Clinical Usefulness of Surgical Resection Including the Complementary Use of Radiofrequency Ablation for Intermediate-Stage Hepatocellular Carcinoma
Abstract
Simple Summary
Abstract
1. Introduction
2. Materials and Methods
Statistical Analysis
3. Results
3.1. Patient Characteristics
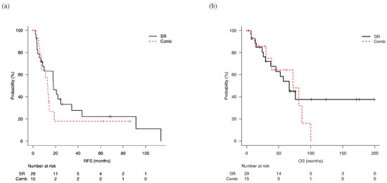
3.2. RFS and OS
3.3. Complications Associated with Treatment
3.4. Sub-Analysis: Outcome for Cases beyond the up-to-7 Criteria
4. Discussion
5. Conclusions
Author Contributions
Funding
Institutional Review Board Statement
Informed Consent Statement
Data Availability Statement
Conflicts of Interest
References
- Sung, H.; Ferlay, J.; Siegel, R.L.; Laversanne, M.; Soerjomataram, I.; Jemal, A.; Bray, F. Global Cancer Statistics 2020: GLOBOCAN Estimates of Incidence and Mortality Worldwide for 36 Cancers in 185 Countries. CA Cancer J. Clin. 2021, 71, 209–249. [Google Scholar] [CrossRef] [PubMed]
- Reig, M.; Forner, A.; Rimola, J.; Ferrer-Fabrega, J.; Burrel, M.; Garcia-Criado, A.; Kelley, R.K.; Galle, P.R.; Mazzaferro, V.; Salem, R.; et al. BCLC strategy for prognosis prediction and treatment recommendation: The 2022 update. J. Hepatol. 2022, 76, 681–693. [Google Scholar] [CrossRef] [PubMed]
- Mehta, N.; Bhangui, P.; Yao, F.Y.; Mazzaferro, V.; Toso, C.; Akamatsu, N.; Durand, F.; Ijzermans, J.; Polak, W.; Zheng, S.; et al. Liver Transplantation for Hepatocellular Carcinoma. Working Group Report from the ILTS Transplant Oncology Consensus Conference. Transplantation 2020, 104, 1136–1142. [Google Scholar] [CrossRef]
- Cai, W.; Liu, Z.; Xiao, Y.; Zhang, W.; Tang, D.; Cheng, B.; Li, Q. Comparison of clinical outcomes of laparoscopic versus open surgery for recurrent hepatocellular carcinoma: A meta-analysis. Surg. Endosc. 2019, 33, 3550–3557. [Google Scholar] [CrossRef] [PubMed]
- Tsilimigras, D.I.; Sahara, K.; Moris, D.; Mehta, R.; Paredes, A.Z.; Ratti, F.; Marques, H.P.; Soubrane, O.; Lam, V.; Poultsides, G.A.; et al. Assessing Textbook Outcomes Following Liver Surgery for Primary Liver Cancer Over a 12-Year Time Period at Major Hepatobiliary Centers. Ann. Surg. Oncol. 2020, 27, 3318–3327. [Google Scholar] [CrossRef]
- Wada, H.; Eguchi, H.; Noda, T.; Ogawa, H.; Yamada, D.; Tomimaru, Y.; Tomokuni, A.; Asaoka, T.; Kawamoto, K.; Gotoh, K.; et al. Selection criteria for hepatic resection in intermediate-stage (BCLC stage B) multiple hepatocellular carcinoma. Surgery 2016, 160, 1227–1235. [Google Scholar] [CrossRef]
- Bhandare, M.S.; Patkar, S.; Shetty, N.; Polnaya, A.; Kulkarni, S.; Dusane, R.R.; Shrikhande, S.V.; Goel, M. Liver resection for HCC outside the BCLC criteria. Langenbecks Arch. Surg. 2018, 403, 37–44. [Google Scholar] [CrossRef]
- Hyun, M.H.; Lee, Y.S.; Kim, J.H.; Lee, C.U.; Jung, Y.K.; Seo, Y.S.; Yim, H.J.; Yeon, J.E.; Byun, K.S. Hepatic resection compared to chemoembolization in intermediate- to advanced-stage hepatocellular carcinoma: A meta-analysis of high-quality studies. Hepatology 2018, 68, 977–993. [Google Scholar] [CrossRef]
- Elias, D.; Goharin, A.; El Otmany, A.; Taieb, J.; Duvillard, P.; Lasser, P.; de Baere, T. Usefulness of intraoperative radiofrequency thermoablation of liver tumours associated or not with hepatectomy. Eur. J. Surg. Oncol. (EJSO) 2000, 26, 763–769. [Google Scholar] [CrossRef]
