Screening for Prognostic microRNAs Associated with Treatment Failure in Diffuse Large B Cell Lymphoma
Abstract
:Simple Summary
Abstract
1. Introduction
2. Materials and Methods
2.1. Patients and Samples
2.2. Study Design
2.3. Cell Culture
2.4. Transfection with miRNAs
2.5. Cell Viability
2.6. Total RNA Extraction
2.7. Quantitative Real-Time PCR
2.8. Screening of Differentially Expressed Genes (DEG) and Gene Set Enrichment Analysis (GSEA)
2.9. Statistical Analysis
3. Results
3.1. Patients’ Characteristics
3.2. Identification of miRNAs with Prognostic Role
3.3. miRNA Microarray
3.4. Validation of miRNAs in the Validation Cohort and Their Prognostic Role on Survival
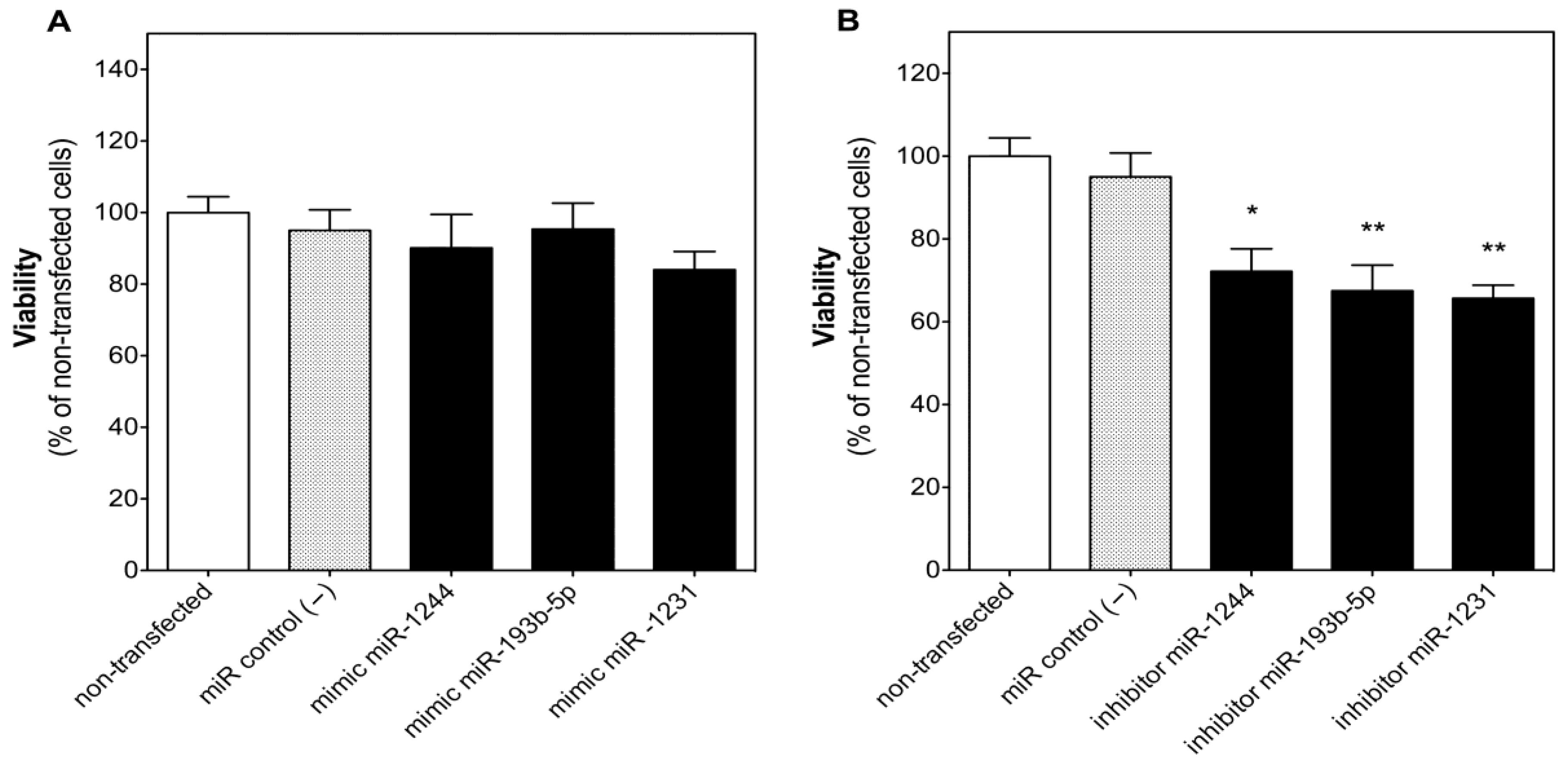
3.5. Biological Activity of miR-1244, miR-193b-5p, and miR-1231 on DLBCL Cells In Vitro
3.6. Screening of Differentially Expressed Genes (DEG) and Gene Set Enrichment Analysis (GSEA)
4. Discussion
5. Conclusions
Supplementary Materials
Author Contributions
Funding
Institutional Review Board Statement
Informed Consent Statement
Data Availability Statement
Acknowledgments
Conflicts of Interest
References
- Coiffier, B.; Lepage, E.; Briere, J.; Herbrecht, R.; Tilly, H.; Bouabdallah, R.; Morel, P.; Van Den Neste, E.; Salles, G.; Gaulard, P.; et al. CHOP chemotherapy plus rituximab compared with CHOP alone in elderly patients with diffuse large-B-cell lymphoma. N. Engl. J. Med. 2002, 346, 235–242. [Google Scholar] [CrossRef] [PubMed]
- Pfreundschuh, M.; Trümper, L.; Osterborg, A.; Pettengell, R.; Trneny, M.; Imrie, K.; Ma, D.; Gill, D.; Walewski, J.; Zinzani, P.-L.; et al. CHOP-like chemotherapy plus rituximab versus CHOP-like chemotherapy alone in young patients with good-prognosis diffuse large-B-cell lymphoma: A randomised controlled trial by the MabThera International Trial (MInT) Group. Lancet Oncol. 2006, 7, 379–391. [Google Scholar] [CrossRef]
- Feugier, P.; Van Hoof, A.; Sebban, C.; Solal-Celigny, P.; Bouabdallah, R.; Fermé, C.; Christian, B.; Lepage, E.; Tilly, H.; Morschhauser, F.; et al. Long-term results of the R-CHOP study in the treatment of elderly patients with diffuse large B-cell lymphoma: A study by the Groupe d’Etude des Lymphomes de l’Adulte. J. Clin. Oncol. 2005, 23, 4117–4126. [Google Scholar] [CrossRef] [PubMed] [Green Version]
- Troppan, K.; Wenzl, K.; Deutsch, A.; Ling, H.; Neumeister, P.; Pichler, M. MicroRNAs in diffuse large B-cell lymphoma: Implications for pathogenesis, diagnosis, prognosis and therapy. Anticancer Res. 2014, 34, 557–564. [Google Scholar]
