Outcomes of Patients with Advanced Hepatocellular Carcinoma Receiving Lenvatinib following Immunotherapy: A Real World Evidence Study
Abstract
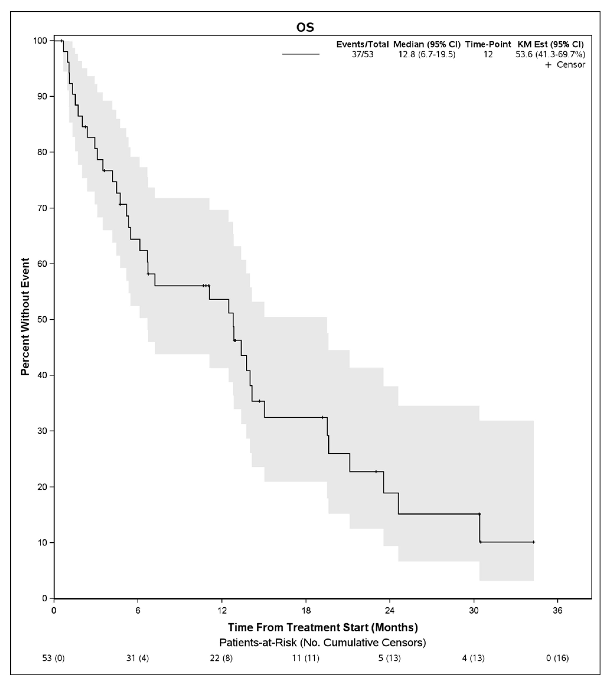
:Simple Summary
Abstract
1. Introduction
2. Methods
3. Results
4. Discussion
5. Conclusions
Author Contributions
Funding
Institutional Review Board Statement
Informed Consent Statement
Data Availability Statement
Conflicts of Interest
References
- McGlynn, K.A.; Petrick, J.L.; El-Serag, H.B. Epidemiology of Hepatocellular Carcinoma. Hepatology 2021, 73, 4–13. [Google Scholar] [CrossRef] [PubMed]
- Sung, H.; Ferlay, J.; Siegel, R.L.; Laversanne, M.; Soerjomataram, I.; Jemal, A.; Bray, F. Global Cancer Statistics 2020: GLOBOCAN Estimates of Incidence and Mortality Worldwide for 36 Cancers in 185 Countries. CA A Cancer J. Clin. 2021, 71, 209–249. [Google Scholar] [CrossRef]
- Ries, L.A.; Eisner, M.P.; Kosary, C.L.; Hankey, B.F.; Miller, B.A.; Clegg, L. Surveillance, Epidemiology, and End Results (SEER) Program (www.seer.cancer.gov) SEER*Stat Database: Incidence—SEER Research Data; National Cancer Institute: Bethesda, MD, USA, 2021.
- Llovet, J.M.; Ricci, S.; Mazzaferro, V.; Hilgard, P.; Gane, E.; Blanc, J.-F.; de Oliveira, A.C.; Santoro, A.; Raoul, J.-L.; Forner, A.; et al. Sorafenib in Advanced Hepatocellular Carcinoma. N. Engl. J. Med. 2008, 359, 378–390. [Google Scholar] [CrossRef] [PubMed]
- Ikeda, K.; Kudo, M.; Kawazoe, S.; Osaki, Y.; Ikeda, M.; Okusaka, T.; Tamai, T.; Suzuki, T.; Hisai, T.; Hayato, S.; et al. Phase 2 study of lenvatinib in patients with advanced hepatocellular carcinoma. J. Gastroenterol. 2017, 52, 512–519. [Google Scholar] [CrossRef] [PubMed]
- Kudo, M.; Finn, R.S.; Qin, S.; Han, K.H.; Ikeda, K.; Piscaglia, F.; Baron, A.; Park, J.W.; Han, G.; Jassem, J.; et al. Lenvatinib versus sorafenib in first-line treatment of patients with unresectable hepatocellular carcinoma: A randomised phase 3 non-inferiority trial. Lancet 2018, 391, 1163–1173. [Google Scholar] [CrossRef] [PubMed]
- Zhu, A.X.; Finn, R.S.; Edeline, J.; Cattan, S.; Ogasawara, S.; Palmer, D.; Verslype, C.; Zagonel, V.; Fartoux, L.; Vogel, A.; et al. Pembrolizumab in patients with advanced hepatocellular carcinoma previously treated with sorafenib (KEYNOTE-224): A non-randomised, open-label phase 2 trial. Lancet Oncol. 2018, 19, 940–952. [Google Scholar] [CrossRef] [PubMed]
- Finn, R.S.; Ryoo, B.Y.; Merle, P.; Kudo, M.; Bouattour, M.; Lim, H.Y.; Breder, V.; Edeline, J.; Chao, Y.; Ogasawara, S.; et al. Pembrolizumab as Second-Line Therapy in Patients With Advanced Hepatocellular Carcinoma in KEYNOTE-240: A Randomized, Double-Blind, Phase III Trial. J. Clin. Oncol. 2020, 38, 1307. [Google Scholar] [CrossRef] [PubMed]
