Resistance of Leukemia Cells to 5-Azacytidine: Different Responses to the Same Induction Protocol
Abstract
Simple Summary
Abstract
1. Introduction
2. Materials and Methods
2.1. Cell Culture Conditions
2.2. Determination of the Number and Viability of Cells
2.3. MTS Assay and Determination of IC50 Values
2.4. Determination of mRNA Gene Expression
2.5. Sequence Analysis
2.6. Detection of UCK1, UCK2, DCK, γ-H2AX, α-TUB and GAPDH Protein Levels
2.7. Detection of Cell Death Mode
2.8. Global DNA Methylation Status Determination
2.9. Statistical Analysis and Data Processing
3. Results
3.1. Resistance to AZA and Cross-Resistance to DAC and Other Deoxycytidine Analogs
3.2. Expression of Genes Involved in Metabolism and Transport of the Hypomethylating Agents
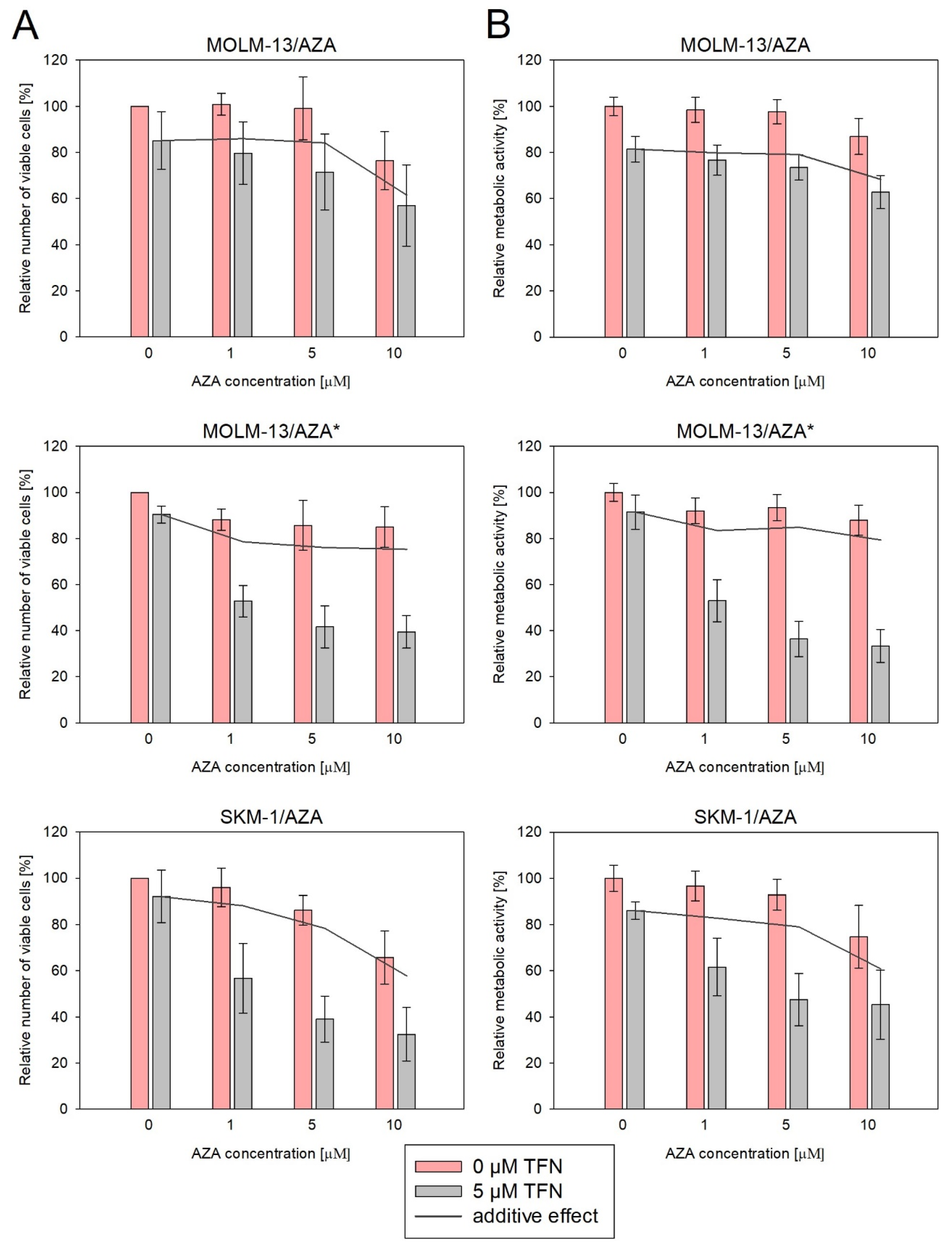
3.3. Impact of the DHODH Inhibitor Teriflunomide on AZA-Resistant Cells
4. Discussion
5. Conclusions
Supplementary Materials
Author Contributions
Funding
Institutional Review Board Statement
Informed Consent Statement
Data Availability Statement
Acknowledgments
Conflicts of Interest
References
- Greenberg, P.L.; Stone, R.M.; Al-Kali, A.; Barta, S.K.; Bejar, R.; Bennett, J.M.; Carraway, H.; De Castro, C.M.; Deeg, H.J.; DeZern, A.E.; et al. Myelodysplastic Syndromes, Version 2.2017, NCCN Clinical Practice Guidelines in Oncology. J. Natl. Compr. Cancer Netw. 2017, 15, 60–87. [Google Scholar] [CrossRef] [PubMed]
- O’Donnell, M.R.; Tallman, M.S.; Abboud, C.N.; Altman, J.K.; Appelbaum, F.R.; Arber, D.A.; Bhatt, V.; Bixby, D.; Blum, W.; Coutre, S.E.; et al. Acute Myeloid Leukemia, Version 3.2017: Clinical Practice Guidelines in Oncology. J. Natl. Compr. Cancer Netw. 2017, 15, 926–957. [Google Scholar] [CrossRef]
- European Medicines. Agency Vidaza: EPAR—Product Information. Available online: https://www.ema.europa.eu/en/documents/product-information/vidaza-epar-product-information_en.pdf (accessed on 6 March 2023).
- US Food and Drug. Administration VIDAZA® (Azacitidine). Available online: https://www.accessdata.fda.gov/drugsatfda_docs/label/2008/050794s011lbl.pdf (accessed on 6 March 2023).
- US Food and Drug Administration. ONUREG (Azacitidine) Tablets. Available online: https://www.accessdata.fda.gov/drugsatfda_docs/label/2020/214120s000lbl.pdf (accessed on 6 March 2023).
