Dielectric Spectroscopy Shows a Permittivity Contrast between Meningioma Tissue and Brain White and Gray Matter—A Potential Physical Biomarker for Meningioma Discrimination
Abstract
Simple Summary
Abstract
1. Introduction
2. Materials and Methods
2.1. Complex Permittivity
2.2. Cole–Cole Model of Complex Permittivity
2.3. Dielectric Spectroscopy
2.4. Tissues under Test
2.5. Statistical Analysis
3. Results
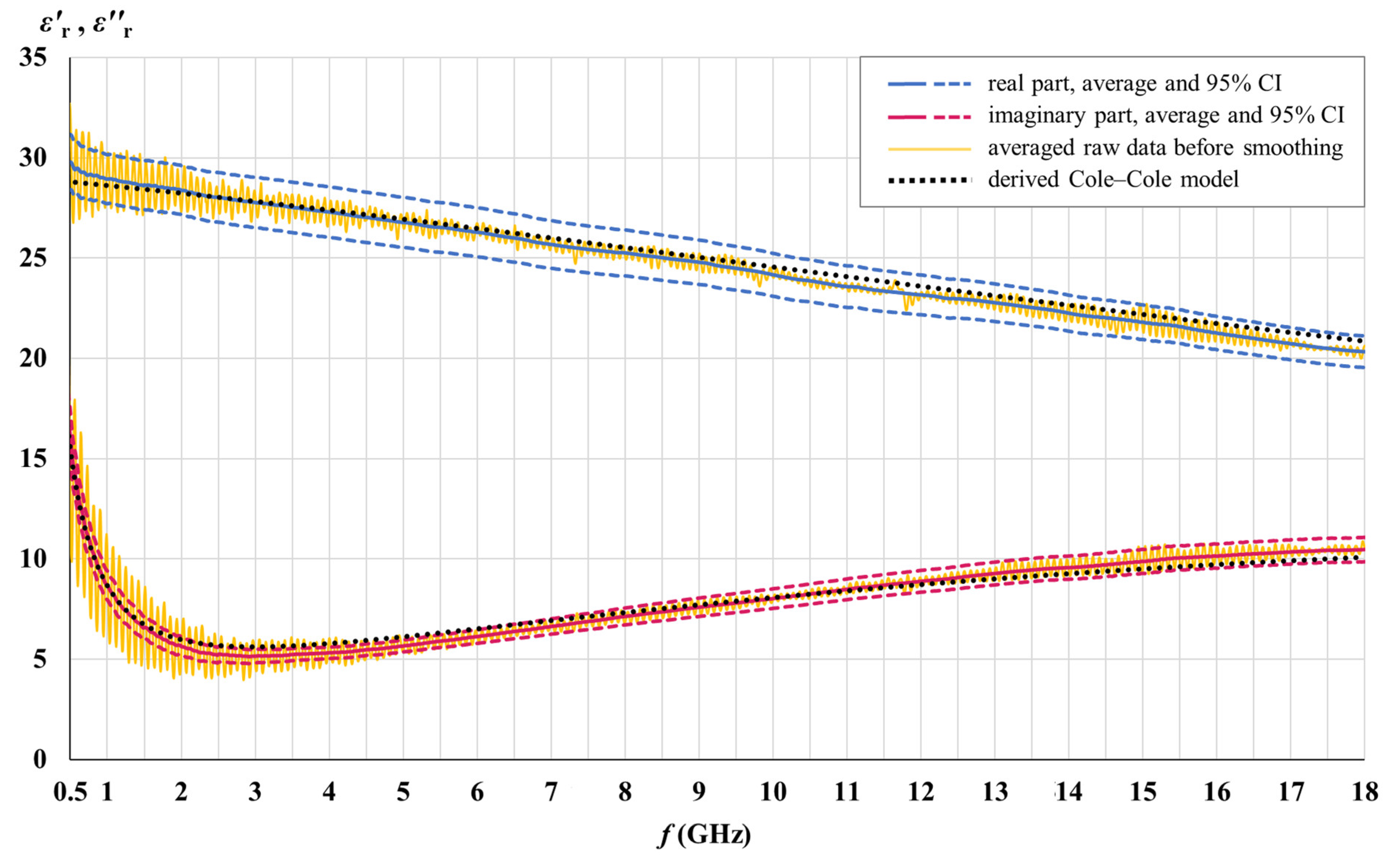
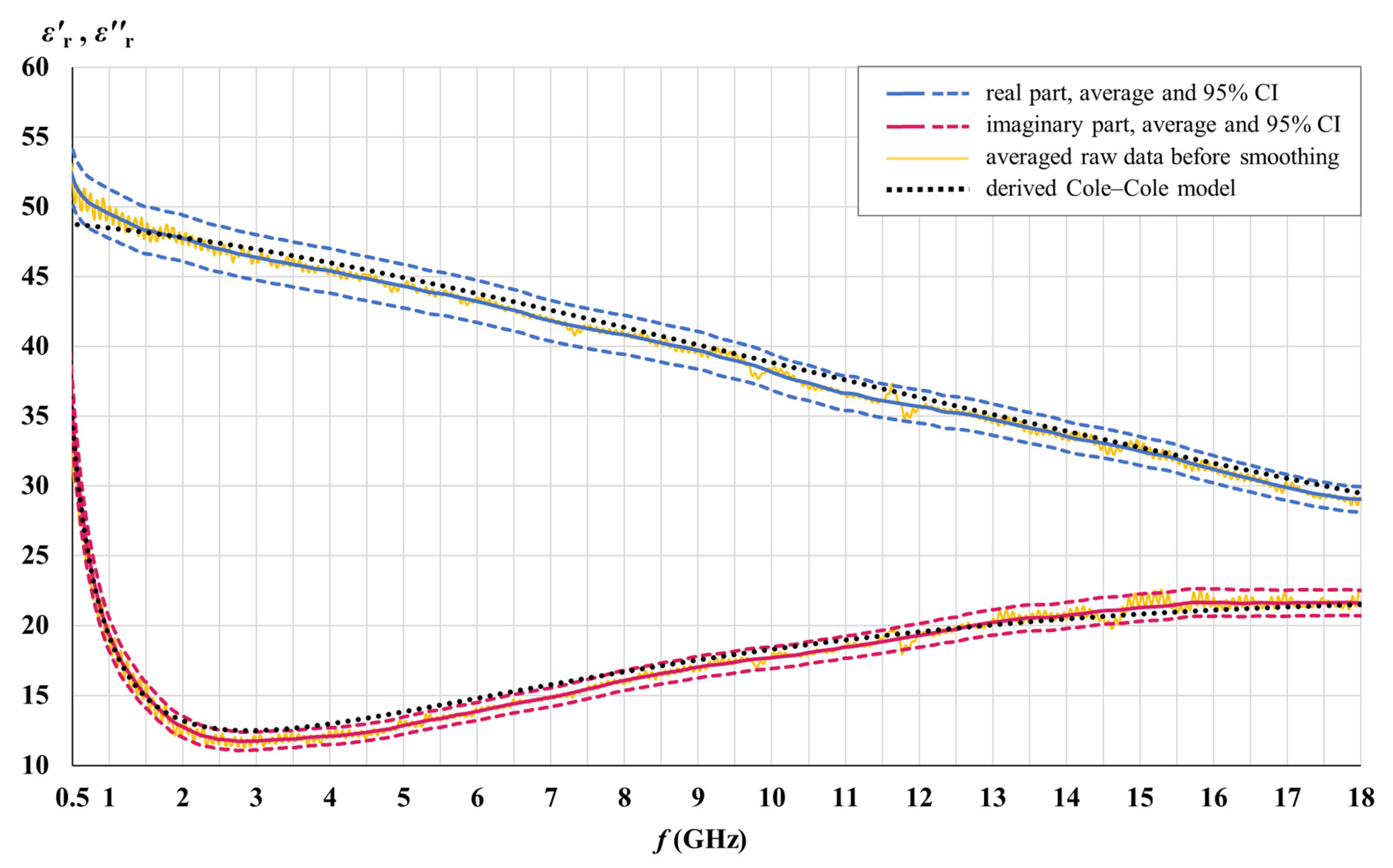
3.1. Brain White and Gray Matter Permittivity
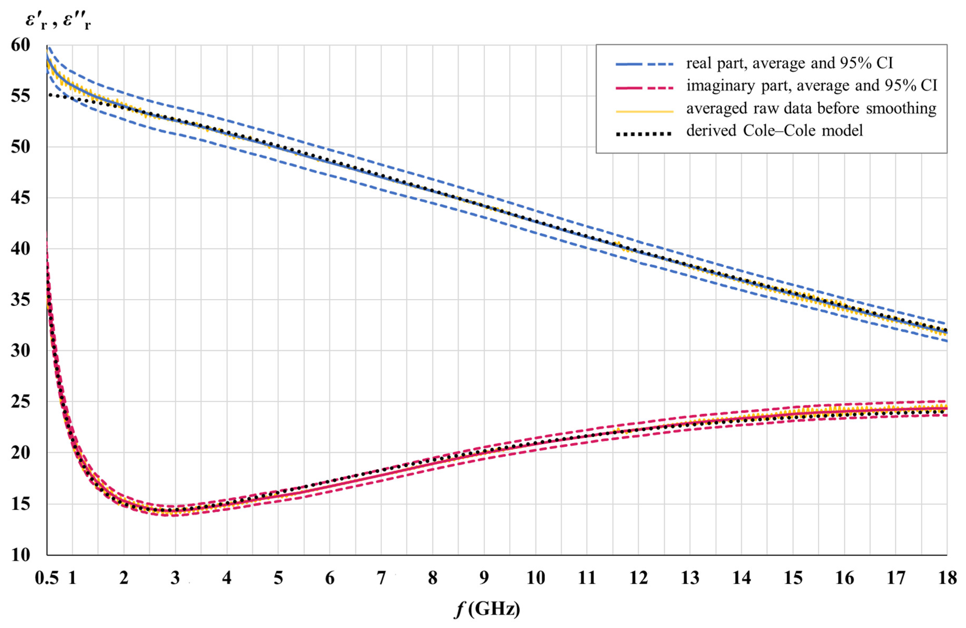
3.2. Meningioma Tissue Permittivity
3.3. Dielectric Contrast between the Meningioma Tissue and Brain White and Gray Matter
3.4. Cole–Cole Models and Supplementary Materials
4. Discussion
4.1. Dielectric Contrast
4.2. Comparison with the Published Literature
4.3. Cole–Cole Models
4.4. Limitations
5. Conclusions
Supplementary Materials
Author Contributions
Funding
Institutional Review Board Statement
Informed Consent Statement
Data Availability Statement
Acknowledgments
Conflicts of Interest
References
- Buerki, R.A.; Horbinski, C.M.; Kruser, T.; Horowitz, P.M.; James, C.D.; Lukas, R.V. An Overview of Meningiomas. Future Oncol. 2018, 14, 2161–2177. [Google Scholar] [CrossRef] [PubMed]
- Ostrom, Q.T.; Cioffi, G.; Gittleman, H.; Patil, N.; Waite, K.; Kruchko, C.; Barnholtz-Sloan, J.S. CBTRUS Statistical Report: Primary Brain and Other Central Nervous System Tumors Diagnosed in the United States in 2012–2016. Neuro-Oncology 2019, 21, v1–v100. [Google Scholar] [CrossRef]
- Wiemels, J.; Wrensch, M.; Claus, E.B. Epidemiology and Etiology of Meningioma. J. Neurooncol. 2010, 99, 307–314. [Google Scholar] [CrossRef] [PubMed]
- Håberg, A.K.; Hammer, T.A.; Kvistad, K.A.; Rydland, J.; Müller, T.B.; Eikenes, L.; Gårseth, M.; Stovner, L.J. Incidental Intracranial Findings and Their Clinical Impact; The HUNT MRI Study in a General Population of 1006 Participants between 50–66 Years. PLoS ONE 2016, 11, e0151080. [Google Scholar] [CrossRef]
- Goldbrunner, R.; Minniti, G.; Preusser, M.; Jenkinson, M.D.; Sallabanda, K.; Houdart, E.; Von Deimling, A.; Stavrinou, P.; Lefranc, F.; Lund-Johansen, M.; et al. EANO Guidelines for the Diagnosis and Treatment of Meningiomas. Lancet Oncol. 2016, 17, e383–e391. [Google Scholar] [CrossRef] [PubMed]