- Calin, G.A.; Sevignani, C.; Dumitru, C.D.; Hyslop, T.; Noch, E.; Yendamuri, S.; Shimizu, M.; Rattan, S.; Bullrich, F.; Negrini, M.; et al. Human microRNA genes are frequently located at fragile sites and genomic regions involved in cancers. Proc. Natl. Acad. Sci. USA 2004, 101, 2999–3004. [Google Scholar] [CrossRef] [Green Version]
- Lawrie, C.H. MicroRNAs and lymphomagenesis: A functional review. Br. J. Haematol. 2013, 160, 571–581. [Google Scholar] [CrossRef] [Green Version]
- Mazan-Mamczarz, K.; Gartenhaus, R.B. Role of microRNA deregulation in the pathogenesis of diffuse large B-cell lymphoma (DLBCL). Leuk. Res. 2013, 37, 1420–1428. [Google Scholar] [CrossRef] [Green Version]
- Kim, S.-W.; Ramasamy, K.; Bouamar, H.; Lin, A.-P.; Jiang, D.; Aguiar, R.C.T. MicroRNAs miR-125a and miR-125b constitutively activate the NF-κB pathway by targeting the tumor necrosis factor alpha-induced protein 3 (TNFAIP3, A20). Proc. Natl. Acad. Sci. USA 2012, 109, 7865–7870. [Google Scholar] [CrossRef] [Green Version]
- Ventura, A.; Young, A.G.; Winslow, M.M.; Lintault, L.; Meissner, A.; Erkeland, S.J.; Newman, J.; Bronson, R.T.; Crowley, D.; Stone, J.R.; et al. Targeted deletion reveals essential and overlapping functions of the miR-17 through 92 family of miRNA clusters. Cell 2008, 132, 875–886. [Google Scholar] [CrossRef] [Green Version]
- Eis, P.S.; Tam, W.; Sun, L.; Chadburn, A.; Li, Z.; Gomez, M.F.; Lund, E.; Dahlberg, J.E. Accumulation of miR-155 and BIC RNA in human B cell lymphomas. Proc. Natl. Acad. Sci. USA 2005, 102, 3627–3632. [Google Scholar] [CrossRef] [Green Version]
- Bai, H.; Wei, J.; Deng, C.; Yang, X.; Wang, C.; Xu, R. MicroRNA-21 regulates the sensitivity of diffuse large B-cell lymphoma cells to the CHOP chemotherapy regimen. Int. J. Hematol. 2013, 97, 223–231. [Google Scholar] [CrossRef] [PubMed]
- Lawrie, C.H.; Soneji, S.; Marafioti, T.; Cooper, C.D.O.; Palazzo, S.; Paterson, J.C.; Cattan, H.; Enver, T.; Mager, R.; Boultwood, J.; et al. MicroRNA expression distinguishes between germinal center B cell-like and activated B cell-like subtypes of diffuse large B cell lymphoma. Int. J. Cancer 2007, 121, 1156–1161. [Google Scholar] [CrossRef] [PubMed]
- Iqbal, J.; Shen, Y.; Huang, X.; Liu, Y.; Wake, L.; Liu, C.; Deffenbacher, K.; Lachel, C.M.; Wang, C.; Rohr, J.; et al. Global microRNA expression profiling uncovers molecular markers for classification and prognosis in aggressive B-cell lymphoma. Blood 2015, 125, 1137–1145. [Google Scholar] [CrossRef] [PubMed]