- European Medicines Agency. Onureg: EPAR—Product Information. Available online: https://www.ema.europa.eu/en/documents/product-information/onureg-epar-product-information_en.pdf (accessed on 6 March 2023).
- Wei, A.H.; Döhner, H.; Pocock, C.; Montesinos, P.; Afanasyev, B.; Dombret, H.; Ravandi, F.; Sayar, H.; Jang, J.H.; Porkka, K.; et al. The QUAZAR AML-001 Maintenance Trial: Results of a Phase III International, Randomized, Double-Blind, Placebo-Controlled Study of CC-486 (Oral Formulation of Azacitidine) in Patients with Acute Myeloid Leukemia (AML) in First Remission. Blood 2019, 134, LBA-3. [Google Scholar] [CrossRef]
- Adès, L. High-Risk MDS after HMAs. HemaSphere 2019, 3, 138–140. [Google Scholar] [CrossRef] [PubMed]
- Šimoničová, K.; Janotka, Ľ.; Kavcová, H.; Sulová, Z.; Breier, A.; Messingerova, L. Different Mechanisms of Drug Resistance to Hypomethylating Agents in the Treatment of Myelodysplastic Syndromes and Acute Myeloid Leukemia. Drug Resist. Updates 2022, 61, 100805. [Google Scholar] [CrossRef] [PubMed]
- Messingerova, L.; Imrichova, D.; Kavcova, H.; Turakova, K.; Breier, A.; Sulova, Z. Acute Myeloid Leukemia Cells MOLM-13 and SKM-1 Established for Resistance by Azacytidine Are Crossresistant to P-Glycoprotein Substrates. Toxicol. Vitr. 2015, 29, 1405–1415. [Google Scholar] [CrossRef]
- Stölzel, F.; Fordham, S.E.; Nandana, D.; Lin, W.Y.; Blair, H.; Elstob, C.; Bell, H.L.; Mohr, B.; Ruhnke, L.; Kunadt, D.; et al. Biallelic TET2 Mutations Confer Sensitivity to 5′-Azacitidine in Acute Myeloid Leukemia. JCI Insight 2023, 8, e150368. [Google Scholar] [CrossRef] [PubMed]
- Janotka, Ľ.; Messingerová, L.; Šimoničová, K.; Kavcová, H.; Elefantová, K.; Sulová, Z.; Breier, A. Changes in Apoptotic Pathways in MOLM-13 Cell Lines after Induction of Resistance to Hypomethylating Agents. Int. J. Mol. Sci. 2021, 22, 2076. [Google Scholar] [CrossRef]
- Derissen, E.J.B.; Beijnen, J.H. Intracellular Pharmacokinetics of Pyrimidine Analogues Used in Oncology and the Correlation with Drug Action. Clin. Pharmacokinet. 2020, 59, 1521–1550. [Google Scholar] [CrossRef]
- Walter, M.; Herr, P. Re-Discovery of Pyrimidine Salvage as Target in Cancer Therapy. Cells 2022, 11, 739. [Google Scholar] [CrossRef] [PubMed]