- Gousias, K.; Schramm, J.; Simon, M. The Simpson Grading Revisited: Aggressive Surgery and Its Place in Modern Meningioma Management. J. Neurosurg. 2016, 125, 551–560. [Google Scholar] [CrossRef] [PubMed]
- Nanda, A.; Bir, S.C.; Maiti, T.K.; Konar, S.K.; Missios, S.; Guthikonda, B. Relevance of Simpson Grading System and Recurrence-Free Survival after Surgery for World Health Organization Grade I Meningioma. J. Neurosurg. 2017, 126, 201–211. [Google Scholar] [CrossRef]
- Quddusi, A.; Shamim, M.S. Simpson Grading as Predictor of Meningioma Recurrence. J. Pak. Med. Assoc. 2018, 68, 819–821. [Google Scholar]
- Muto, J.; Mine, Y.; Nishiyama, Y.; Murayama, K.; Yamada, S.; Kojima, D.; Hayakawa, M.; Adachi, K.; Hasegawa, M.; Lee, J.Y.K.; et al. Intraoperative Real-Time Near-Infrared Image-Guided Surgery to Identify Intracranial Meningiomas via Microscope. Front. Neurosci. 2022, 16, 837349. [Google Scholar] [CrossRef]
- Al-Mefti, O.; DeMonte, F.; McDermott, M.C. Al-Mefti’s Meningiomas; Thieme Medical Publishers Inc.: New York City, NY, USA, 2011. [Google Scholar]
- Tofte, K.; Berger, C.; Torp, S.; Solheim, O. The Diagnostic Properties of Frozen Sections in Suspected Intracranial Tumors: A Study of 578 Consecutive Cases. Surg. Neurol. Int. 2014, 5, 170. [Google Scholar] [CrossRef]
- Ramina, R.; Coelho Neto, M.; Giacomelli, A.; Barros, E.; Vosgerau, R.; Nascimento, A.; Coelho, G. Optimizing Costs of Intraoperative Magnetic Resonance Imaging. A Series of 29 Glioma Cases. Acta Neurochir. 2010, 152, 27–33. [Google Scholar] [CrossRef] [PubMed]
- Valdes, P.A.; Millesi, M.; Widhalm, G.; Roberts, D.W. 5-Aminolevulinic Acid Induced Protoporphyrin IX (ALA-PpIX) Fluorescence Guidance in Meningioma Surgery. J. Neurooncol. 2019, 141, 555–565. [Google Scholar] [CrossRef] [PubMed]
- Motekallemi, A.; Jeltema, H.-R.; Metzemaekers, J.D.M.; Van Dam, G.M.; Crane, L.M.A.; Groen, R.J.M. The Current Status of 5-ALA Fluorescence-Guided Resection of Intracranial Meningiomas—A Critical Review. Neurosurg. Rev. 2015, 38, 619–628. [Google Scholar] [CrossRef] [PubMed]
