A Retrospective Study Comparing Olaparib and Bevacizumab as a Maintenance Therapy for Platinum-Sensitive Recurrent Ovarian Cancer: Impact on Recurrence-Free Survival in Japanese and Asian Populations
Abstract
Simple Summary
Abstract
1. Introduction
2. Materials and Methods
2.1. Ethics Approval
2.2. Patient History
2.3. Study Design
2.4. Blood Sample Analysis
2.5. Histopathology
2.6. Statistical Analysis
3. Results
4. Discussion
5. Conclusions
Author Contributions
Funding
Institutional Review Board Statement
Informed Consent Statement
Data Availability Statement
Conflicts of Interest
References
- Thigpen, J.T.; Blessing, J.A.; Ball, H.; Hummel, S.J.; Barrett, R.J. Phase II trial of paclitaxel in patients with progressive ovarian carcinoma after platinum-based chemotherapy: A Gynecologic Oncology Group study. J. Clin. Oncol. 1994, 12, 1748–1753. [Google Scholar] [CrossRef] [PubMed]
- NCCN. Clinical Practice Guidelines in Oncology (NCCN Guidelines®) Ovarian Cancer Including Fallopian Tube Cancer and Primary Peritoneal Cancer. Version 1.2023. 2022. Available online: https://www.nccn.org/professionals/physician_gls/pdf/ovarian.pdf (accessed on 10 April 2023).
- Tokunaga, H.; Mikami, M.; Nagase, S.; Kobayashi, Y.; Tabata, T.; Kaneuchi, M.; Satoh, T.; Hirashima, Y.; Matsumura, N.; Yokoyama, Y.; et al. The 2020 Japan Society of Gynecologic Oncology guidelines for the treatment of ovarian cancer, fallopian tube cancer, and primary peritoneal cancer. J. Gynecol. Oncol. 2021, 32, e49. [Google Scholar] [CrossRef] [PubMed]
- Nakanishi, K.; Yamada, T.; Ishikawa, G.; Suzuki, S. Beyond BRCA status: Clinical biomarkers may predict therapeutic effects of olaparib in platinum-sensitive ovarian cancer recurrence. Front. Oncol. 2021, 11, 697952. [Google Scholar] [CrossRef] [PubMed]
- Nguyen, J.M.V.; Ferguson, S.E.; Bernardini, M.Q.; May, T.; Laframboise, S.; Hogen, L.; Bouchard-Fortier, G. Preoperative neutrophil-to-lymphocyte ratio predicts 30 day postoperative morbidity and survival after primary surgery for ovarian cancer. Int. J. Gynecol. Cancer 2020, 30, 1378–1383. [Google Scholar] [CrossRef] [PubMed]
- Yin, X.; Wu, L.; Yang, H.; Yang, H. Prognostic significance of neutrophil-lymphocyte ratio (NLR) in patients with ovarian cancer: A systematic review and meta-analysis. Medicine 2019, 98, e17475. [Google Scholar] [CrossRef] [PubMed]
- Nie, D.; Gong, H.; Mao, X.; Li, Z. Systemic immune-inflammation index predicts prognosis in patients with epithelial ovarian cancer: A retrospective study. Gynecol. Oncol. 2019, 152, 259–264. [Google Scholar] [CrossRef] [PubMed]
- Kanda, Y. Investigation of the freely available easy-to-use software “EZR” for Medical Statistics. Bone Marrow Transplant. 2013, 48, 452–458. [Google Scholar] [CrossRef] [PubMed]
