Guney, G., Sahin, G., Talmac, M. A., & Afsar, C. U. (2023). The Relationship between Furin and Chronic Inflammation in the Progression of Cervical Intraepithelial Neoplasia to Cancer: A Cross-Sectional Study. Cancers, 15(19), 4878. https://doi.org/10.3390/cancers15194878