- Choi, D.; Lim, H.K.; Joh, J.-W.; Kim, S.-J.; Kim, M.J.; Rhim, H.; Kim, Y.-s.; Yoo, B.C.; Paik, S.W.; Park, C.K. Combined Hepatectomy and Radiofrequency Ablation for Multifocal Hepatocellular Carcinomas: Long-term Follow-up Results and Prognostic Factors. Ann. Surg. Oncol. 2007, 14, 3510–3518. [Google Scholar] [CrossRef]
- Pugh, R.N.; Murray-Lyon, I.M.; Dawson, J.L.; Pietroni, M.C.; Williams, R. Transection of the oesophagus for bleeding oesophageal varices. Br. J. Surg. 1973, 60, 646–649. [Google Scholar] [CrossRef] [PubMed]
- Johnson, P.J.; Berhane, S.; Kagebayashi, C.; Satomura, S.; Teng, M.; Reeves, H.L.; O’Beirne, J.; Fox, R.; Skowronska, A.; Palmer, D.; et al. Assessment of liver function in patients with hepatocellular carcinoma: A new evidence-based approach-the ALBI grade. J. Clin. Oncol. 2015, 33, 550–558. [Google Scholar] [CrossRef] [PubMed]
- Hiraoka, A.; Kumada, T.; Michitaka, K.; Toyoda, H.; Tada, T.; Ueki, H.; Kaneto, M.; Aibiki, T.; Okudaira, T.; Kawakami, T.; et al. Usefulness of albumin-bilirubin grade for evaluation of prognosis of 2584 Japanese patients with hepatocellular carcinoma. J. Gastroenterol. Hepatol. 2016, 31, 1031–1036. [Google Scholar] [CrossRef]
- Hiraoka, A.; Michitaka, K.; Kumada, T.; Izumi, N.; Kadoya, M.; Kokudo, N.; Kubo, S.; Matsuyama, Y.; Nakashima, O.; Sakamoto, M.; et al. Validation and Potential of Albumin-Bilirubin Grade and Prognostication in a Nationwide Survey of 46,681 Hepatocellular Carcinoma Patients in Japan: The Need for a More Detailed Evaluation of Hepatic Function. Liver Cancer 2017, 6, 325–336. [Google Scholar] [CrossRef]
- Kanda, Y. Investigation of the freely available easy-to-use software ‘EZR’ for medical statistics. Bone Marrow Transpl. 2013, 48, 452–458. [Google Scholar] [CrossRef] [PubMed]
- Prince, D.; Liu, K.; Xu, W.; Chen, M.; Sun, J.Y.; Lu, X.J.; Ji, J. Management of patients with intermediate stage hepatocellular carcinoma. Ther. Adv. Med. Oncol. 2020, 12, 1758835920970840. [Google Scholar] [CrossRef]
- Kim, B.K.; Kim, S.U.; Kim, K.A.; Chung, Y.E.; Kim, M.J.; Park, M.S.; Park, J.Y.; Kim, D.Y.; Ahn, S.H.; Kim, M.D.; et al. Complete response at first chemoembolization is still the most robust predictor for favorable outcome in hepatocellular carcinoma. J. Hepatol. 2015, 62, 1304–1310. [Google Scholar] [CrossRef]
- Bolondi, L.; Burroughs, A.; Dufour, J.F.; Galle, P.R.; Mazzaferro, V.; Piscaglia, F.; Raoul, J.L.; Sangro, B. Heterogeneity of patients with intermediate (BCLC B) Hepatocellular Carcinoma: Proposal for a subclassification to facilitate treatment decisions. Semin. Liver Dis. 2012, 32, 348–359. [Google Scholar]
- Kudo, M.; Arizumi, T.; Ueshima, K.; Sakurai, T.; Kitano, M.; Nishida, N. Subclassification of BCLC B Stage Hepatocellular Carcinoma and Treatment Strategies: Proposal of Modified Bolondi’s Subclassification (Kinki Criteria). Dig. Dis. 2015, 33, 751–758. [Google Scholar] [CrossRef]
- Arizumi, T.; Minami, T.; Chishina, H.; Kono, M.; Takita, M.; Yada, N.; Hagiwara, S.; Minami, Y.; Ida, H.; Ueshima, K.; et al. Time to Transcatheter Arterial Chemoembolization Refractoriness in Patients with Hepatocellular Carcinoma in Kinki Criteria Stages B1 and B2. Dig. Dis. 2017, 35, 589–597. [Google Scholar] [CrossRef]