- El-Khoueiry, A.B.; Sangro, B.; Yau, T.; Crocenzi, T.S.; Kudo, M.; Hsu, C.; Kim, T.-Y.; Choo, S.-P.; Trojan, J.; Welling, T.H., 3rd; et al. Nivolumab in patients with advanced hepatocellular carcinoma (CheckMate 040): An open-label, non-comparative, phase 1/2 dose escalation and expansion trial. Lancet 2017, 389, 2492–2502. [Google Scholar] [CrossRef] [PubMed]
- Cheng, A.-L.; Qin, S.; Ikeda, M.; Galle, P.R.; Ducreux, M.; Kim, T.-Y.; Lim, H.Y.; Kudo, M.; Breder, V.; Merle, P.; et al. Updated efficacy and safety data from IMbrave150: Atezolizumab plus bevacizumab vs. sorafenib for unresectable hepatocellular carcinoma. J. Hepatol. 2022, 76, 862–873. [Google Scholar] [CrossRef] [PubMed]
- Finn, R.S.; Qin, S.; Ikeda, M.; Galle, P.R.; Ducreux, M.; Kim, T.-Y.; Kudo, M.; Breder, V.; Merle, P.; Kaseb, A.O.; et al. Atezolizumab plus Bevacizumab in Unresectable Hepatocellular Carcinoma. N. Engl. J. Med. 2020, 382, 1894–1905. [Google Scholar] [CrossRef] [PubMed]
- Abou-Alfa, G.K.; Lau, G.; Kudo, M.; Chan, S.L.; Kelley, R.K.; Furuse, J.; Sukeepaisarnjaroen, W.; Kang, Y.-K.; Dao, T.V.; Toni, E.N.D.; et al. Tremelimumab plus Durvalumab in Unresectable Hepatocellular Carcinoma. NEJM Evid. 2022, 1, EVIDoa2100070. [Google Scholar] [CrossRef]
- Qin, H.N.; Ning, Z.; Sun, R.; Jin, C.X.; Guo, X.; Wang, A.M.; Liu, J.W. Lenvatinib as second-line treatment in patients with unresectable hepatocellular carcinoma: A retrospective analysis. Front. Oncol. 2022, 12, 3426. [Google Scholar] [CrossRef] [PubMed]
- De Lorenzo, S.; Tovoli, F.; Trevisani, F. Mechanisms of Primary and Acquired Resistance to Immune Checkpoint Inhibitors in Patients with Hepatocellular Carcinoma. Cancers 2022, 14, 4616. [Google Scholar] [CrossRef] [PubMed]
- Peng, Z.; Fan, W.; Zhu, B.; Wang, G.; Sun, J.; Xiao, C.; Huang, F.; Tang, R.; Cheng, Y.; Huang, Z.; et al. Lenvatinib Combined With Transarterial Chemoembolization as First-Line Treatment for Advanced Hepatocellular Carcinoma: A Phase III, Randomized Clinical Trial (LAUNCH). J. Clin. Oncol. 2023, 41, 117–127. [Google Scholar] [CrossRef] [PubMed]
- Finn, R.S.; Kudos, M.; Merle, P.; Meyer, T.; Qin, S.; Ikeda, M.; Xu, R.; Edeline, J.; Ryoo, B.; Ren, Z.; et al. Primary results from the phase III LEAP-002 study: Lenvatinib plus pembrolizumab versus lenvatinib as first-line (1L) therapy for advanced hepatocellular carcinoma (aHCC). Ann. Oncol. 2022, 33, S1401. [Google Scholar] [CrossRef]
- Makker, V.; Colombo, N.; Casado Herráez, A.; Santin, A.D.; Colomba, E.; Miller, D.S.; Fujiwara, K.; Pignata, S.; Baron-Hay, S.; Ray-Coquard, I.; et al. Lenvatinib plus Pembrolizumab for Advanced Endometrial Cancer. N. Engl. J. Med. 2022, 386, 437–448. [Google Scholar] [CrossRef] [PubMed]