- Ritzel, M.W.L.; Ng, A.M.L.; Yao, S.Y.M.; Graham, K.; Loewen, S.K.; Smith, K.M.; Ritzel, R.G.; Mowles, D.A.; Carpenter, P.; Chen, X.Z.; et al. Molecular Identification and Characterization of Novel Human and Mouse Concentrative Na+-Nucleoside Cotransporter Proteins (HCNT3 and MCNT3) Broadly Selective for Purine and Pyrimidine Nucleosides (System Cib). J. Biol. Chem. 2001, 276, 2914–2927. [Google Scholar] [CrossRef]
- Juliusson, G.; Höglund, M.; Lehmann, S. Hypo, Hyper, or Combo: New Paradigm for Treatment of Acute Myeloid Leukemia in Older People. Haematologica 2020, 105, 249–251. [Google Scholar] [CrossRef] [PubMed]
- Valencia, A.; Masala, E.; Rossi, A.; Martino, A.; Sanna, A.; Buchi, F.; Canzian, F.; Cilloni, D.; Gaidano, V.; Voso, M.T.; et al. Expression of Nucleoside-Metabolizing Enzymes in Myelodysplastic Syndromes and Modulation of Response to Azacitidine. Leukemia 2014, 28, 621–628. [Google Scholar] [CrossRef] [PubMed]
- Hur, E.H.; Jung, S.-H.; Goo, B.-K.; Moon, J.; Choi, Y.; Choi, D.R.; Chung, Y.-J.; Lee, J.-H. Establishment and Characterization of Hypomethylating Agent Resistant Cell Lines, MOLM/AZA-1 and MOLM/DEC-5. Oncotarget 2017, 8, 11748–11762. [Google Scholar] [CrossRef]
- Murase, M.; Iwamura, H.; Komatsu, K.; Saito, M.; Maekawa, T.; Nakamura, T.; Yokokawa, T.; Shimada, Y. Lack of Cross-Resistance to FF-10501, an Inhibitor of Inosine-5′-Monophosphate Dehydrogenase, in Azacitidine-Resistant Cell Lines Selected from SKM-1 and MOLM-13 Leukemia Cell Lines. Pharmacol. Res. Perspect. 2016, 4, e00206. [Google Scholar] [CrossRef]
- Oellerich, T.; Schneider, C.; Thomas, D.; Knecht, K.M.; Buzovetsky, O.; Kaderali, L.; Schliemann, C.; Bohnenberger, H.; Angenendt, L.; Hartmann, W.; et al. Selective Inactivation of Hypomethylating Agents by SAMHD1 Provides a Rationale for Therapeutic Stratification in AML. Nat. Commun. 2019, 10, 3475. [Google Scholar] [CrossRef] [PubMed]
- Imanishi, S.; Umezu, T.; Ohtsuki, K.; Kobayashi, C.; Ohyashiki, K.; Ohyashiki, J.H. Constitutive Activation of the ATM/BRCA1 Pathway Prevents DNA Damage-Induced Apoptosis in 5-Azacytidine-Resistant Cell Lines. Biochem. Pharmacol. 2014, 89, 361–369. [Google Scholar] [CrossRef] [PubMed]
- Yoshida-Sakai, N.; Watanabe, T.; Yamamoto, Y.; Ureshino, H.; Kamachi, K.; Kurahashi, Y.; Fukuda-Kurahashi, Y.; Kimura, S. Adult T-cell Leukemia-lymphoma Acquires Resistance to DNA Demethylating Agents through Dysregulation of Enzymes Involved in Pyrimidine Metabolism. Int. J. Cancer 2021, 150, 1184–1197. [Google Scholar] [CrossRef]