- Lawrie, C.H.; Chi, J.; Taylor, S.; Tramonti, D.; Ballabio, E.; Palazzo, S.; Saunders, N.J.; Pezzella, F.; Boultwood, J.; Wainscoat, J.S.; et al. Expression of microRNAs in diffuse large B cell lymphoma is associated with immunophenotype, survival and transformation from follicular lymphoma. J. Cell. Mol. Med. 2009, 13, 1248–1260. [Google Scholar] [CrossRef] [PubMed]
- Malumbres, R.; Sarosiek, K.A.; Cubedo, E.; Ruiz, J.W.; Jiang, X.; Gascoyne, R.D.; Tibshirani, R.; Lossos, I.S. Differentiation stage-specific expression of microRNAs in B lymphocytes and diffuse large B-cell lymphomas. Blood 2009, 113, 3754–3764. [Google Scholar] [CrossRef] [PubMed] [Green Version]
- Montes-Moreno, S.; Martinez, N.; Sanchez-Espiridión, B.; Díaz Uriarte, R.; Rodriguez, M.E.; Saez, A.; Montalbán, C.; Gomez, G.; Pisano, D.G.; García, J.F.; et al. miRNA expression in diffuse large B-cell lymphoma treated with chemoimmunotherapy. Blood 2011, 118, 1034–1040. [Google Scholar] [CrossRef]
- Berglund, M.; Hedström, G.; Amini, R.-M.; Enblad, G.; Thunberg, U. High expression of microRNA-200c predicts poor clinical outcome in diffuse large B-cell lymphoma. Oncol. Rep. 2013, 29, 720–724. [Google Scholar] [CrossRef]
- Go, H.; Jang, J.-Y.; Kim, P.-J.; Kim, Y.-G.; Nam, S.J.; Paik, J.H.; Kim, T.M.; Heo, D.S.; Kim, C.-W.; Jeon, Y.K. MicroRNA-21 plays an oncogenic role by targeting FOXO1 and activating the PI3K/AKT pathway in diffuse large B-cell lymphoma. Oncotarget 2015, 6, 15035–15049. [Google Scholar] [CrossRef]
- Li, J.; Fu, R.; Yang, L.; Tu, W. miR-21 expression predicts prognosis in diffuse large B-cell lymphoma. Int. J. Clin. Exp. Pathol. 2015, 8, 15019–15024. [Google Scholar]
- Troppan, K.; Wenzl, K.; Pichler, M.; Pursche, B.; Schwarzenbacher, D.; Feichtinger, J.; Thallinger, G.G.; Beham-Schmid, C.; Neumeister, P.; Deutsch, A. miR-199a and miR-497 Are Associated with Better Overall Survival due to Increased Chemosensitivity in Diffuse Large B-Cell Lymphoma Patients. Int. J. Mol. Sci. 2015, 16, 18077–18095. [Google Scholar] [CrossRef] [Green Version]
- Huang, Y.; Zou, Y.; Lin, L.; Ma, X.; Zheng, R. miR-101 regulates the cell proliferation and apoptosis in diffuse large B-cell lymphoma by targeting MEK1 via regulation of the ERK/MAPK signaling pathway. Oncol. Rep. 2019, 41, 377–386. [Google Scholar] [CrossRef] [PubMed]
- Amini, R.-M.; Berglund, M.; Rosenquist, R.; Von Heideman, A.; Lagercrantz, S.; Thunberg, U.; Bergh, J.; Sundström, C.; Glimelius, B.; Enblad, G. A novel B-cell line (U-2932) established from a patient with diffuse large B-cell lymphoma following Hodgkin lymphoma. Leuk. Lymphoma 2002, 43, 2179–2189. [Google Scholar] [CrossRef] [PubMed]