| Characteristic | Total (N = 53) |
|---|---|
| Age at Treatment, years | |
| Mean (SD) | 65.4 (11.5) |
| Median | 67.0 |
| Q1, Q3 | 59.0, 72.0 |
| Range | (39.0–84.0) |
| Gender | |
| Male | 44 (83.0%) |
| Female | 9 (17.0%) |
| Race | |
| White | 40 (75.5%) |
| Asian | 3 (5.7%) |
| African American | 4 (7.5%) |
| Unknown | 4 (7.5%) |
| Hispanic | 2 (3.8%) |
| BMI | |
| Median | 26.7 |
| Q1, Q3 | 23.8, 30.7 |
| Range | (19.7–47.9) |
| AFP at diagnosis | |
| Median | 33.2 |
| Q1, Q3 | 5.0, 489.0 |
| Range | (1.3–122335.0) |
| Prior embolization | |
| No | 23 (43.4%) |
| Yes | 30 (56.6%) |
| Prior ablation | |
| No | 44 (83.0%) |
| Yes | 9 (17.0%) |
| Prior radiation therapy | |
| No | 47 (88.7%) |
| Yes | 6 (11.3%) |
| Diabetes mellitus | |
| No | 33 (62.3%) |
| Yes | 20 (37.7%) |
| Hyperlipidemia | |
| No | 32 (60.4%) |
| Yes | 21 (39.6%) |
| Alcohol abuse | |
| No | 35 (66.0%) |
| Yes | 18 (34.0%) |
| History of hepatitis B | |
| No | 49 (92.5%) |
| Yes | 4 (7.5%) |
| History of hepatitis C | |
| No | 30 (56.6%) |
| Yes | 23 (43.4%) |
| Metabolic associated steatohepatitis | |
| No | 45 (84.9%) |
| Yes | 8 (15.1%) |
| Child Pugh score at diagnosis | |
| Missing | 4 |
| A5 | 32 (65.3%) |
| A6 | 13 (26.5%) |
| B7 | 4 (8.2%) |
| Child Pugh score at start of lenvatinib | |
| Missing | 2 |
| A5 | 23 (45.1%) |
| A6 | 7 (13.7%) |
| B7 | 11 (21.6%) |
| B8 | 4 (7.8%) |
| B9 | 4 (7.8%) |
| C10 | 1 (2.0%) |
| C11 | 1 (2.0%) |
| Prior immunotherapy | |
| Atezolizumab + Bevacizumab | 33 (62.3%) |
| Nivolumab | 12 (22.6%) |
| Pembrolizumab | 4 (7.5%) |
| Durvalumab + Tremelimumab | 4 (7.5%) |
| Number of prior lines of treatment | |
| 1 | 45 (84.9%) |
| 2 | 6 (11.3%) |
| 3 | 1 (1.9%) |
| 4 | 1 (1.9%) |
| Vascular invasion | |
| No | 43 (81.1%) |
| Yes | 10 (18.9%) |
| Distant metastasis | |
| No | 30 (56.6%) |
| Yes | 23 (43.4%) |
| Grade-3/Grade-4 adverse events | |
| No | 32 (60.4%) |
| Yes | 21 (39.6%) |
| Duration of lenvatinib treatment (months) | |
| N | 53 |
| Mean (SD) | 5.4 (6.6) |
| Median | 3.3 |
| Q1, Q3 | 1.0, 6.6 |
| Range | (0.1–29.7) |
| Overall Survival | Progression-Free Survival | |||
|---|---|---|---|---|
| Variable | HR (95% CI) | p-Value | HR (95% CI) | p-Value |
| Age (Continuous) | 1.010 (0.865, 1.179) | 0.899 | 0.935 (0.813, 1.075) | 0.343 |
| Age (≥65 years) | 1.050 (0.532, 2.073) | 0.889 | 0.528 (0.264, 1.057) | 0.071 |
| Gender (Male) | 2.560 (0.903, 7.260) | 0.077 | 1.567 (0.686, 3.581) | 0.287 |
| BMI (Continuous) | 0.874 (0.641, 1.193) | 0.397 | 0.744 (0.543, 1.019) | 0.065 |
| BMI (≥30) | 0.860 (0.419, 1.763) | 0.680 | 0.583 (0.273, 1.244) | 0.163 |