- Grant, S.; Bhalla, K.; Gleyzer, M. Effect of Uridine on Response of 5-Azacytidine-Resistant Human Leukemic Cells to Inhibitors of de Novo Pyrimidine Synthesis. Cancer Res. 1984, 44, 5505–5510. [Google Scholar]
- Cheng, J.X.; Chen, L.; Li, Y.; Cloe, A.; Yue, M.; Wei, J.; Watanabe, K.A.; Shammo, J.M.; Anastasi, J.; Shen, Q.J.; et al. RNA Cytosine Methylation and Methyltransferases Mediate Chromatin Organization and 5-Azacytidine Response and Resistance in Leukaemia. Nat. Commun. 2018, 9, 1163. [Google Scholar] [CrossRef]
- Duong, V.H.; Bhatnagar, B.; Zandberg, D.P.; Vannorsdall, E.J.; Tidwell, M.L.; Chen, Q.; Baer, M.R. Lack of Objective Response of Myelodysplastic Syndromes and Acute Myeloid Leukemia to Decitabine after Failure of Azacitidine. Leuk. Lymphoma 2014, 56, 1718–1722. [Google Scholar] [CrossRef] [PubMed]
- Prébet, T.; Gore, S.D.; Esterni, B.; Gardin, C.; Itzykson, R.; Thepot, S.; Dreyfus, F.; Rauzy, O.B.; Recher, C.; Adès, L.; et al. Outcome of High-Risk Myelodysplastic Syndrome after Azacitidine Treatment Failure. J. Clin. Oncol. 2011, 29, 3322–3327. [Google Scholar] [CrossRef] [PubMed]
- Apuri, S.; Al Ali, N.; Padron, E.; Lancet, J.E.; List, A.F.; Komrokji, R.S. Evidence for Selective Benefit of Sequential Treatment With Hypomethylating Agents in Patients With Myelodysplastic Syndrome. Clin. Lymphoma Myeloma Leuk. 2017, 17, 211–214. [Google Scholar] [CrossRef]
- Borthakur, G.; El Ahdab, S.; Garcia-Manero, G.; Ravandi, F.; Ferrajoli, A.; Newman, B.A.; Issa, J.P.; Kantarjian, H. Activity of Decitabine in Patients with Myelodysplastic Syndrome Previously Treated with Azacitidine. Leuk. Lymphoma 2008, 49, 690–695. [Google Scholar] [CrossRef]
- Harel, S.; Cherait, A.; Berthon, C.; Willekens, C.; Park, S.; Rigal, M.; Brechignac, S.; Thépot, S.; Quesnel, B.; Gardin, C.; et al. Outcome of Patients with High Risk Myelodysplastic Syndrome (MDS) and Advanced Chronic Myelomonocytic Leukemia (CMML) Treated with Decitabine after Azacitidine Failure. Leuk. Res. 2015, 39, 501–504. [Google Scholar] [CrossRef] [PubMed]
- European Medicines Agency Dacogen (Decitabine): EPAR—Product Information. Available online: https://www.ema.europa.eu/en/documents/product-information/dacogen-epar-product-information_en.pdf (accessed on 3 April 2023).