- Maxwell, S.A.; Li, Z.; Jaya, D.; Ballard, S.; Ferrell, J.; Fu, H. 14-3-3ζ Mediates resistance of diffuse large B cell lymphoma to an anthracycline-based chemotherapeutic regimen. J. Biol. Chem. 2009, 284, 22379–22389. [Google Scholar] [CrossRef] [PubMed] [Green Version]
- Nakagawa, J.; Takahata, T.; Rui, H.; Yu, C.; Kengo, H.; Kota, S.; Saito, K.; Kayo, U.; Hosoi, K.; Terui, K.; et al. Evaluation for pharmacokinetic exposure of cytotoxic anticancer drugs in eldery patients receiving (R-)CHOP therapy. Sci. Rep. 2021, 11, 785. [Google Scholar] [CrossRef]
- Lopez-Santillan, M.; Larrabeiti-Etxebarria, A.; Arzuaga-Mendez, J.; Lopez-Lopez, E.; Garcia-Orad, A. Circulating miRNAs as biomarkers in diffuse large B-cell lymphoma: A systematic review. Oncotarget 2018, 9, 22850–22861. [Google Scholar] [CrossRef] [Green Version]
- Decruyenaere, P.; Offner, F.; Vandesompele, J. Circulating RNA biomarkers in diffuse large B-cell lymphoma: A systematic review. Exp. Hematol. Oncol. 2021, 10, 13. [Google Scholar] [CrossRef]
- Larrabeiti-Etxebarria, A.; Lopez-Santillan, M.; Santos-Zorrozua, B.; Lopez-Lopez, E.; Garcia-Orad, A. Systematic Review of the Potential of MicroRNAs in Diffuse Large B Cell Lymphoma. Cancers 2019, 11, 144. [Google Scholar] [CrossRef] [Green Version]
- Adam-Artigues, A.; Garrido-Cano, I.; Simón, S.; Ortega, B.; Moragón, S.; Lameirinhas, A.; Constâncio, V.; Salta, S.; Burgués, O.; Bermejo, B.; et al. Circulating miR-30b-5p levels in plasma as a novel potential biomarker for early detection of breast cancer. EMSO Open 2021, 6, 100039. [Google Scholar] [CrossRef]
- Basiouni, S.; Fuhrmann, H.; Schumann, J. High-efficiency transfection of suspension cell lines. BioTechniques 2012, 53, 1–4. [Google Scholar] [CrossRef]
- He, F.; Liu, W.; Zheng, S.; Zhou, L.; Ye, B.; Qi, Z. Ion transport through dimethyl sulfoxide (DMSO) induced transient water pores in cell membranes. Mol. Membr. Biol. 2012, 29, 107–113. [Google Scholar] [CrossRef]
- Hoell, J.I.; Hezaveh, K.; Bernhart, S.; Hoffmann, S.; Langenberger, D.; Schlesner, M.; Stadler, P.; Binder, V.; Lenze, D.; Siebert, R.; et al. In-depth miRNA profiling of germinal center derived B-cell lymphomas by next generation sequencing: A report from the German Icgc-Mmml-Seq project. Blood 2013, 122, 2500. [Google Scholar] [CrossRef]
- Xiong, L.; Jiang, W.; Zhou, R.; Mao, C.; Guo, Z. Identification and analysis of the regulatory network of Myc and microRNAs from high-throughput experimental data. Comput. Biol. Med. 2013, 43, 1252–1260. [Google Scholar] [CrossRef] [PubMed]