- Kimura, H.; Ohkawa, K.; Miyazaki, M.; Sakakibara, M.; Imanaka, K.; Tamura, T.; Sueyoshi, H.; Takada, R.; Fukutake, N.; Uehara, H.; et al. Subclassification of patients with intermediate-stage (Barcelona Clinic Liver Cancer stage-B) hepatocellular carcinoma using the up-to-seven criteria and serum tumor markers. Hepatol. Int. 2017, 11, 105–114. [Google Scholar] [CrossRef] [PubMed]
- Takayasu, K.; Arii, S.; Kudo, M.; Ichida, T.; Matsui, O.; Izumi, N.; Matsuyama, Y.; Sakamoto, M.; Nakashima, O.; Ku, Y.; et al. Superselective transarterial chemoembolization for hepatocellular carcinoma. Validation of treatment algorithm proposed by Japanese guidelines. J. Hepatol. 2012, 56, 886–892. [Google Scholar] [CrossRef] [PubMed]
- Zhu, F.; Chang, Q.; Duan, S.; Leng, W. Efficacy and safety of radiofrequency ablation versus laparoscopic hepatectomy for small hepatocellular carcinoma: A protocol for a randomized controlled trial. Medicine 2021, 100, e23678. [Google Scholar] [CrossRef] [PubMed]
- Kaibori, M.; Hiraoka, A.; Matsui, K.; Matsushima, H.; Kosaka, H.; Yamamoto, H.; Yamaguchi, T.; Yoshida, K.; Sekimoto, M. Predicting Complications following Surgical Resection of Hepatocellular Carcinoma Using Newly Developed Neo-Glasgow Prognostic Score with ALBI Grade: Comparison of Open and Laparoscopic Surgery Cases. Cancers 2022, 14, 1402. [Google Scholar] [CrossRef]
- Torzilli, G.; Belghiti, J.; Kokudo, N.; Takayama, T.; Capussotti, L.; Nuzzo, G.; Vauthey, J.N.; Choti, M.A.; De Santibanes, E.; Donadon, M.; et al. A snapshot of the effective indications and results of surgery for hepatocellular carcinoma in tertiary referral centers: Is it adherent to the EASL/AASLD recommendations?: An observational study of the HCC East-West study group. Ann. Surg. 2013, 257, 929–937. [Google Scholar] [CrossRef]
- Tsilimigras, D.I.; Bagante, F.; Moris, D.; Merath, K.; Paredes, A.Z.; Sahara, K.; Ratti, F.; Marques, H.P.; Soubrane, O.; Lam, V.; et al. Defining the chance of cure after resection for hepatocellular carcinoma within and beyond the Barcelona Clinic Liver Cancer guidelines: A multi-institutional analysis of 1010 patients. Surgery 2019, 166, 967–974. [Google Scholar] [CrossRef]
- Espinosa, W.; Liu, Y.W.; Wang, C.C.; Lin, C.C.; Wang, J.H.; Lu, S.N.; Hung, C.H. Combined resection and radiofrequency ablation versus transarterial embolization for intermediate-stage hepatocellular carcinoma: A propensity score matching study. J. Formos. Med. Assoc. 2018, 117, 197–203. [Google Scholar] [CrossRef]
- Tada, T.; Kumada, T.; Toyoda, H.; Nakamura, S.; Endo, Y.; Kaneoka, Y.; Hiraoka, A.; Joko, K.; Hirooka, M.; Hiasa, Y. A validation study of combined resection and ablation therapy for multiple hepatocellular carcinoma. Clin. Radiol. 2022, 77, 114–120. [Google Scholar] [CrossRef]
- Kudo, M. A Novel Treatment Strategy for Patients with Intermediate-Stage HCC Who Are Not Suitable for TACE: Upfront Systemic Therapy Followed by Curative Conversion. Liver Cancer 2021, 10, 539–544. [Google Scholar] [CrossRef]
- Kudo, M. Atezolizumab plus Bevacizumab Followed by Curative Conversion (ABC Conversion) in Patients with Unresectable, TACE-Unsuitable Intermediate-Stage Hepatocellular Carcinoma. Liver Cancer 2022, 11, 399–406. [Google Scholar] [CrossRef]