- US Food and Drug Administration Dacogen® (Decitabine). Available online: https://www.accessdata.fda.gov/drugsatfda_docs/label/2018/021790s021lbl.pdf (accessed on 15 April 2023).
- Drenberg, C.D.; Shelat, A.; Dang, J.; Cotton, A.; Orwick, S.J.; Li, M.; Jeon, J.Y.; Fu, Q.; Buelow, D.R.; Pioso, M.; et al. A High-Throughput Screen Indicates Gemcitabine and JAK Inhibitors May Be Useful for Treating Pediatric AML. Nat. Commun. 2019, 10, 2189. [Google Scholar] [CrossRef] [PubMed]
- Angiolillo, A.L.; Whitlock, J.; Chen, Z.; Krailo, M.; Reaman, G. Phase II Study of Gemcitabine in Children with Relapsed Acute Lymphoblastic Leukemia or Acute Myelogenous Leukemia (ADVL0022): A Children’s Oncology Group Report. Pediatr. Blood Cancer 2006, 46, 193–197. [Google Scholar] [CrossRef]
- Hummel-Eisenbeiss, J.; Hascher, A.; Hals, P.-A.; Sandvold, M.L.; Müller-Tidow, C.; Lyko, F.; Rius, M. The Role of Human Equilibrative Nucleoside Transporter 1 on the Cellular Transport of the DNA Methyltransferase Inhibitors 5-Azacytidine and CP-4200 in Human Leukemia Cells S. Mol. Pharmacol. 2013, 84, 438–450. [Google Scholar] [CrossRef]
- Ueda, K.; Hosokawa, M.; Iwakawa, S. Cellular Uptake of Decitabine by Equilibrative Nucleoside Transporters in HCT116 Cells. Biol. Pharm. Bull. 2015, 38, 1113–1119. [Google Scholar] [CrossRef]
- Sripayap, P.; Nagai, T.; Uesawa, M.; Kobayashi, H.; Tsukahara, T.; Ohmine, K.; Muroi, K.; Ozawa, K. Mechanisms of Resistance to Azacitidine in Human Leukemia Cell Lines. Exp. Hematol. 2014, 42, 294–306.e2. [Google Scholar] [CrossRef]
- Aimiuwu, J.; Wang, H.; Chen, P.; Xie, Z.; Wang, J.; Liu, S.; Klisovic, R.; Mims, A.; Blum, W.; Marcucci, G.; et al. RNA-Dependent Inhibition of Ribonucleotide Reductase Is a Major Pathway for 5-Azacytidine Activity in Acute Myeloid Leukemia. Blood 2012, 119, 5229–5238. [Google Scholar] [CrossRef]
- Zhou, Z.; Song, Q.; Yang, Y.; Wang, L.; Wu, Z. Comprehensive Landscape of RRM2 with Immune Infiltration in Pan-Cancer. Cancers 2022, 14, 2938. [Google Scholar] [CrossRef] [PubMed]
- Griffiths, E.A.; Choy, G.; Redkar, S.; Taverna, P.; Azab, M.; Karpf, A.R. SGI-110: DNA Methyltransferase Inhibitor Oncolytic. Drugs Future 2013, 38, 535–543. [Google Scholar] [CrossRef] [PubMed]
- Rahmanian, N.; Shokrzadeh, M.; Eskandani, M. Recent Advances in ΓH2AX Biomarker-Based Genotoxicity Assays: A Marker of DNA Damage and Repair. DNA Repair 2021, 108, 103243. [Google Scholar] [CrossRef] [PubMed]
- Steinhaus, R.; Proft, S.; Schuelke, M.; Cooper, D.N.; Schwarz, J.M.; Seelow, D. MutationTaster2021. Nucleic Acids Res. 2021, 49, W446–W451. [Google Scholar] [CrossRef]
- Sim, N.L.; Kumar, P.; Hu, J.; Henikoff, S.; Schneider, G.; Ng, P.C. SIFT Web Server: Predicting Effects of Amino Acid Substitutions on Proteins. Nucleic Acids Res. 2012, 40, W452–W457. [Google Scholar] [CrossRef] [PubMed]
- Gu, X.; Tohme, R.; Tomlinson, B.; Sakre, N.; Hasipek, M.; Durkin, L.; Schuerger, C.; Grabowski, D.; Zidan, A.M.; Radivoyevitch, T.; et al. Decitabine- and 5-Azacytidine Resistance Emerges from Adaptive Responses of the Pyrimidine Metabolism Network. Leukemia 2021, 35, 1023–1036. [Google Scholar] [CrossRef] [PubMed]
- US Food and Drug Administration. AUBAGIO (Teriflunomide). Available online: https://www.accessdata.fda.gov/drugsatfda_docs/label/2016/202992s003lbl.pdf (accessed on 21 April 2023).