- Dijkstra, B.M.; Jeltema, H.-R.; Kruijff, S.; Groen, R.J.M. The Application of Fluorescence Techniques in Meningioma Surgery—A Review. Neurosurg. Rev. 2019, 42, 799–809. [Google Scholar] [CrossRef] [PubMed]
- Li, T.; Deng, P. Nuclear Magnetic Resonance Technique in Tumor Metabolism. Genes Dis. 2017, 4, 28–36. [Google Scholar] [CrossRef]
- Krafft, C.; Sobottka, S.B.; Schackert, G.; Salzer, R. Raman and Infrared Spectroscopic Mapping of Human Primary Intracranial Tumors: A Comparative Study. J. Raman Spectrosc. 2006, 37, 367–375. [Google Scholar] [CrossRef]
- Aguiar, R.P.; Silveira, L.; Falcão, E.T.; Pacheco, M.T.T.; Zângaro, R.A.; Pasqualucci, C.A. Discriminating Neoplastic and Normal Brain Tissues in Vitro Through Raman Spectroscopy: A Principal Components Analysis Classification Model. Photomed. Laser Surg. 2013, 31, 595–604. [Google Scholar] [CrossRef] [PubMed]
- Hollon, T.; Lewis, S.; Freudiger, C.W.; Sunney Xie, X.; Orringer, D.A. Improving the Accuracy of Brain Tumor Surgery via Raman-Based Technology. Neurosurg. Focus 2016, 40, E9. [Google Scholar] [CrossRef]
- Hollon, T.; Orringer, D.A. Label-Free Brain Tumor Imaging Using Raman-Based Methods. J. Neurooncol. 2021, 151, 393–402. [Google Scholar] [CrossRef]
- Jermyn, M.; Mok, K.; Mercier, J.; Desroches, J.; Pichette, J.; Saint-Arnaud, K.; Bernstein, L.; Guiot, M.-C.; Petrecca, K.; Leblond, F. Intraoperative Brain Cancer Detection with Raman Spectroscopy in Humans. Sci. Transl. Med. 2015, 7, 274ra19. [Google Scholar] [CrossRef]
- Köhler, M.; Machill, S.; Salzer, R.; Krafft, C. Characterization of Lipid Extracts from Brain Tissue and Tumors Using Raman Spectroscopy and Mass Spectrometry. Anal. Bioanal. Chem. 2009, 393, 1513–1520. [Google Scholar] [CrossRef] [PubMed]
- Orringer, D.A.; Pandian, B.; Niknafs, Y.S.; Hollon, T.C.; Boyle, J.; Lewis, S.; Garrard, M.; Hervey-Jumper, S.L.; Garton, H.J.L.; Maher, C.O.; et al. Rapid Intraoperative Histology of Unprocessed Surgical Specimens via Fibre-Laser-Based Stimulated Raman Scattering Microscopy. Nat. Biomed. Eng. 2017, 1, 0027. [Google Scholar] [CrossRef] [PubMed]