- Eisenhauer, E.A.; Therasse, P.; Bogaerts, J.; Schwartz, L.H.; Sargent, D.; Ford, R.; Dancey, J.; Arbuck, S.; Gwyther, S.; Mooney, M.; et al. New response evaluation criteria in solid tumours: Revised RECIST guideline (version 1.1). Eur. J. Cancer 2009, 45, 228–247. [Google Scholar] [CrossRef] [PubMed]
- Aghajanian, C.; Blank, S.V.; Goff, B.A.; Judson, P.L.; Teneriello, M.G.; Husain, A.; Sovak, M.A.; Yi, J.; Nycum, L.R. OCEANS: A randomized, double-blind, placebo-controlled phase III trial of chemotherapy with or without bevacizumab in patients with platinum-sensitive recurrent epithelial ovarian, primary peritoneal, or fallopian tube cancer. J. Clin. Oncol. 2012, 30, 2039–2045. [Google Scholar] [CrossRef] [PubMed]
- Coleman, R.L.; Brady, M.F.; Herzog, T.J.; Sabbatini, P.; Armstrong, D.K.; Walker, J.L.; Kim, B.; Fujiwara, K.; Tewari, K.S.; O’Malley, D.M.; et al. Bevacizumab and paclitaxel–carboplatin chemotherapy and secondary cytoreduction in recurrent, platinum-sensitive ovarian cancer (NRG Oncology/Gynecologic Oncology Group study GOG-0213): A multicentre, open-label, randomised, phase 3 trial. Lancet Oncol. 2017, 18, 779–791. [Google Scholar] [CrossRef] [PubMed]
- Ledermann, J.; Harter, P.; Gourley, C.; Friedlander, M.; Vergote, I.; Rustin, G.; Scott, C.; Meier, W.; Shapira-Frommer, R.; Safra, T.; et al. Olaparib maintenance therapy in platinum-sensitive relapsed ovarian cancer. N. Engl. J. Med. 2012, 366, 1382–1392. [Google Scholar] [CrossRef] [PubMed]
- Pujade-Lauraine, E.; Ledermann, J.A.; Selle, F.; Gebski, V.; Penson, R.T.; Oza, A.M.; Korach, J.; Huzarski, T.; Poveda, A.; Pignata, S.; et al. Olaparib tablets as maintenance therapy in patients with platinum-sensitive, relapsed ovarian cancer and a BRCA1/2 mutation (SOLO2/ENGOT-Ov21): A double-blind, randomised, placebo-controlled, phase 3 trial. Lancet Oncol. 2017, 18, 1274–1284. [Google Scholar] [CrossRef] [PubMed]
- Mirza, M.R.; Monk, B.J.; Herrstedt, J.; Oza, A.M.; Mahner, S.; Redondo, A.; Fabbro, M.; Ledermann, J.A.; Lorusso, D.; Vergote, I.; et al. Niraparib maintenance therapy in platinum-sensitive, recurrent ovarian cancer. N. Engl. J. Med. 2016, 375, 2154–2164. [Google Scholar] [CrossRef] [PubMed]
- Ray-Coquard, I.; Mirza, M.R.; Pignata, S.; Walther, A.; Romero, I.; du Bois, A. Therapeutic options following second-line platinum-based chemotherapy in patients with recurrent ovarian cancer: Comparison of active surveillance and maintenance treatment. Cancer Treat. Rev. 2020, 90, 102107. [Google Scholar] [CrossRef] [PubMed]
- Lee, C.K.; Friedlander, M.L.; Tjokrowidjaja, A.; Ledermann, J.A.; Coleman, R.L.; Mirza, M.R.; Matulonis, U.A.; Pujade-Lauraine, E.; Bloomfield, R.; Goble, S.; et al. Molecular and clinical predictors of improvement in progression-free survival with maintenance PARP inhibitor therapy in women with platinum-sensitive, recurrent ovarian cancer: A meta-analysis. Cancer 2021, 127, 2432–2441. [Google Scholar] [CrossRef] [PubMed]