- European Medicines Agency Aubagio: EPAR—Product Information. Available online: https://www.ema.europa.eu/en/documents/product-information/aubagio-epar-product-information_en.pdf (accessed on 21 April 2023).
- Imanishi, S.; Takahashi, R.; Katagiri, S.; Kobayashi, C.; Umezu, T.; Ohyashiki, K.; Ohyashiki, J.H. Teriflunomide Restores 5-Azacytidine Sensitivity via Activation of Pyrimidine Salvage in 5-Azacytidine-Resistant Leukemia Cells. Oncotarget 2017, 8, 69906–69915. [Google Scholar] [CrossRef] [PubMed]
- Gruber, E.; Franich, R.L.; Shortt, J.; Johnstone, R.W.; Kats, L.M. Distinct and Overlapping Mechanisms of Resistance to Azacytidine and Guadecitabine in Acute Myeloid Leukemia. Leukemia 2020, 34, 3388–3392. [Google Scholar] [CrossRef] [PubMed]
- Van Rompay, A.R.; Norda, A.; Lindén, K.; Johansson, M.; Karlsson, A. Phosphorylation of Uridine and Cytidine Nucleoside Analogs by Two Human Uridine-Cytidine Kinases. Mol. Pharmacol. 2001, 59, 1181–1186. [Google Scholar] [CrossRef]
- Sarkisjan, D.; Julsing, J.R.; Smid, K.; De Klerk, D.; Van Kuilenburg, A.B.P.; Meinsma, R.; Lee, Y.B.; Kim, D.J.; Peters, G.J. The Cytidine Analog Fluorocyclopentenylcytosine (RX-3117) Is Activated by Uridine-Cytidine Kinase 2. PLoS ONE 2016, 11, e0162901. [Google Scholar] [CrossRef] [PubMed]
- Murata, D.; Endo, Y.; Obata, T.; Sakamoto, K.; Syouji, Y.; Kadohira, M.; Matsuda, A.; Sasaki, T. A Crucial Role of Uridine/Cytidine Kinase 2 in Antitumor Activity of 3’-Ethynyl Nucleosides. Drug Metab. Dispos. 2004, 32, 1178–1182. [Google Scholar] [CrossRef] [PubMed]
- Fu, Y.; Wei, X.D.; Guo, L.; Wu, K.; Le, J.; Ma, Y.; Kong, X.; Tong, Y.; Wu, H. The Metabolic and Non-Metabolic Roles of UCK2 in Tumor Progression. Front. Oncol. 2022, 12, 904887. [Google Scholar] [CrossRef] [PubMed]
- Meinsma, R.; van Kuilenburg, A.B.P. Purification, Activity, and Expression Levels of Two Uridine-Cytidine Kinase Isoforms in Neuroblastoma Cell Lines. Nucleosides Nucleotides Nucleic Acids 2016, 35, 613–618. [Google Scholar] [CrossRef] [PubMed]
- Lee, T.; Karon, M.; Momparler, R.L. Kinetic Studies on Phosphorylation of 5-Azacytidine with the Purified Uridine-Cytidine Kinase from Calf Thymus. Cancer Res. 1974, 34, 2482–2488. [Google Scholar] [PubMed]
- Lee, T.T.; Momparler, R.L. Inhibition of Uridine-Cytidine Kinase By 5-Azacytidine 5′-Triphosphate. Med. Pediatr. Oncol. 1976, 2, 265–270. [Google Scholar] [CrossRef]
- Awada, H.; Gurnari, C.; Xie, Z.; Bewersdorf, J.P.; Zeidan, A.M. What’s Next after Hypomethylating Agents Failure in Myeloid Neoplasms? A Rational Approach. Cancers 2023, 15, 2248. [Google Scholar] [CrossRef]