- Uckermann, O.; Galli, R.; Tamosaityte, S.; Leipnitz, E.; Geiger, K.D.; Schackert, G.; Koch, E.; Steiner, G.; Kirsch, M. Label-Free Delineation of Brain Tumors by Coherent Anti-Stokes Raman Scattering Microscopy in an Orthotopic Mouse Model and Human Glioblastoma. PLoS ONE 2014, 9, e107115. [Google Scholar] [CrossRef] [PubMed]
- Kalkanis, S.N.; Kast, R.E.; Rosenblum, M.L.; Mikkelsen, T.; Yurgelevic, S.M.; Nelson, K.M.; Raghunathan, A.; Poisson, L.M.; Auner, G.W. Raman Spectroscopy to Distinguish Grey Matter, Necrosis, and Glioblastoma Multiforme in Frozen Tissue Sections. J. Neurooncol. 2014, 116, 477–485. [Google Scholar] [CrossRef] [PubMed]
- Lilo, T.; Morais, C.L.M.; Ashton, K.M.; Davis, C.; Dawson, T.P.; Martin, F.L.; Alder, J.; Roberts, G.; Ray, A.; Gurusinghe, N. Raman Hyperspectral Imaging Coupled to Three-Dimensional Discriminant Analysis: Classification of Meningiomas Brain Tumour Grades. Spectrochim. Acta A Mol. Biomol. Spectrosc. 2022, 273, 1386–1425. [Google Scholar] [CrossRef] [PubMed]
- Jelke, F.; Mirizzi, G.; Borgmann, F.K.; Husch, A.; Slimani, R.; Klamminger, G.G.; Klein, K.; Mombaerts, L.; Gérardy, J.-J.; Mittelbronn, M.; et al. Intraoperative Discrimination of Native Meningioma and Dura Mater by Raman Spectroscopy. Sci. Rep. 2021, 11, 23583. [Google Scholar] [CrossRef] [PubMed]
- Schwan, H.P.; Foster, K.R. Dielectric Properties of Tissues. In Handbook of Biological Effects of Electromagnetic Fields; CRC Press: Boca Raton, FL, USA, 1996. [Google Scholar]
- Schwan, H.P. Electrical Properties of Tissue and Cell Suspensions. In Advances in Biological and Medical Physics; Elsevier: Amsterdam, The Netherlands, 1957; Volume 5, pp. 147–209. ISBN 978-1-4832-3111-2. [Google Scholar]
- Surowiec, A.J.; Stuchly, S.S.; Barr, J.R.; Swarup, A. Dielectric Properties of Breast Carcinoma and the Surrounding Tissues. IEEE Trans. Biomed. Eng. 1988, 35, 257–263. [Google Scholar] [CrossRef]
- Lazebnik, M.; Popovic, D.; McCartney, L.; Watkins, C.B.; Lindstrom, M.J.; Harter, J.; Sewall, S.; Ogilvie, T.; Magliocco, A.; Breslin, T.M.; et al. A Large-Scale Study of the Ultrawideband Microwave Dielectric Properties of Normal, Benign and Malignant Breast Tissues Obtained from Cancer Surgeries. Phys. Med. Biol. 2007, 52, 6093–6115. [Google Scholar] [CrossRef]