- Kim, S.I.; Lee, J.W.; Kim, K.; Lee, M.; Yoo, J.; Choi, M.C.; Hwangbo, S.; Kwak, Y.H.; Lee, J.M.; Shin, S.J.; et al. Comparisons of survival outcomes between bevacizumab and olaparib in BRCA-mutated, platinum-sensitive relapsed ovarian cancer: A Korean Gynecologic Oncology Group study (KGOG 3052). J. Gynecol. Oncol. 2021, 32, e90. [Google Scholar] [CrossRef] [PubMed]
- Yoshihama, T.; Kuroda, Y.; Chiyoda, T.; Takahashi, M.; Yoshimura, T.; Saotome, K.; Nanki, Y.; Sakai, K.; Kobayashi, Y.; Yamagami, W.; et al. Efficacy and safety of olaparib maintenance monotherapy for Japanese patients with platinum-sensitive relapsed ovarian, fallopian tube, and primary peritoneal cancer. Int. J. Clin. Oncol. 2022, 27, 1644–1650. [Google Scholar] [CrossRef] [PubMed]
- Gao, Q.; Zhu, J.; Zhao, W.; Huang, Y.; An, R.; Zheng, H.; Qu, P.; Wang, L.; Zhou, Q.; Wang, D.; et al. Olaparib maintenance monotherapy in Asian patients with platinum-sensitive relapsed ovarian cancer: Phase III trial (L-MOCA). Clin. Cancer Res. 2022, 28, 2278–2285. [Google Scholar] [CrossRef] [PubMed]
- Musella, A.; Vertechy, L.; Romito, A.; Marchetti, C.; Giannini, A.; Sciuga, V.; Bracchi, C.; Tomao, F.; Di Donato, V.; De Felice, F.; et al. Bevacizumab in ovarian cancer: State of the art and unanswered questions. Chemotherapy 2017, 62, 111–120. [Google Scholar] [CrossRef] [PubMed]


| Bevacizumab | Olaparib | p Value | ||
|---|---|---|---|---|
| Patient no. | 17 | 34 | ||
| Age | 59.0 [40–68] | 60.50 [38–76] | 0.258 | |
| FIGO stage | 1 | 2 [11.8] | 4 [11.8] | 0.702 |
| 2 | 0 [0.0] | 3 [8.8] | ||
| 3 | 11 [64.7] | 17 [50.0] | ||
| 4 | 4 [23.5] | 10 [29.4] | ||
| HGSC | 8 [47.1] | 21 [61.8] | 0.377 | |
| Non-HGSC | 9 [52.9] | 13 [38.2] | ||
| BRCAm | 2 [11.8] | 3 [8.8] | 0.654 | |
| BRCAwt | 5 [29.4] | 7 [20.6] | ||
| Unknown BRCA status | 10 [58.8] | 24 [70.6] | ||
| HRD | 2 [11.8] | 4 [11.8] | 0.365 | |
| HRP | 6 [35.3] | 6 [17.6] | ||
| Unknown HR status | 9 [52.9] | 24 [70.6] | ||
| CR | 6 [35.3] | 19 [55.9] | 0.237 | |
| PR | 11 [64.7] | 15 [44.1] | ||
| Previous chemotherapy (No.) | 0 | 1 [5.9] | 2 [5.9] | 0.429 |
| 1 | 9 [52.9] | 14 [41.2] | ||
| 2 | 3 [17.6] | 9 [26.5] | ||
| 3 | 3 [17.6] | 3 [8.8] | ||
| 4 | 0 [0.0] | 4 [11.8] | ||
| 5 | 0 [0.0] | 2 [5.9] | ||
| 7 | 1 [5.9] | 0 [0.0] | ||
| White blood cell (/μL) | 4900 [3300, 6900] | 5550 [3300, 10,800] | 0.134 | |
| Neutrophil (%) | 64.8 [36.6, 76.4] | 63.5 [36.6, 76.1] | 0.967 | |
| Lymphocyte (%) | 29.0 [10.7, 54.3] | 29.3 [15.0, 54.3] | 0.822 | |
| Platelet (104/μL) | 19.4 [11.0, 31.1] | 22.6 [12.3, 38.5] | 0.108 | |
| CA125 (IU/mL) | 64.1 [6.2, 34,000.0] | 75.8 [6.8, 1857.6] | 0.905 | |
| LDH (IU/L) | 189.0 [155.0, 304.0] | 189.0 [118.0, 326.0] | 0.728 | |
| CRP (mg/dL) | 0.14 [0.05, 3.06] | 0.13 [0.03, 3.05] | 0.727 | |
| NLPN score | 3.3 [0.0, 16.3] | 3.0 [0.0, 20.9] | 0.751 | |
| NLR | 2.3 [0.7, 7.0] | 2.1 [0.7, 5.1] | 0.743 | |
| SII | 42.4 [10.7, 160.1] | 48.0 [10.7, 164.1] | 0.183 | |
