Oral Etoposide and Trastuzumab Use for HER2-Positive Metastatic Breast Cancer: A Retrospective Study from the Institut Curie Hospitals
Abstract
:Simple Summary
Abstract
1. Introduction
2. Materials and Methods
2.1. Patients and Clinical Data
2.2. TOP2A/ERBB2 Co-Amplification
2.3. Statistics
3. Results
3.1. Patients and Treatment
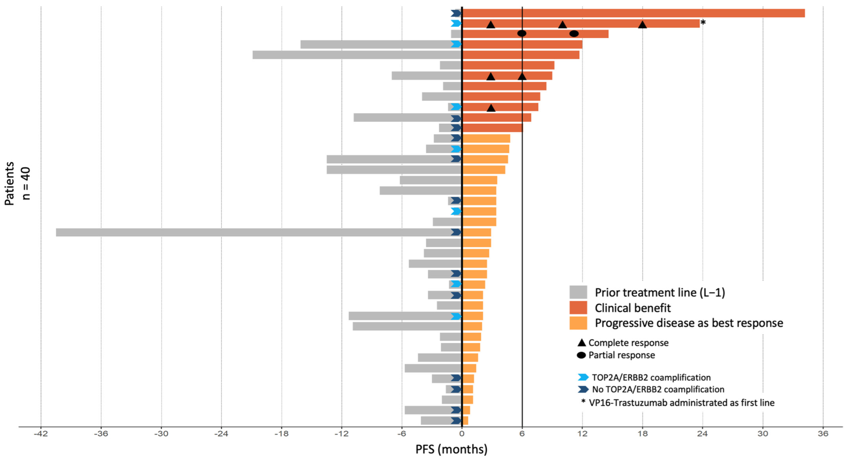
3.2. Efficacy
3.3. Toxicity
3.4. TOP2A/ERBB2 Co-Amplification
4. Discussion
5. Conclusions
Supplementary Materials
Author Contributions
Funding
Institutional Review Board Statement
Informed Consent Statement
Data Availability Statement
Conflicts of Interest
References
- Ross, J.S.; Slodkowska, E.A.; Symmans, W.F.; Pusztai, L.; Ravdin, P.M.; Hortobagyi, G.N. The HER-2 Receptor and Breast Cancer: Ten Years of Targeted Anti–HER-2 Therapy and Personalized Medicine. Oncologist 2009, 14, 320–368. [Google Scholar] [CrossRef] [PubMed] [Green Version]
- Slamon, D.J.; Clark, G.M.; Wong, S.G.; Levin, W.J.; Ullrich, A.; McGuire, W.L. Human breast cancer: Correlation of relapse and survival with amplification of the HER-2/neu oncogene. Science 1987, 235, 177–182. [Google Scholar] [CrossRef] [PubMed] [Green Version]
- Wolff, A.C.; Hammond, M.E.H.; Allison, K.H.; Harvey, B.E.; Mangu, P.B.; Bartlett, J.M.S.; Bilous, M.; Ellis, I.O.; Fitzgibbons, P.; Hanna, W.; et al. Human Epidermal Growth Factor Receptor 2 Testing in Breast Cancer: American Society of Clinical Oncology/College of American Pathologists Clinical Practice Guideline Focused Update. J. Clin. Oncol. Off. J. Am. Soc. Clin. Oncol. 2018, 36, 2105–2122. [Google Scholar] [CrossRef] [PubMed] [Green Version]
- Baselga, J.; Cortés, J.; Kim, S.-B.; Im, S.-A.; Hegg, R.; Im, Y.-H.; Roman, L.; Pedrini, J.L.; Pienkowski, T.; Knott, A.; et al. Pertuzumab plus Trastuzumab plus Docetaxel for Metastatic Breast Cancer. N. Engl. J. Med. 2012, 366, 109–119. [Google Scholar] [CrossRef] [PubMed] [Green Version]
- Geyer, C.E.; Forster, J.; Lindquist, D.; Chan, S.; Romieu, C.G.; Pienkowski, T.; Jagiello-Gruszfeld, A.; Crown, J.; Chan, A.; Kaufman, B.; et al. Lapatinib plus Capecitabine for HER2-Positive Advanced Breast Cancer. N. Engl. J. Med. 2006, 355, 2733–2743. [Google Scholar] [CrossRef] [Green Version]
- E Krop, I.; Kim, S.-B.; González-Martín, A.; LoRusso, P.M.; Ferrero, J.-M.; Smitt, M.; Yu, R.; Leung, A.C.F.; Wildiers, H. Trastuzumab emtansine versus treatment of physician’s choice for pretreated HER2-positive advanced breast cancer (TH3RESA): A randomised, open-label, phase 3 trial. Lancet Oncol. 2014, 15, 689–699. [Google Scholar] [CrossRef]