- Guardiola, M.; Buitrago, S.; Fernández-Esparrach, G.; O’Callaghan, J.M.; Romeu, J.; Cuatrecasas, M.; Córdova, H.; González Ballester, M.Á.; Camara, O. Dielectric Properties of Colon Polyps, Cancer, and Normal Mucosa: Ex Vivo Measurements from 0.5 to 20 GHz. Med. Phys. 2018, 45, 3768–3782. [Google Scholar] [CrossRef]
- Fornes-Leal, A.; Garcia-Pardo, C.; Frasson, M.; Pons Beltrán, V.; Cardona, N. Dielectric Characterization of Healthy and Malignant Colon Tissues in the 0.5–18 GHz Frequency Band. Phys. Med. Biol. 2016, 61, 7334–7346. [Google Scholar] [CrossRef]
- Halter, R.J.; Schned, A.; Heaney, J.; Hartov, A.; Paulsen, K.D. Electrical Properties of Prostatic Tissues: I. Single Frequency Admittivity Properties. J. Urol. 2009, 182, 1600–1607. [Google Scholar] [CrossRef]
- Hancu, I.; Roberts, J.C.; Bulumulla, S.; Lee, S.-K. On Conductivity, Permittivity, Apparent Diffusion Coefficient, and Their Usefulness as Cancer Markers at MRI Frequencies: Conductivity, Permittivity, and Apparent Diffusion Coefficients as Cancer Markers. Magn. Reson. Med. 2015, 73, 2025–2029. [Google Scholar] [CrossRef] [PubMed]
- Haemmerich, D.; Staelin, S.T.; Tsai, J.Z.; Tungjitkusolmun, S.; Mahvi, D.M.; Webster, J.G. In Vivo Electrical Conductivity of Hepatic Tumours. Physiol. Meas. 2003, 24, 251–260. [Google Scholar] [CrossRef][Green Version]
- O’Rourke, A.P.; Lazebnik, M.; Bertram, J.M.; Converse, M.C.; Hagness, S.C.; Webster, J.G.; Mahvi, D.M. Dielectric Properties of Human Normal, Malignant and Cirrhotic Liver Tissue: In Vivo and Ex Vivo Measurements from 0.5 to 20 GHz Using a Precision Open-Ended Coaxial Probe. Phys. Med. Biol. 2007, 52, 4707–4719. [Google Scholar] [CrossRef] [PubMed]
- Yu, X.; Sun, Y.; Cai, K.; Yu, H.; Zhou, D.; Lu, D.; Xin, S.X. Dielectric Properties of Normal and Metastatic Lymph Nodes Ex Vivo From Lung Cancer Surgeries. Bioelectromagnetics 2020, 41, 148–155. [Google Scholar] [CrossRef] [PubMed]
- Lu, Y.; Li, B.; Xu, J.; Yu, J. Dielectric Properties of Human Glioma and Surrounding Tissue. Int. J. Hyperth. 1992, 8, 755–760. [Google Scholar] [CrossRef] [PubMed]