- Zhang, R.; Zhang, Y.; Li, H. miR-1244/Myocyte Enhancer Factor 2D Regulatory Loop Contributes to the Growth of Lung Carcinoma. DNA Cell Biol. 2015, 34, 692–700. [Google Scholar] [CrossRef] [PubMed]
- Li, G.-J.; Zhao, G.-Q.; Yang, J.-P.; Zhou, Y.-C.; Yang, K.-Y.; Lei, Y.-J.; Huang, Y.-C. Effect of miR-1244 on cisplatin-treated non-small cell lung cancer via MEF2D expression. Oncol. Rep. 2017, 37, 3475–3483. [Google Scholar] [CrossRef] [Green Version]
- Lenarduzzi, M.; Hui, A.B.Y.; Alajez, N.M.; Shi, W.; Williams, J.; Yue, S.; O’Sullivan, B.; Liu, F.-F. MicroRNA-193b enhances tumor progression via down regulation of neurofibromin 1. PLoS ONE 2013, 8, e53765. [Google Scholar] [CrossRef]
- Li, H.; Xu, Y.; Zhao, D. MicroRNA-193b regulates human ovarian cancer cell growth via targeting STMN1. Exp. Ther. Med. 2020, 20, 3310–3315. [Google Scholar] [CrossRef]
- Unno, K.; Zhou, Y.; Zimmerman, T.; Platanias, L.C.; Wickrema, A. Identification of a novel microRNA cluster miR-193b-365 in multiple myeloma. Leuk. Lymphopma 2009, 50, 1865–1871. [Google Scholar] [CrossRef]
- Li, Y.; Gao, L.; Luo, X.; Wang, L.; Gao, X.; Wang, W.; Sun, J.; Dou, L.; Li, J.; Xu, C.; et al. Epigenetic silencing of microRNA-193a contributes to leukemogenesis in t(8;21) acute myeloid leukemia by activating the PTEN/PI3K signal pathway. Blood 2013, 121, 499–509. [Google Scholar] [CrossRef]
- Sharma, A.; Das, A.; Bal, A.; Srinivasan, R.; Malhotra, P.; Prakash, G.; Kumar, R. Mir-671, Mir-193b-5p, Mir-1307-5p Are Useful for Predicting Outcome in Diffuse Large B-Cell Lymphoma. Blood 2021, 138 (Suppl. 1), 2399. [Google Scholar] [CrossRef]
- Mizuguchi, Y.; Takizawa, T.; Uchida, E. Host cellular microRNA involvement in the control of hepatitis B virus gene expression and replication. World J. Hepatol. 2015, 7, 696–702. [Google Scholar] [CrossRef]
- Zheng, J.; Huang, X.; Tan, W.; Yu, D.; Du, Z.; Chang, J.; Wei, L.; Han, Y.; Wang, C.; Che, X.; et al. Pancreatic cancer risk variant in LINC00673 creates a miR-1231 binding site and interferes with PTPN11 degradation. Nat. Genet. 2016, 48, 747–757. [Google Scholar] [CrossRef] [PubMed]
- Zhang, J.; Zhang, J.; Qiu, W.; Zhang, J.; Li, Y.; Kong, E.; Lu, A.; Xu, J.; Lu, X. MicroRNA-1231 exerts a tumor suppressor role through regulating the EGFR/PI3K/AKT axis in glioma. J. Neurooncol. 2018, 139, 547–562. [Google Scholar] [CrossRef] [PubMed] [Green Version]