- Cameron, D.; Casey, M.; Oliva, C.; Newstat, B.; Imwalle, B.; Geyer, C.E. Lapatinib Plus Capecitabine in Women with HER-2–Positive Advanced Breast Cancer: Final Survival Analysis of a Phase III Randomized Trial. Oncologist 2010, 15, 924–934. [Google Scholar] [CrossRef] [Green Version]
- Verma, S.; Miles, D.; Gianni, L.; Krop, I.E.; Welslau, M.; Baselga, J.; Pegram, M.; Oh, D.-Y.; Diéras, V.; Guardino, E.; et al. Trastuzumab Emtansine for HER2-Positive Advanced Breast Cancer. N. Engl. J. Med. 2012, 367, 1783–1791. [Google Scholar] [CrossRef] [Green Version]
- Swain, S.M.; Baselga, J.; Kim, S.-B.; Ro, J.; Semiglazov, V.; Campone, M.; Ciruelos, E.; Ferrero, J.-M.; Schneeweiss, A.; Heeson, S.; et al. Pertuzumab, Trastuzumab, and Docetaxel in HER2-Positive Metastatic Breast Cancer. N. Engl. J. Med. 2015, 372, 724–734. [Google Scholar] [CrossRef] [Green Version]
- Von Minckwitz, G.; Schwedler, K.; Schmidt, M.; Barinoff, J.; Mundhenke, C.; Cufer, T.; Maartense, E.; de Jongh, F.E.; Baumann, K.H.; Bischoff, J.; et al. Trastuzumab beyond progression: Overall survival analysis of the GBG 26/BIG 3-05 phase III study in HER2-positive breast cancer. Eur. J. Cancer 2011, 47, 2273–2281. [Google Scholar] [CrossRef]
- Von Minckwitz, G.; Du Bois, A.; Schmidt, M.; Maass, N.; Cufer, T.; De Jongh, F.E.; Maartense, E.; Zielinski, C.; Kaufmann, M.; Bauer, W.; et al. Trastuzumab Beyond Progression in Human Epidermal Growth Factor Receptor 2–Positive Advanced Breast Cancer: A German Breast Group 26/Breast International Group 03-05 Study. J. Clin. Oncol. Off. J. Am. Soc. Clin. Oncol. 2009, 27, 1999–2006. [Google Scholar] [CrossRef] [PubMed]
- Cabel, L.; Carton, M.; Cheaib, B.; Pierga, J.-Y.; Dalenc, F.; Mailliez, A.; Levy, C.; Jacot, W.; Debled, M.; Leheurteur, M.; et al. Oral etoposide in heavily pre-treated metastatic breast cancer: Results from the ESME cohort and comparison with other chemotherapy regimens. Breast Cancer Res. Treat. 2018, 173, 397–406. [Google Scholar] [CrossRef] [PubMed]
- Slamon, D.J.; Leyland-Jones, B.; Shak, S.; Fuchs, H.; Paton, V.; Bajamonde, A.; Fleming, T.; Eiermann, W.; Wolter, J.; Pegram, M.; et al. Use of Chemotherapy plus a Monoclonal Antibody against HER2 for Metastatic Breast Cancer That Overexpresses HER2. N. Engl. J. Med. 2001, 344, 783–792. [Google Scholar] [CrossRef]
- Press, M.F.; Sauter, G.; Buyse, M.; Bernstein, L.; Guzman, R.; Santiago, A.; Villalobos, I.E.; Eiermann, W.; Pienkowski, T.; Martin, M.; et al. Alteration of Topoisomerase II–Alpha Gene in Human Breast Cancer: Association With Responsiveness to Anthracycline-Based Chemotherapy. J. Clin. Oncol. Off. J. Am. Soc. Clin. Oncol. 2011, 29, 859–867. [Google Scholar] [CrossRef] [PubMed] [Green Version]