- Mirbeik-Sabzevari, A.; Ashinoff, R.; Tavassolian, N. Ultra-Wideband Millimeter-Wave Dielectric Characteristics of Freshly Excised Normal and Malignant Human Skin Tissues. IEEE Trans. Biomed. Eng. 2018, 65, 1320–1329. [Google Scholar] [CrossRef]
- Ranade, A.A.; Undre, P.B.; Barpande, S.R.; Tupkari, J.V.; Mehrotra, S.C. Salivary Dielectric Properties in Oral Cancer (OSCC) Through Time Domain Reflectometry at Microwave Region: The Future Alternative for Diagnosis and Treatment. J. Med. Res. 2016, 16, 13–22. [Google Scholar]
- Gavazzi, S.; Limone, P.; De Rosa, G.; Molinari, F.; Vecchi, G. Comparison of Microwave Dielectric Properties of Human Normal, Benign and Malignant Thyroid Tissues Obtained from Surgeries: A Preliminary Study. Biomed. Phys. Eng. Express 2018, 4, 047003. [Google Scholar] [CrossRef]
- La Gioia, A.; Porter, E.; Merunka, I.; Shahzad, A.; Salahuddin, S.; Jones, M.; O’Halloran, M. Open-Ended Coaxial Probe Technique for Dielectric Measurement of Biological Tissues: Challenges and Common Practices. Diagnostics 2018, 8, 40. [Google Scholar] [CrossRef]
- Matković, A.; Kordić, A.; Jakovčević, A.; Šarolić, A. Complex Permittivity of Ex-Vivo Human, Bovine and Porcine Brain Tissues in the Microwave Frequency Range. Diagnostics 2022, 12, 2580. [Google Scholar] [CrossRef] [PubMed]
- Cole, K.S.; Cole, R.H. Dispersion and Absorption in Dielectrics I. Alternating Current Characteristics. J. Chem. Phys. 1941, 9, 341–351. [Google Scholar] [CrossRef]
- Šarolić, A.; Matković, A. Dielectric Permittivity Measurement Using Open-Ended Coaxial Probe—Modeling and Simulation Based on the Simple Capacitive-Load Model. Sensors 2022, 22, 6024. [Google Scholar] [CrossRef] [PubMed]
- Matković, A.; Šarolić, A. The Effect of Freezing and Thawing on Complex Permittivity of Bovine Tissues. Sensors 2022, 22, 9806. [Google Scholar] [CrossRef] [PubMed]
- Keysight Technologies. Keysight N1501A Dielectric Probe Kit 10 MHz to 50 GHz—Technical Overview; Keysight Technologies: Santa Rosa, CA, USA, 2018. [Google Scholar]
- Keysight N9927A FieldFox Handheld Microwave Vector Network Analyzer, 18 GHz. Available online: https://www.keysight.com/zz/en/product/N9927A/fieldfox-a-handheld-microwave-vector-network-analyzer-18-ghz.html (accessed on 26 February 2022).