- Cao, L.; Weetall, M.; Trotta, C.; Cintron, K.; Ma, J.; Kim, M.J.; Furia, B.; Romfo, C.; Graci, J.D.; Li, W.; et al. Targeting of Hematologic Malignancies with PTC299, a Novel Potent Inhibitor of Dihydroorotate Dehydrogenase with Favorable Pharmaceutical Properties. Mol. Cancer Ther. 2019, 18, 3–16. [Google Scholar] [CrossRef] [PubMed]
- Zhou, J.; Quah, J.Y.; Ng, Y.; Chooi, J.Y.; Toh, S.H.M.; Lin, B.; Tan, T.Z.; Hosoi, H.; Osato, M.; Seet, Q.; et al. ASLAN003, a Potent Dihydroorotate Dehydrogenase Inhibitor for Differentiation of Acute Myeloid Leukemia. Haematologica 2020, 105, 2286–2297. [Google Scholar] [CrossRef] [PubMed]
- Christian, S.; Merz, C.; Evans, L.; Gradl, S.; Seidel, H.; Friberg, A.; Eheim, A.; Lejeune, P.; Brzezinka, K.; Zimmermann, K.; et al. The Novel Dihydroorotate Dehydrogenase (DHODH) Inhibitor BAY 2402234 Triggers Differentiation and Is Effective in the Treatment of Myeloid Malignancies. Leukemia 2019, 33, 2403–2415. [Google Scholar] [CrossRef] [PubMed]
- Sykes, D.B.; Kfoury, Y.S.; Mercier, F.E.; Wawer, M.J.; Law, J.M.; Haynes, M.K.; Lewis, T.A.; Schajnovitz, A.; Jain, E.; Lee, D.; et al. Inhibition of Dihydroorotate Dehydrogenase Overcomes Differentiation Blockade in Acute Myeloid Leukemia. Cell 2016, 167, 171–186.e15. [Google Scholar] [CrossRef] [PubMed]









| Gene | Primer Sequences (5′-3′) | TA (°C) | PCR Product Size (bp) |
|---|---|---|---|
| ACTB | CTGGGACGACATGGAGAAAA AAGGAAGGCTGGAAGAGTGC | 54.4 | 564 |
| CDA | GCAACATAGAAAATGCCTGCT TAGCAATTGCCCTGAAATCC | 56 | 102 |
| DCK | GTCTCAGAAAAATGGTGGGAATG ACAGGTTTCTCTGCATCTTTGAG | 56 | 150 |
| UCK1 | CGTGTGTGAGAAGATCATGG TGGTCAAAATTGTACTGTCCTTT | 56 | 150 |
| UCK2 | GACATCAGCGAGAGAGGCAG TCTTGCGTGAAGGGGTGTAG | 56 | 244 |
| NT5C3A | ACAACATAGCATCCCCGTGT TTCCTCAAGGCACCATCATGT | 58 | 198 |
| RRM1 | TGGAATTGGGGTACAAGGTC GAGAGCCCTCATAGGTTTCG | 56 | 176 |
| RRM2 | TTTACACTGTGATTTTGCTTGC TGTTCTATCCGAACAGCATTG | 56 | 102 |
| RRM2B | ATAAACAGGCACAGGCTTCC GAACCTGCACCTCCTGACTAA | 58 | 186 |
| SAMHD1 | GTTGCCAGTGCTAAACCCAAA TTTCTGTCTGCACACCACTGA | 56 | 293 |
| SLC29A1 | GTGTCCTTGGTCACTGCTGA GATGCAGGAAGGAGTTGAGG | 56 | 166 |
| SLC29A2 | ATCCTGAGCACCAACCACAC GTTGAGGAGGGTGAAGAGCA | 56 | 102 |
| SLC28A1 | AGGTTCTGCCCATCATTGTC CAAGTAGGGCCGGATCAGTA | gradient ** | 197 |
| SLC28A3 | GACTCACATCCATGGCTCCT TTCCAGGGAAAGTGGAGTTG | gradient ** | 183 |
| SLC28A3 [15] | GAAACATGTTTGACTACCCACAG GTGGAGTTGAAGGCATTCTCTAAAACGT | gradient ** | 481 |
| DHODH | CTGAACACCTGATGCCGACT CCGTAACCTGTGTTCCACCA | 58 | 371 |
| DCK * | CAGGATCTGGCTTAGCGG CATTTGGCTGCCTGTAGTCT | 63 | 914 |
| UCK1 * | AGATGGCTTCGGCGGGA AGTCCCTGAACACACATGCC | 65 | 890 |