| Race (Non-white) | 1.203 (0.563, 2.568) | 0.634 | 1.794 (0.881, 3.655) | 0.108 |
| AFP (≥5) | 0.863 (0.398, 1.869) | 0.708 | 0.871 (0.404, 1.879) | 0.725 |
| Prior Embolization (Yes) | 1.096 (0.566, 2.123) | 0.786 | 1.463 (0.773, 2.769) | 0.243 |
| Hep B (Positive) | 1.593 (0.477, 5.322) | 0.449 | 1.435 (0.506, 4.073) | 0.497 |
| Hep C (Positive) | 0.960 (0.496, 1.857) | 0.903 | 1.181 (0.619, 2.254) | 0.614 |
| Hep B/C Status (B or C Positive) | 1.076 (0.562, 2.060) | 0.825 | 1.322 (0.697, 2.506) | 0.393 |
| NASH (Positive) | 1.339 (0.519, 3.458) | 0.546 | 0.655 (0.228, 1.879) | 0.431 |
| Child Pugh (B8–C11 vs. A5–6) | 5.813 (2.309, 14.633) | 0.000 | 3.636 (1.417, 9.328) | 0.007 |
| Child Pugh (B7 vs. A5–6) | 2.511 (1.109, 5.684) | 0.027 | 1.595 (0.702, 3.625) | 0.265 |
| Number of Prior Lines (≥2) | 0.889 (0.311, 2.544) | 0.827 | 1.112 (0.431, 2.870) | 0.826 |
| Vascular Invasion (Positive) | 2.049 (0.975, 4.306) | 0.058 | 1.118 (0.541, 2.610) | 0.667 |
| Distant Metastasis (Positive) | 2.148 (1.110, 4.156) | 0.023 | 2.436 (1.239, 4.793) | 0.010 |
| Overall Survival | |||
| Variable | Comparison | HR (95% CI) | p-Value |
| Gender | Male vs. Female | 4.578 (1.197, 17.515) | 0.026 |
| Race | Other vs. White | 2.895 (1.041, 8.047) | 0.042 |
| Child Pugh | 0.007 * | ||
| Child Pugh | B7 vs. A5/A6 | 2.051 (0.867, 4.851) | 0.102 |
| Child Pugh | B8/B9/C10/C11 vs. A5/A6 | 4.851 (1.792, 13.135) | 0.002 |
| Progression Free Survival | |||
| Variable | Comparison | HR (95% CI) | p-Value |
| BMI | ≥30 vs. < 30 | 0.386 (0.166, 0.898) | 0.0271 |
| Distant Metastases | Yes vs. No | 2.701 (1.229, 5.935) | 0.0134 |
| Grade 1 or 2, N (%) | Grade 3 or 4, N (%) | |
|---|---|---|
| Any | 44 (83) | 21 (39.6) |
| Fatigue | 28 (52.8) | 1 (1.8) |
| AST Elevation | 16 (30.1) | 1 (1.8) |
| Anorexia | 14 (26.4) | 1 (1.8) |
| Diarrhea | 12 (22.6) | 1 (1.8) |
| Elevated Bili | 12 (22.6) | 1 (1.8) |
| Nausea | 10 (18.8) | 0 (0) |
| Abdominal Pain | 10 (18.8) | 0 (0) |
| Alkaline Phos | 10 (18.8) | 0 (0) |
| Hypothyroidism | 9 (16.9) | 0 (0) |
| Anemia | 9 (16.9) | 0 (0) |
| Limb Edema | 8 (15) | 0 (0) |
| Thrombocytopenia | 8 (15) | 0 (0) |
| Hypertension | 7 (13.2) | 13 (24.5) |
| Pruritis | 7 (13.2) | 0 (0) |
| Myalgia | 6 (11.3) | 0 (0) |
| Weight Loss | 5 (9.4) | 1 (1.8) |
| Palmar plantar erythrodysesthesia | 5 (9.4) | 1 (1.8) |
| ALT ↑ | 5 (9.4) | 1 (1.8) |
| Mucositis | 4 (7.5) | 1 (1.8) |
| Abdominal distention | 3 (5.6) | 0 (0) |
| Ascites | 3 (5.6) | 0 (0) |
| Hoarseness | 3 (5.6) | 1 (1.8) |
| Shortness of Breath | 3 (5.6) | 0 (0) |
| Hyponatremia | 3 (5.6) | 0 (0) |
| Confusion | 2 (3.7) | 4 (7.5) |
| Headache | 2 (3.7) | 0 (0) |