- Michel, E.; Hernandez, D.; Lee, S.Y. Electrical Conductivity and Permittivity Maps of Brain Tissues Derived from Water Content Based on T 1 -Weighted Acquisition. Magn. Reson. Med. 2017, 77, 1094–1103. [Google Scholar] [CrossRef] [PubMed]
- Wolz, S.; Seeger, S.P. Successful Biological Control of Cancer by Combat against the Causes; Neuwieder Verlagsgesellschaft: Melsbach, Germany, 1990. [Google Scholar]
- 52Joines, W.T.; Jirtle, R.L.; Rafal, M.D.; Schaefer, D.J. Microwave Power Absorption Differences between Normal and Malignant Tissue. Int. J. Radiat. Oncol. 1980, 6, 681–687. [Google Scholar] [CrossRef]
- Aberg, P.; Nicander, I.; Hansson, J.; Geladi, P.; Holmgren, U.; Ollmar, S. Skin Cancer Identification Using Multifrequency Electrical Impedance—A Potential Screening Tool. IEEE Trans. Biomed. Eng. 2004, 51, 2097–2102. [Google Scholar] [CrossRef] [PubMed]
- Sasaki, K.; Porter, E.; Rashed, E.A.; Farrugia, L.; Schmid, G. Measurement and Image-Based Estimation of Dielectric Properties of Biological Tissues—Past, Present, and Future. Phys. Med. Biol. 2022, 67, 14TR01. [Google Scholar] [CrossRef] [PubMed]
- Gabriel, S.; Lau, R.W.; Gabriel, C. The Dielectric Properties of Biological Tissues: III. Parametric Models for the Dielectric Spectrum of Tissues. Phys. Med. Biol. 1996, 41, 2271–2293. [Google Scholar] [CrossRef]
- Peyman, A.; Kos, B.; Djokić, M.; Trotovšek, B.; Limbaeck-Stokin, C.; Serša, G.; Miklavčič, D. Variation in Dielectric Properties Due to Pathological Changes in Human Liver: Dielectric Properties of Liver Tumors. Bioelectromagnetics 2015, 36, 603–612. [Google Scholar] [CrossRef]
- Sugitani, T.; Kubota, S.; Kuroki, S.; Sogo, K.; Arihiro, K.; Okada, M.; Kadoya, T.; Hide, M.; Oda, M.; Kikkawa, T. Complex Permittivities of Breast Tumor Tissues Obtained from Cancer Surgeries. Appl. Phys. Lett. 2014, 104, 253702. [Google Scholar] [CrossRef]
- Gabriel, S.; Lau, R.W.; Gabriel, C. The Dielectric Properties of Biological Tissues: II. Measurements in the Frequency Range 10 Hz to 20 GHz. Phys. Med. Biol. 1996, 41, 2251–2269. [Google Scholar] [CrossRef] [PubMed]
- Farrugia, L.; Wismayer, P.S.; Mangion, L.Z.; Sammut, C.V. Accurate in Vivo Dielectric Properties of Liver from 500 MHz to 40 GHz and Their Correlation to Ex Vivo Measurements. Electromagn. Biol. Med. 2016, 35, 365–373. [Google Scholar] [CrossRef] [PubMed]
- Pollacco, D.A.; Farina, L.; Wismayer, P.S.; Farrugia, L.; Sammut, C.V. Characterization of the Dielectric Properties of Biological Tissues and Their Correlation to Tissue Hydration. IEEE Trans. Dielectr. Electr. Insul. 2018, 25, 2191–2197. [Google Scholar] [CrossRef]
- Cheng, H.; Clymer, J.W.; Chen, B.P.-H.; Sadeghirad, B.; Ferko, N.C.; Cameron, C.G.; Hinoul, P. Prolonged Operative Duration Is Associated with Complications: A Systematic Review and Meta-Analysis. J. Surg. Res. 2018, 229, 134–144. [Google Scholar] [CrossRef] [PubMed]
- Alruwaili, A.A.; Jesus, D.O. Meningioma. In StatPearls [Internet]; StatPearls Publishing: St. Petersburg, FL, USA, 2023. [Google Scholar]
- Kamenova, M.; Guzman, R.; Soleman, J. Demographics and Outcome of Histologically Confirmed Intracranial Meningiomas. Clin. Transl. Neurosci. 2019, 3, 2514183X1989494. [Google Scholar] [CrossRef]
- Gilbert, J.J.; Paulseth, J.E.; Coates, R.K.; Malott, D. Cerebral Edema Associated with Meningiomas. Neurosurgery 1983, 6, 599–605. [Google Scholar] [CrossRef] [PubMed]
- Hou, J.; Kshettry, V.R.; Selman, W.R.; Bambakidis, N.C. Peritumoral Brain Edema in Intracranial Meningiomas: The Emergence of Vascular Endothelial Growth Factor–Directed Therapy. Neurosurg. Focus 2013, 35, E2. [Google Scholar] [CrossRef]