- Heestand, G.M.; Schwaederle, M.; Gatalica, Z.; Arguello, D.; Kurzrock, R. Topoisomerase expression and amplification in solid tumours: Analysis of 24,262 patients. Eur. J. Cancer Oxf. Engl. 2017, 83, 80–87. [Google Scholar] [CrossRef] [PubMed] [Green Version]
- Di Leo, A.; Desmedt, C.; Bartlett, J.M.S.; Piette, F.; Ejlertsen, B.; I Pritchard, K.; Larsimont, D.; Poole, C.; Isola, J.; Earl, H.; et al. HER2 and TOP2A as predictive markers for anthracycline-containing chemotherapy regimens as adjuvant treatment of breast cancer: A meta-analysis of individual patient data. Lancet Oncol. 2011, 12, 1134–1142. [Google Scholar] [CrossRef]
- O’Malley, F.P.; Chia, S.; Tu, D.; Shepherd, L.E.; Levine, M.N.; Bramwell, V.H.; Andrulis, I.L.; Pritchard, K.I. Topoisomerase II Alpha and Responsiveness of Breast Cancer to Adjuvant Chemotherapy. JNCI J. Natl. Cancer Inst. 2009, 101, 644–650. [Google Scholar] [CrossRef] [Green Version]
- Almeida, D.; Gerhard, R.; Leitão, D.; Davilla, C.; Damasceno, M.; Schmitt, F. Topoisomerase II-alfa gene as a predictive marker of response to anthracyclines in breast cancer. Pathol. Res. Pract. 2014, 210, 675–679. [Google Scholar] [CrossRef]
- Tanner, M.; Isola, J.; Wiklund, T.; Erikstein, B.; Kellokumpu-Lehtinen, P.; Malmström, P.; Wilking, N.; Nilsson, J.; Bergh, J. Topoisomerase IIα Gene Amplification Predicts Favorable Treatment Response to Tailored and Dose-Escalated Anthracycline-Based Adjuvant Chemotherapy in HER-2/neu–Amplified Breast Cancer: Scandinavian Breast Group Trial 9401. J. Clin. Oncol. Off. J. Am. Soc. Clin. Oncol. 2006, 24, 2428–2436. [Google Scholar] [CrossRef]
- Fountzilas, G.; Dafni, U.; Bobos, M.; Kotoula, V.; Batistatou, A.; Xanthakis, I.; Papadimitriou, C.; Kostopoulos, I.; Koletsa, T.; Tsolaki, E.; et al. Evaluation of the prognostic role of centromere 17 gain and HER2/topoisomerase II alpha gene status and protein expression in patients with breast cancer treated with anthracycline-containing adjuvant chemotherapy: Pooled analysis of two Hellenic Cooperative Oncology Group (HeCOG) phase III trials. BMC Cancer 2013, 13, 163. [Google Scholar] [CrossRef] [Green Version]
- Tubbs, R.; Barlow, W.E.; Budd, G.T.; Swain, E.; Porter, P.; Gown, A.; Yeh, I.-T.; Sledge, G.; Shapiro, C.; Ingle, J.; et al. Outcome of Patients With Early-Stage Breast Cancer Treated With Doxorubicin-Based Adjuvant Chemotherapy As a Function ofHER2andTOP2AStatus. J. Clin. Oncol. Off. J. Am. Soc. Clin. Oncol. 2009, 27, 3881–3886. [Google Scholar] [CrossRef] [PubMed] [Green Version]
- Pritchard, K.I. Are HER2 and TOP2A Useful As Prognostic or Predictive Biomarkers for Anthracycline-Based Adjuvant Chemotherapy for Breast Cancer? J. Clin. Oncol. Off. J. Am. Soc. Clin. Oncol. 2009, 27, 3875–3876. [Google Scholar] [CrossRef] [PubMed]