| UCK2 * | AACCATGGCCGGGGACAG GATGAGCAGTGCCTCCTGAC | 65 | 858 |
| Cell Variant | MOLM-13/AZA | MOLM-13/AZA* | SKM-1/AZA | |||
| Sensitivity to DAC (AraC and GEM) | sensitive | considerably decreased sensitivity | slightly decreased sensitivity | |||
| Protein levels compared to parental cell lines | ||||||
| UCK1 | wild (homozygote) → | wild (homozygote) ↓ | mutation/wild (heterozygote) ↓ | |||
| UCK2 | mutation (homozygote) ↓ | wild (homozygote) ↓ | wild (homozygote) → | |||
| DCK | wild (homozygote) → | wild (homozygote) ↓ | wild (homozygote) → | |||
| Protein levels of γ-H2AX and abundance of methylated cytosine in DNA in the cell variants after the cultivation with HMAs | ||||||
| Cultivation in presence of: | AZA | DAC | AZA | DAC | AZA | DAC |
| 5-mC | → | ↓ | → | → | → | ↓ |
| γ-H2AX | ↑↑ | ↑↑↑↑↑ | → | →/↑ | ↑↑ | ↑↑ |
| Synergic effect of the drugs on the cell variant | ||||||
| TFN + HMA | ✕ | N/A | ✓ | ✕ | ✓ | ✕ |
Disclaimer/Publisher’s Note: The statements, opinions and data contained in all publications are solely those of the individual author(s) and contributor(s) and not of MDPI and/or the editor(s). MDPI and/or the editor(s) disclaim responsibility for any injury to people or property resulting from any ideas, methods, instructions or products referred to in the content. |
© 2023 by the authors. Licensee MDPI, Basel, Switzerland. This article is an open access article distributed under the terms and conditions of the Creative Commons Attribution (CC BY) license (https://creativecommons.org/licenses/by/4.0/).
Share and Cite
Šimoničová, K.; Janotka, L.; Kavcova, H.; Sulova, Z.; Messingerova, L.; Breier, A. Resistance of Leukemia Cells to 5-Azacytidine: Different Responses to the Same Induction Protocol. Cancers 2023, 15, 3063. https://doi.org/10.3390/cancers15113063
Šimoničová K, Janotka L, Kavcova H, Sulova Z, Messingerova L, Breier A. Resistance of Leukemia Cells to 5-Azacytidine: Different Responses to the Same Induction Protocol. Cancers. 2023; 15(11):3063. https://doi.org/10.3390/cancers15113063
Chicago/Turabian StyleŠimoničová, Kristína, Lubos Janotka, Helena Kavcova, Zdena Sulova, Lucia Messingerova, and Albert Breier. 2023. "Resistance of Leukemia Cells to 5-Azacytidine: Different Responses to the Same Induction Protocol" Cancers 15, no. 11: 3063. https://doi.org/10.3390/cancers15113063
APA StyleŠimoničová, K., Janotka, L., Kavcova, H., Sulova, Z., Messingerova, L., & Breier, A. (2023). Resistance of Leukemia Cells to 5-Azacytidine: Different Responses to the Same Induction Protocol. Cancers, 15(11), 3063. https://doi.org/10.3390/cancers15113063