| Weakness | 2 (3.7) | 1 (1.8) |
| Hypoalbuminemia | 2 (3.7) | 0 (0) |
| Arthralgia | 2 (3.7) | 1 (1.8) |
| Dry Skin | 1 (1.8) | 0 (0) |
| Depression | 1 (1.8) | 0 (0) |
| GI Bleed | 1 (1.8) | 0 (0) |
| Pancreatitis | 1 (1.8) | 0 (0) |
| Colitis | 1 (1.8) | 0 (0) |
| Back Pain | 1 (1.8) | 0 (0) |
| Dizziness | 1 (1.8) | 0 (0) |
| Alopecia | 1 (1.8) | 0 (0) |
| Dry Eyes | 1 (1.8) | 0 (0) |
| Proteinuria | 1 (1.8) | 1 (1.8) |
| Epistaxis | 1 (1.8) | 0 (0) |
| Gait Disturbance | 1 (1.8) | 0 (0) |
| Dysphagia | 1 (1.8) | 0 (0) |
| Bradycardia | 1 (1.8) | 0 (0) |
| Hyperphosphatemia | 1 (1.8) | 0 (0) |
| Lymphopenia | 1 (1.8) | 0 (0) |
| Hemoptysis | 1 (1.8) | 0 (0) |
| Elevated Creatinine | 1 (1.8) | 0 (0) |
| Constipation | 1 (1.8) | 0 (0) |
| 0 | 1 (1.8) | 0 (0) |
| CHF | 0 (0) | 1 (1.8) |
| Hyperkalemia | 0 (0) | 1 (1.8) |
Disclaimer/Publisher’s Note: The statements, opinions and data contained in all publications are solely those of the individual author(s) and contributor(s) and not of MDPI and/or the editor(s). MDPI and/or the editor(s) disclaim responsibility for any injury to people or property resulting from any ideas, methods, instructions or products referred to in the content. |
© 2023 by the authors. Licensee MDPI, Basel, Switzerland. This article is an open access article distributed under the terms and conditions of the Creative Commons Attribution (CC BY) license (https://creativecommons.org/licenses/by/4.0/).
Share and Cite
Palmer, M.E.; Gile, J.J.; Storandt, M.H.; Jin, Z.; Zemla, T.J.; Tran, N.H.; Mahipal, A. Outcomes of Patients with Advanced Hepatocellular Carcinoma Receiving Lenvatinib following Immunotherapy: A Real World Evidence Study. Cancers 2023, 15, 4867. https://doi.org/10.3390/cancers15194867
Palmer ME, Gile JJ, Storandt MH, Jin Z, Zemla TJ, Tran NH, Mahipal A. Outcomes of Patients with Advanced Hepatocellular Carcinoma Receiving Lenvatinib following Immunotherapy: A Real World Evidence Study. Cancers. 2023; 15(19):4867. https://doi.org/10.3390/cancers15194867
Chicago/Turabian StylePalmer, Mathias E., Jennifer J. Gile, Michael H. Storandt, Zhaohui Jin, Tyler J. Zemla, Nguyen H. Tran, and Amit Mahipal. 2023. "Outcomes of Patients with Advanced Hepatocellular Carcinoma Receiving Lenvatinib following Immunotherapy: A Real World Evidence Study" Cancers 15, no. 19: 4867. https://doi.org/10.3390/cancers15194867
APA StylePalmer, M. E., Gile, J. J., Storandt, M. H., Jin, Z., Zemla, T. J., Tran, N. H., & Mahipal, A. (2023). Outcomes of Patients with Advanced Hepatocellular Carcinoma Receiving Lenvatinib following Immunotherapy: A Real World Evidence Study. Cancers, 15(19), 4867. https://doi.org/10.3390/cancers15194867