- Kudo, M.; Ueshima, K.; Ikeda, M.; Torimura, T.; Aikata, H.; Izumi, N.; Yamasaki, T.; Hino, K.; Kuzuya, T.; Isoda, N.; et al. TACTICS: Final overall survival (OS) data from a randomized, open label, multicenter, phase II trial of transcatheter arterial chemoembolization (TACE) therapy in combination with sorafenib as compared with TACE alone in patients (pts) with hepatocellular carcinoma (HCC). J. Clin. Oncol. 2021, 39, 270. [Google Scholar]
- Kudo, M.; Ueshima, K.; Chan, S.; Minami, T.; Chishina, H.; Aoki, T.; Takita, M.; Hagiwara, S.; Minami, Y.; Ida, H.; et al. Lenvatinib as an Initial Treatment in Patients with Intermediate-Stage Hepatocellular Carcinoma Beyond Up-To-Seven Criteria and Child-Pugh A Liver Function: A Proof-Of-Concept Study. Cancers 2019, 11, 1084. [Google Scholar] [CrossRef] [PubMed]
- Finn, R.S.; Qin, S.; Ikeda, M.; Galle, P.R.; Ducreux, M.; Kim, T.Y.; Kudo, M.; Breder, V.; Merle, P.; Kaseb, A.O.; et al. Atezolizumab plus Bevacizumab in Unresectable Hepatocellular Carcinoma. N. Engl. J. Med. 2020, 382, 1894–1905. [Google Scholar] [CrossRef] [PubMed]
- Finn, R.S.; Qin, S.; Ikeda, M.; Galle, P.R.; Ducreux, M.; Kim, T.-Y.; Lim, H.Y.; Kudo, M.; Breder, V.V.; Merle, P.; et al. IMbrave150: Updated overall survival (OS) data from a global, randomized, open-label phase III study of atezolizumab (atezo) + bevacizumab (bev) versus sorafenib (sor) in patients (pts) with unresectable hepatocellular carcinoma (HCC). J. Clin. Oncol. 2021, 39, 267. [Google Scholar] [CrossRef]




| All (n = 70) | SR Group (n = 45) | Comb Group (n = 25) | p Value | |
|---|---|---|---|---|
| Age, years * | 68 (63–74) | 67 (64–75) | 68 (62–73) | 0.43 |
| Gender, males:females | 54:16 | 33:12 | 21:4 | 0.38 |
| Etiology, HBV:HCV:HBV + HCV:alcohol:others | 10:37:1:5:17 | 6:24:1::3:11 | 4:13:0:2:6 | 1.0 |
| BMI, kg/m2 * | 23.1 (28.1–25.1) | 23.1 (22.1–25.2) | 23.0 (21.7–24.0) | 0.81 |
| AST, U/L * | 45 (30–77) | 43 (29–60) | 57 (30–86) | 0.26 |
| ALT, U/L * | 42 (24–64) | 41 (26–54) | 50 (21–74) | 0.43 |
| Platelets, 104/µL * | 15.5 (11.3–19.1) | 16.6 (12.9–19.3) | 14.4 (9.7–16.4) | 0.1 |
| Total bilirubin, mg/dL * | 0.7 (0.5–1.0) | 0.7 (0.5–0.8) | 0.9 (0.5–1.1) | 0.1 |
| Albumin, g/dL * | 4.0 (3.7–4.2) | 4.0 (3.8–4.3) | 3.8 (3.6–4.2) | 0.07 |
| Prothrombin time, % * | 88.4 (80.7–98.0) | 90.7 (86.0–99.3) | 84.6 (77.5–90.8) | 0.01 |
| ALBI score * | −2.66 (−2.95 to −2.44) | −2.74 (−3.02 to −2.57) | −2.52 (−2.90 to −2.26) | 0.02 |
| mALBI, 1:2a:2b:3 | 41:19:9:1 | 31:11:3:0 | 10:8:6:1 | 0.03 |
| Child-Pugh score, A:B | 67:3 | 45:0 | 22:3 | 0.04 |
| FIB4-index * | 3.4 (2.5–4.3) | 3.3 (2.3–4.0) | 4.2 (3.0–6.9) | 0.03 |
| AFP, ng/mL * | 35.7 (6.9–340.2) | 40.9 (7.9–841.1) | 32.7 (4.8–68.0) | 0.11 |
| DCP, mAU/mL * | 739 (150–3462) | 673 (166–2737) | 1210 (132–3884) | 0.73 |
| Tumor location (one:both lobes) | 35:35 | 29:16 | 6:19 | <0.01 |
| Tumor size (maximum), cm * | 4.95(4.0–6.0) | 5.3 (4.0–7.0) | 4.8 (3.7–5.8) | 0.1 |
| Number of tumors * | 2 (2–3) | 2 (2–3) | 2 (2–3) | 0.3 |
| SR Group (n = 29) | Comb Group (n = 15) | p Value | |
|---|---|---|---|
| Age, years * | 66 (64–75) | 64 (61–73) | 0.36 |