- Wang, Y.; Zhang, Q.; Guo, B.; Feng, J.; Zhao, D. miR-1231 Is Downregulated in Prostate Cancer with Prognostic and Functional Implications. Oncol. Res. Treat. 2020, 43, 78–86. [Google Scholar] [CrossRef] [PubMed]
- Li, J.; Xu, J.; Cao, Z.; Du, S.; Zhang, L. MiR-1231 decrease the risk of cancer-related mortality in patients combined with non-small cell lung cancer and diabetes mellitus. Cancer Cell Int. 2020, 20, 438. [Google Scholar] [CrossRef] [PubMed]
- Axelrod, M.L.; Cook, R.S.; Johnson, D.B.; Balko, J.M. Biological Consequences of MHC-II Expression by Tumor Cells in Cancer. Clin. Cancer Res. 2019, 25, 2392–2402. [Google Scholar] [CrossRef]
- Hartert, K.-T.; Wenzl, K.; Krull, J.-E.; Manske, M.; Sarangi, V.; Asmann, Y.; Larson, M.-C.; Maurer, M.-J.; Slager, S.; Macon, W.-R.; et al. Targeting of inflammatory pathways with R2CHOP in high-risk DLBCL. Leukemia 2021, 35, 522–533. [Google Scholar] [CrossRef]





| Variable | Global Group (n = 156) | Discovery Group (n = 12) | Validation Group (n = 68) |
|---|---|---|---|
| Median age (range) | 60 (15–87) | 46 (33–78) | 54 (15–87) |
| Sex (M/F) | 85 (55%)/71 (45%) | 5 (42%)/7 (58%) | 39 (57%)/29 (43%) |
| ECOG PS 1 > 1 | 34 (22%) | 7 (58%) | 16 (23%) |
| AA 2 III–IV stage | 88 (56%) | 11 (92%) | 37 (54%) |
| B symptoms | 51 (33%) | 9 (75%) | 21 (31%) |
| High LDH 3 | 74 (47%) | 9 (75%) | 34 (51%) |
| >1 extranodal sites | 27 (17%) | 3 (25%) | 10 (15%) |
| Bulky mass | 57 (36%) | 3 (25%) | 20 (29%) |
| aIPI > 1 | 62 (40%) | 11 (92%) | 26 (39%) |
| High R-IPI | 50 (32%) | 9 (75%) | 20 (30%) |
| NCCN-IPI | |||
| Low | 26 (16%) | 1 (8%) | 13 (20%) |
| Low–intermediate | 62 (39%) | 2 (17%) | 28 (43%) |
| Intermediate–high | 49 (32%) | 8 (67%) | 21 (32%) |
| High | 11 (7%) | 1 (8%) | 3 (5%) |
| High B2M 4 | 63 (40%) | 7 (64%) | 24 (37%) |
| Radiotherapy | 54 (35%) | 1 (8%) | 22 (32%) |
| Variable | Refractory/Early Relapse (RR Subgroup) | Complete Remission (CR Subgroup) |
|---|---|---|
| Group Size | 6 | 6 |
| Median age (range) | 50 (38–78) | 44 (30–72) |
| Sex (M/F) | 3/3 | 4/2 |
| ECOG PS > 1 | 5 (83%) | 3 (50%) |
| AA III–IV stage | 6 (100%) | 6 (100%) |
| B symptoms | 5 (83%) | 5 (83%) |
| High LDH | 6 (100%) | 5 (83%) |
| >1 extranodal sites | 3 (50%) | 1 (17%) |
| Bulky mass | 2 (33%) | 2 (33%) |
| a-IPI > 1 | 6 (100%) | 6 (100%) |
| High B2M | 3 (50%) | 5 (83%) |
| Radiotherapy | 2 (33%) | 0 (0%) |
| 5-Year-OS | 0% | 100% |
| Median PFS (95%CI) | 7.6 (2.1–11.4) | NA |
| miRNA | Fold Change |
|---|---|
| hsa-miR-17-3p | 3.20 |
| has-miR-20b-5p | 4.60 |
| hsa-miR-1244 | 6.74 |
| hsa-miR-6840-3p | 3.09 |
| hsa-miR-1231 | 2.80 |