- Zeltner, L.; Schittenhelm, J.; Mittelbronn, M.; Roser, F.; Tatagiba, M.; Mawrin, C.; Kim, Y.J.; Bornemann, A. The Astrocytic Response towards Invasive Meningiomas. Neuropathol. Appl. Neurobiol. 2007, 33, 163–168. [Google Scholar] [CrossRef]
- Nakasu, S.; Fukami, T.; Jito, J.; Matsuda, M. Microscopic Anatomy of the Brain–Meningioma Interface. Brain Tumor Pathol. 2005, 22, 53–57. [Google Scholar] [CrossRef]
- Grund, S.; Schittenhelm, J.; Roser, F.; Tatagiba, M.; Mawrin, C.; Kim, Y.J.; Bornemann, A. The Microglial/Macrophagic Response at the Tumour-Brain Border of Invasive Meningiomas. Neuropathol. Appl. Neurobiol. 2009, 35, 82–88. [Google Scholar] [CrossRef]












| Tissue Type | τ | α | σ | ||
|---|---|---|---|---|---|
| White matter | 29 | 1.5 | 4.7 ps | 0.15 | 0.41 S/m |
| Gray matter | 49 | 1 | 7 ps | 0.085 | 0.92 S/m |
| Meningioma | 55.5 | 1 | 7.4 ps | 0.1 | 1 S/m |
| Authors | Tumor Tissue | f (GHz) | T (°C) | (%) | (%) |
|---|---|---|---|---|---|
| Guardiola et al. (2018) [32] | Colon | 2–8 5–8 | 20–22 20–22 | 30–100 | 30–100 |
| Fornes-Leal et al. (2016) [33] | Colon | 0.5–18 | 20–25 | 8.8 | 10.6 * |
| Lazebnik et al. (2007) [31] | Breast | 0.5–20 | 18–27 | <10 ** | <10 ** |
| Gavazzi et al. (2018) [42] | Thyroid | 0.2–10 | 19.1 ± 1.3 | 10 | 8–21 *** |
| Yu et al. (2020) [38] | Metastatic lymph node | 0.001–4 | 24 ± 2.4 | 22.2–24.6 | 24–27.2 |
| O’Rourke et al. (2007) [37] | Liver | 0.915 2.45 | 19 20 | 30 18 | |
| Lu et al. (1992) [39] | Glioma in comparison to white matter | 0.005–0.5 | 24 ± 0.5 | 30 | 30 |
| Present study | Meningioma tissue in comparison to white matter tissue | 0.5–18 | 25 ± 0.5 | 76.7 | 157.6 |
| Present study | Meningioma tissue in comparison to gray matter tissue | 0.5–18 | 25 ± 0.5 | 11.6 | 16.7 |
| Tissue Type | Average Error | Maximum Error | ||
|---|---|---|---|---|
| White matter | 1.4% | 4.1% | 3.3% | 9.5% |
| Gray matter | 1.5% | 3.5% | 6.6% | 8.4% |
| Meningioma | 0.5% | 1.3% | 6.4% | 3.0% |
Disclaimer/Publisher’s Note: The statements, opinions and data contained in all publications are solely those of the individual author(s) and contributor(s) and not of MDPI and/or the editor(s). MDPI and/or the editor(s) disclaim responsibility for any injury to people or property resulting from any ideas, methods, instructions or products referred to in the content. |
© 2023 by the authors. Licensee MDPI, Basel, Switzerland. This article is an open access article distributed under the terms and conditions of the Creative Commons Attribution (CC BY) license (https://creativecommons.org/licenses/by/4.0/).
Share and Cite
Kordić, A.; Šarolić, A. Dielectric Spectroscopy Shows a Permittivity Contrast between Meningioma Tissue and Brain White and Gray Matter—A Potential Physical Biomarker for Meningioma Discrimination. Cancers 2023, 15, 4153. https://doi.org/10.3390/cancers15164153
Kordić A, Šarolić A. Dielectric Spectroscopy Shows a Permittivity Contrast between Meningioma Tissue and Brain White and Gray Matter—A Potential Physical Biomarker for Meningioma Discrimination. Cancers. 2023; 15(16):4153. https://doi.org/10.3390/cancers15164153
Chicago/Turabian StyleKordić, Anton, and Antonio Šarolić. 2023. "Dielectric Spectroscopy Shows a Permittivity Contrast between Meningioma Tissue and Brain White and Gray Matter—A Potential Physical Biomarker for Meningioma Discrimination" Cancers 15, no. 16: 4153. https://doi.org/10.3390/cancers15164153
APA StyleKordić, A., & Šarolić, A. (2023). Dielectric Spectroscopy Shows a Permittivity Contrast between Meningioma Tissue and Brain White and Gray Matter—A Potential Physical Biomarker for Meningioma Discrimination. Cancers, 15(16), 4153. https://doi.org/10.3390/cancers15164153