| Gender, males:females | 23:6 | 13:2 | 0.70 |
| Etiology, HBV:HCV:alcohol:others | 3:13:3:10 | 2:7:2:4 | 1.0 |
| BMI, kg/m2 * | 23.1(22.1–25.0) | 23.7 (21.2–26.7) | 0.78 |
| AST, U/L * | 46 (36–62) | 54 (30–78) | 0.75 |
| ALT, U/L * | 42 (27–57) | 40 (22–65) | 0.94 |
| Platelets, 104/µL * | 17.1 (14.9–21.5) | 15.2 (14.0–17.7) | 0.08 |
| Total bilirubin, mg/dL * | 0.8 (0.5–0.9) | 0.7 (0.4–1.0) | 1.0 |
| Albumin, g/dL * | 4.1 (3.8–4.4) | 3.8 (3.6–4.2) | 0.11 |
| Prothrombin time, % * | 90.0 (85.0–96.3) | 79.0 (75.6–95.5) | 0.12 |
| ALBI score * | −2.74 (−3.07 to −2.57) | −2.52 (−2.95 to −2.26) | 0.13 |
| mALBI, 1:2a:2b:3 | 21:6:2:0 | 6:5:3:1 | 0.09 |
| Child-Pugh score, A:B | 29:0 | 12:3 | 0.03 |
| FIB4-index * | 3.1 (2.3–3.7) | 4.0 (2.6–6.6) | 0.13 |
| AFP, ng/mL * | 34.8 (6.8–977.2) | 37.0 (8.4–88.2) | 0.68 |
| DCP, mAU/mL * | 831 (169–13,293) | 2545 (1246–17,802) | 0.32 |
| Tumor location (one:both lobes) | 15:4:10 | 2:0:13 | <0.01 |
| Tumor size (maximum), cm * | 6.3 (5.3–8.8) | 5.5 (4.9–6.4) | 0.08 |
| Number of tumors * | 2 (2–4) | 3 (2.5–4) | 0.34 |
Disclaimer/Publisher’s Note: The statements, opinions and data contained in all publications are solely those of the individual author(s) and contributor(s) and not of MDPI and/or the editor(s). MDPI and/or the editor(s) disclaim responsibility for any injury to people or property resulting from any ideas, methods, instructions or products referred to in the content. |
© 2022 by the authors. Licensee MDPI, Basel, Switzerland. This article is an open access article distributed under the terms and conditions of the Creative Commons Attribution (CC BY) license (https://creativecommons.org/licenses/by/4.0/).
Share and Cite
Ohama, H.; Hiraoka, A.; Tada, F.; Kato, K.; Fukunishi, Y.; Yanagihara, E.; Kato, M.; Saneto, H.; Izumoto, H.; Ueki, H.; et al. Clinical Usefulness of Surgical Resection Including the Complementary Use of Radiofrequency Ablation for Intermediate-Stage Hepatocellular Carcinoma. Cancers 2023, 15, 236. https://doi.org/10.3390/cancers15010236
Ohama H, Hiraoka A, Tada F, Kato K, Fukunishi Y, Yanagihara E, Kato M, Saneto H, Izumoto H, Ueki H, et al. Clinical Usefulness of Surgical Resection Including the Complementary Use of Radiofrequency Ablation for Intermediate-Stage Hepatocellular Carcinoma. Cancers. 2023; 15(1):236. https://doi.org/10.3390/cancers15010236
Chicago/Turabian StyleOhama, Hideko, Atsushi Hiraoka, Fujimasa Tada, Kanako Kato, Yoshiko Fukunishi, Emi Yanagihara, Masaya Kato, Hironobu Saneto, Hirofumi Izumoto, Hidetaro Ueki, and et al. 2023. "Clinical Usefulness of Surgical Resection Including the Complementary Use of Radiofrequency Ablation for Intermediate-Stage Hepatocellular Carcinoma" Cancers 15, no. 1: 236. https://doi.org/10.3390/cancers15010236
APA StyleOhama, H., Hiraoka, A., Tada, F., Kato, K., Fukunishi, Y., Yanagihara, E., Kato, M., Saneto, H., Izumoto, H., Ueki, H., Yoshino, T., Kitahata, S., Kawamura, T., Kuroda, T., Suga, Y., Miyata, H., Hanaoka, J., Watanabe, J., Ohtani, H., ... Hiasa, Y. (2023). Clinical Usefulness of Surgical Resection Including the Complementary Use of Radiofrequency Ablation for Intermediate-Stage Hepatocellular Carcinoma. Cancers, 15(1), 236. https://doi.org/10.3390/cancers15010236