- Bartlett, J.M.; Munro, A.F.; A Dunn, J.; McConkey, C.; Jordan, S.; Twelves, C.J.; A Cameron, D.; Thomas, J.; Campbell, F.M.; Rea, D.W.; et al. Predictive markers of anthracycline benefit: A prospectively planned analysis of the UK National Epirubicin Adjuvant Trial (NEAT/BR9601). Lancet Oncol. 2010, 11, 266–274. [Google Scholar] [CrossRef] [Green Version]
- Toffoli, G.; Corona, G.; Basso, B.; Boiocchi, M. Pharmacokinetic Optimisation of Treatment with Oral Etoposide. Clin. Pharmacokinet. 2004, 43, 441–466. [Google Scholar] [CrossRef] [PubMed]
- Eisenhauer, E.A.; Therasse, P.; Bogaerts, J.; Schwartz, L.H.; Sargent, D.; Ford, R.; Dancey, J.; Arbuck, S.; Gwyther, S.; Mooney, M.; et al. New response evaluation criteria in solid tumours: Revised RECIST guideline (version 1.1). Eur. J. Cancer Oxf. Engl. 2009, 45, 228–247. [Google Scholar] [CrossRef]
- Chin, S.-F.; Santonja, A.; Grzelak, M.; Ahn, S.; Sammut, S.-J.; Clifford, H.; Rueda, O.M.; Pugh, M.; Goldgraben, M.A.; Bardwell, H.A.; et al. Shallow whole genome sequencing for robust copy number profiling of formalin-fixed paraffin-embedded breast cancers. Exp. Mol. Pathol. 2018, 104, 161–169. [Google Scholar] [CrossRef]
- Parker, H.; Carr, L.; Syeda, S.; Bryant, D.; Strefford, J.C. Characterization of Somatically-Acquired Copy Number Alterations in Chronic Lymphocytic Leukaemia Using Shallow Whole Genome Sequencing. Methods Mol. Biol. 2018, 327–353. [Google Scholar] [CrossRef]
- Raman, L.; Dheedene, A.; De Smet, M.; Van Dorpe, J.; Menten, B. WisecondorX: Improved copy number detection for routine shallow whole-genome sequencing. Nucleic Acids Res. 2018, 47, 1605–1614. [Google Scholar] [CrossRef]
- Eeckhoutte, A.; Houy, A.; Manié, E.; Reverdy, M.; Bièche, I.; Marangoni, E.; Goundiam, O.; Vincent-Salomon, A.; Stoppa-Lyonnet, D.; Bidard, F.-C.; et al. ShallowHRD: Detection of homologous recombination deficiency from shallow whole genome sequencing. Bioinform. Oxf. Engl. 2020, 36, 3888–3889. [Google Scholar] [CrossRef]
- Scheinin, I.; Sie, D.; Bengtsson, H.; Van De Wiel, M.A.; Olshen, A.B.; Van Thuijl, H.F.; Van Essen, H.F.; Eijk, P.P.; Rustenburg, F.; Meijer, G.A.; et al. DNA copy number analysis of fresh and formalin-fixed specimens by shallow whole-genome sequencing with identification and exclusion of problematic regions in the genome assembly. Genome Res. 2014, 24, 2022–2032. [Google Scholar] [CrossRef]
- Schemper, M.; Smith, T.L. A note on quantifying follow-up in studies of failure time. Control. Clin. Trials 1996, 17, 343–346. [Google Scholar] [CrossRef]
- R: The R Project for Statistical Computing. Available online: https://www.r-project.org/ (accessed on 17 February 2021).