| Variables | n | Median Survival | p Value |
|---|---|---|---|
| HRD | 6 | 31 (10–NA) | 0.617 |
| non-HRD | 45 | 21 (16–27) | |
| BRCAm | 5 | 31 (10–NA) | 0.706 |
| BRCAwt or unknown | 46 | 21 (16–27) | |
| HGSC | 29 | 20 (11–NA) | 0.915 |
| non-HGSC | 22 | 22 (11–31) | |
| CR | 25 | 23 (12–NA) | 0.273 |
| PR | 26 | 19 (8–24) | |
| Elevated CA125 (>35) | 37 | 22 (12–31) | 0.928 |
| Normal CA125 | 14 | 20 (8–NA) | |
| Elevated CRP (>0.1) | 30 | 20 (11–NA) | 0.787 |
| Normal CRP | 21 | 22 (11–NA) | |
| Elevated LDH (>222) | 13 | 31 (5–NA) | 0.163 |
| Normal LDH | 38 | 20 (11–24) | |
| Elevated SII (>730) | 9 | 11 (5–NA) | 0.207 |
| Normal SII | 41 | 22 (18–31) | |
| Elevated NLPN score (>7.51) | 8 | 13.5 (5–NA) | 0.279 |
| Normal NLPN score | 42 | 22 (19–31) | |
| Elevated NLR (>3) | 9 | 11 (5–NA) | 0.235 |
| Normal NLR | 41 | 22 (18–31) | |
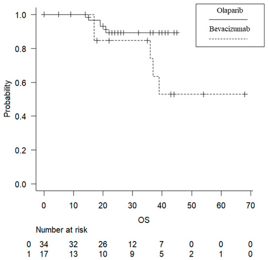
| Ola | 34 | 27 (19–NA) | 0.000103 |
| Bev | 17 | 9 (5–22) |
Disclaimer/Publisher’s Note: The statements, opinions and data contained in all publications are solely those of the individual author(s) and contributor(s) and not of MDPI and/or the editor(s). MDPI and/or the editor(s) disclaim responsibility for any injury to people or property resulting from any ideas, methods, instructions or products referred to in the content. |
© 2023 by the authors. Licensee MDPI, Basel, Switzerland. This article is an open access article distributed under the terms and conditions of the Creative Commons Attribution (CC BY) license (https://creativecommons.org/licenses/by/4.0/).
Share and Cite
Nakanishi, K.; Toyoshima, M.; Ueno, Y.; Suzuki, S. A Retrospective Study Comparing Olaparib and Bevacizumab as a Maintenance Therapy for Platinum-Sensitive Recurrent Ovarian Cancer: Impact on Recurrence-Free Survival in Japanese and Asian Populations. Cancers 2023, 15, 2869. https://doi.org/10.3390/cancers15102869
Nakanishi K, Toyoshima M, Ueno Y, Suzuki S. A Retrospective Study Comparing Olaparib and Bevacizumab as a Maintenance Therapy for Platinum-Sensitive Recurrent Ovarian Cancer: Impact on Recurrence-Free Survival in Japanese and Asian Populations. Cancers. 2023; 15(10):2869. https://doi.org/10.3390/cancers15102869
Chicago/Turabian StyleNakanishi, Kazuho, Masafumi Toyoshima, Yuta Ueno, and Shunji Suzuki. 2023. "A Retrospective Study Comparing Olaparib and Bevacizumab as a Maintenance Therapy for Platinum-Sensitive Recurrent Ovarian Cancer: Impact on Recurrence-Free Survival in Japanese and Asian Populations" Cancers 15, no. 10: 2869. https://doi.org/10.3390/cancers15102869
APA StyleNakanishi, K., Toyoshima, M., Ueno, Y., & Suzuki, S. (2023). A Retrospective Study Comparing Olaparib and Bevacizumab as a Maintenance Therapy for Platinum-Sensitive Recurrent Ovarian Cancer: Impact on Recurrence-Free Survival in Japanese and Asian Populations. Cancers, 15(10), 2869. https://doi.org/10.3390/cancers15102869