- Munzone, E.; Colleoni, M. Clinical overview of metronomic chemotherapy in breast cancer. Nat. Rev. Clin. Oncol. 2015, 12, 631–644. [Google Scholar] [CrossRef] [PubMed]
- Cardoso, F.; Colleoni, M.; Di Leo, A.; Francia, G.; Gennari, A.; Gligorov, J.; Llombart, A. Oral chemotherapy in advanced breast cancer: Expert perspectives on its role in clinical practice. Cancer Treat. Commun. 2016, 6, S1–S10. [Google Scholar] [CrossRef] [Green Version]
- Atienza, D.M.; Vogel, C.L.; Trock, B.; Swain, S. Phase II study of oral etoposide for patients with advanced breast cancer. Cancer 1995, 76, 2485–2490. [Google Scholar] [CrossRef]
- Nešković-Konstantinović, Z.B.; Bošnjak, S.M.; Radulović, S.S.; Mitrović, L.B. Daily oral etoposide in metastatic breast cancer. Anti-Cancer Drugs 1996, 7, 543–547. [Google Scholar] [CrossRef]
- Martín, M.; Lluch, A.; Casado, A.; Santabárbara, P.; Adrover, E.; Valverde, J.J.; A López-Martín, J.; Rodriguez-Lescure, A.; Azagra, P.; García-Conde, J. Clinical activity of chronic oral etoposide in previously treated metastatic breast cancer. J. Clin. Oncol. Off. J. Am. Soc. Clin. Oncol. 1994, 12, 986–991. [Google Scholar] [CrossRef]
- Saphner, T.; Weller, E.A.; Tormey, D.C.; Pandya, K.J.; Falkson, C.I.; Stewart, J.; Robert, N.J. 21-Day Oral Etoposide for Metastatic Breast Cancer: A phase II study and review of the literature. Am. J. Clin. Oncol. 2000, 23, 258–262. [Google Scholar] [CrossRef]
- Palombo, H.; Grau, J.J.; Daniels, M.; Mellado, B. Chronic oral etoposide in advanced breast cancer. Cancer Chemother. Pharmacol. 1994, 33, 527–529. [Google Scholar] [CrossRef]
- Valabrega, G.; Berrino, G.; Milani, A.; Aglietta, M.; Montemurro, F. A Retrospective Analysis of the Activity and Safety of Oral Etoposide in Heavily Pretreated Metastatic Breast Cancer Patients. Breast J. 2015, 21, 241–245. [Google Scholar] [CrossRef]
- Giannone, G.; Milani, A.; Ghisoni, E.; Genta, S.; Mittica, G.; Montemurro, F.; Valabrega, G. Oral etoposide in heavily pre-treated metastatic breast cancer: A retrospective series. Breast 2018, 38, 160–164. [Google Scholar] [CrossRef]
- Yuan, P.; Di, L.; Zhang, X.; Yan, M.; Wan, D.; Li, L.; Zhang, Y.; Cai, J.; Dai, H.; Zhu, Q.; et al. Efficacy of Oral Etoposide in Pretreated Metastatic Breast Cancer. Medicine 2015, 94, e774. [Google Scholar] [CrossRef] [PubMed]
- Voutsadakis, I.A. A Systematic Review and Pooled Analysis of Studies of Oral Etoposide in Metastatic Breast Cancer. Eur. J. Breast Health 2018, 14, 10–16. [Google Scholar] [CrossRef] [PubMed] [Green Version]
- Blancas, I.; Aguirre, E.; Morales, S.; Gonzálvez, M.L.; Servitja, S.; Díaz, N.; Del Barco, S.; Barnadas, A.; Margelí, M.; Carbonero, I.G.; et al. Real-world data on the efficacy and safety of weekly oral vinorelbine in breast cancer patients previously treated with anthracycline or taxane-based regimens. Clin. Transl. Oncol. Off. Publ. Fed. Span. Oncol. Soc. Natl. Cancer Inst. 2018, 21, 459–466. [Google Scholar] [CrossRef] [PubMed]
- Lee, Y.R.; Huh, S.J.; Lee, D.H.; Yoon, H.H.; Seol, Y.-M.; Choi, Y.-J.; A Kwon, K.; Lee, S.; Oh, S.Y.; Kim, S.-H.; et al. Phase II Study of Vinorelbine Plus Trastuzumab in HER2 Overexpressing Metastatic Breast Cancer Pretreated with Anthracyclines and Taxanes. J. Breast Cancer 2011, 14, 140–146. [Google Scholar] [CrossRef]
- Bartsch, R.; Wenzel, C.; Gampenrieder, S.P.; Pluschnig, U.; Altorjai, G.; Rudas, M.; Mader, R.M.; Dubsky, P.; Rottenfusser, A.; Gnant, M.; et al. Trastuzumab and gemcitabine as salvage therapy in heavily pre-treated patients with metastatic breast cancer. Cancer Chemother. Pharmacol. 2008, 62, 903–910. [Google Scholar] [CrossRef]
- Yardley, D.A.; Burris, H.A.; Hanson, S.; Greco, F.A.; Spigel, D.R.; Barton, J.; Hainsworth, J.D. Weekly Gemcitabine and Trastuzumab in the Treatment of Patients With HER2-Overexpressing Metastatic Breast Cancer. Clin. Breast Cancer 2009, 9, 178–183. [Google Scholar] [CrossRef]
- Seoane, J.A.; Kirkland, J.G.; Caswell-Jin, J.; Crabtree, G.R.; Curtis, C. Chromatin regulators mediate anthracycline sensitivity in breast cancer. Nat. Med. 2019, 25, 1721–1727. [Google Scholar] [CrossRef]



| N Patients | % | ||
|---|---|---|---|
| Phenotype | HER2+ | 43 | 100 |
| HER2+/HR+ | 21 | 49 | |
| HER2+/HR- | 22 | 51 | |
| Age at primary BC (Years) | <50 | 27 | 63 |
| >50 | 16 | 37 | |
| Age at metastatic BC (Years) | <50 | 21 | 49 |
| >50 | 22 | 51 | |
| Stage at BC diagnosis | 0 I II III IV | 1 5 10 13 14 | 2 12 23 30 33 |
| Histological type | DuctalLobular | 38 5 | 88 12 |
| Histological grade (EE) | 1 2 3 | 3 19 21 | 7 44 49 |
| Metastasis-Free Interval | de novo [6–24] months ]24–60] months >60 months | 14 6 14 9 | 33 14 33 20 |
| Number of metastatic sites | <2 >2 | 12 31 | 28 72 |
| Visceral metastases | No Yes | 8 35 | 19 81 |
| Number of prior treatment lines | <2 3 4 5 6 7 >8 | 3 6 8 4 7 4 11 | 7 14 19 9 16 9 26 |
| Median number of prior treatment lines | 6 (0–12) | - | - |
| VP16 administration schedule | Standard * - 50 mg - 75 mg Other Not available | 31 9 22 9 3 | 72 21 51 21 7 |
| Toxicity | Grade 1 N (%) | Grade 2 N (%) | Grade 3 N (%) |
|---|---|---|---|
| Nausea | 0 | 4 (10) | 2 (5) |
| Neutropenia | 3 (7) | 1 (2) | 1 (2) |
| Alopecia | 1 (2) | 0 | 0 |
| Asthenia | 17 (40) | 10 (24) | 8 (19) |
Publisher’s Note: MDPI stays neutral with regard to jurisdictional claims in published maps and institutional affiliations. |
© 2022 by the authors. Licensee MDPI, Basel, Switzerland. This article is an open access article distributed under the terms and conditions of the Creative Commons Attribution (CC BY) license (https://creativecommons.org/licenses/by/4.0/).
Share and Cite
Chalumeau, C.; Carton, M.; Eeckhoutte, A.; Ballet, S.; Vincent-Salomon, A.; Vuagnat, P.; Bellesoeur, A.; Pierga, J.-Y.; Stern, M.-H.; Bidard, F.-C.; et al. Oral Etoposide and Trastuzumab Use for HER2-Positive Metastatic Breast Cancer: A Retrospective Study from the Institut Curie Hospitals. Cancers 2022, 14, 2114. https://doi.org/10.3390/cancers14092114
Chalumeau C, Carton M, Eeckhoutte A, Ballet S, Vincent-Salomon A, Vuagnat P, Bellesoeur A, Pierga J-Y, Stern M-H, Bidard F-C, et al. Oral Etoposide and Trastuzumab Use for HER2-Positive Metastatic Breast Cancer: A Retrospective Study from the Institut Curie Hospitals. Cancers. 2022; 14(9):2114. https://doi.org/10.3390/cancers14092114
Chicago/Turabian StyleChalumeau, Clelia, Matthieu Carton, Alexandre Eeckhoutte, Stelly Ballet, Anne Vincent-Salomon, Perrine Vuagnat, Audrey Bellesoeur, Jean-Yves Pierga, Marc-Henri Stern, Francois-Clement Bidard, and et al. 2022. "Oral Etoposide and Trastuzumab Use for HER2-Positive Metastatic Breast Cancer: A Retrospective Study from the Institut Curie Hospitals" Cancers 14, no. 9: 2114. https://doi.org/10.3390/cancers14092114
APA StyleChalumeau, C., Carton, M., Eeckhoutte, A., Ballet, S., Vincent-Salomon, A., Vuagnat, P., Bellesoeur, A., Pierga, J.-Y., Stern, M.-H., Bidard, F.-C., & Lerebours, F. (2022). Oral Etoposide and Trastuzumab Use for HER2-Positive Metastatic Breast Cancer: A Retrospective Study from the Institut Curie Hospitals. Cancers, 14(9), 2114. https://doi.org/10.3390/cancers14092114