| hsa-miR-193b-5p | 3.08 |
| hsa-miR-6806-5p | 2.17 |
| hsa-miR-885-3p | 2.27 |
| hsa-miR-182-5p | 4.74 |
| hsa-miR-199a-5p | 4.88 |
| Variable | Range | 7y-OS (95%CI) | p | 7y-EFS (95%CI) | p |
|---|---|---|---|---|---|
| Age | 0–60 >60 | 74% (58–91) 61% (43–79) | 0.1 | 64% (46–81) 51% (33–70) | 0.14 |
| Sex | Male Female | 78% (65–92) 56% (36–77) | 0.25 | 63% (47–78) 53% (33–74) | 0.76 |
| ECOG PS | 0–1 2–4 | 75% (62–88) 48% (23–74) | 0.037 | 66% (52–80) 34% (9–59) | 0.027 |
| AA stage | I–II III–IV | 83% (69–97) 58% (40–75) | 0.067 | 74% (58–89) 46% (28–64) | 0.08 |
| B symptoms | No Yes | 79% (66–91) 47% (23–71) | 0.019 | 68% (53–82) 37% (13–61) | 0.026 |
| LDH | Normal High | 75% (57–94) 60% (42–77) | 0.072 | 69% (49–88) 48% (31–66) | 0.03 |
| Extranodal sites | 0–1 >1 | 71% (57–84) 58% (27–90) | 0.61 | 58% (44–72) 58% (27–90) | 0.79 |
| Bulky mass | No Yes | 67% (52–81) 73% (53–94) | 0.78 | 58% (42–74) 58% (36–81) | 0.85 |
| B2M | Normal High | 78% (64–92) 58% (35–80) | 0.072 | 67% (51–83) 51% (29–73) | 0.097 |
| R-IPI | Low Intermediate High | 100% 72% (55–88) 49% (27–72) | 0.01 | 100% 62% (45–80) 39% (17–61) | 0.008 |
| TS 1 | 0–2 3–5 | 82% (69–94) 44% (21–66) | 0.005 | 72% (57–86) 37% (16–59) | 0.007 |
| Radiotherapy | Yes No | 95% (87–100) 55% (39–71) | 0.024 | 86% (71–100) 45% (28–61) | 0.02 |
| RDI 2 | 100–85% <85% | 75% (62–88) 48% (20–76) | 0.002 | 67% (52–81) 33% (9–59) | <0.001 |
| miR-1244 | 0–0.31 >0.31 | 77% (64–90) 53% (30–76) | 0.024 | 72% (58–87) 32% (9–56) | 0.005 |
| miR-193b-5p | 0–0.27 >0.27 | 84% (72–97) 51% (30–71) | 0.009 | 79% (64–93) 34% (14–53) | <0.001 |
| miR-1231 | 0.215 >0.215 | 80% (67–93) 51% (28–73) | 0.02 | 75% (60–89) 29% (2–55) | 0.001 |
| miR-20b-5p | 0–0.6 >0.6 | 78% (61–95) 63% (46–79) | 0.21 | 73% (54–92) 49% (32–65) | 0.046 |
| miR-17-3p | 0–0.06 >0.06 | 57% (20–94) 70% (57–83) | 0.35 | 21% (0–56) 62% (48–76) | 0.053 |
| miR-182-5p | 0–0.065 >0.065 | 92% (78–100) 61% (47–76) | 0.043 | 52% (34–70) 62% (42–82) | 0.12 |
| miR-199a-5 | 0.7 >0.7 | 81% (67–95) 55% (36–74) | 0.035 | 69% (53–86) 45% (26–64) | 0.04 |
| miR-6840-3p | 0–0.41 >0.41 | 69% (55–84) 67% (45–89) | 0.72 | 68% (53–82) 33% (9–57) | 0.01 |
| miR-885-3p | 0–0.285 >0.285 | 79% (65–94) 52% (32–73) | 0.008 | 70% (45–95) 52% (36–67) | 0.12 |
| miR-6806-5p | 0–0.245 >0.245 | 72% (56–87) 65% (45–84) | 0.43 | 69% (54–85) 42% (20–63) | 0.019 |
| Variable | EFS HR (95%CI) | p |
|---|---|---|
| High R-IPI | 3.8 (1.7–8.5) | 0.001 |
| Reduced RDI > 15% | 4.3 (1.9–9.6) | <0.001 |
| miRNA-1231 | 5.6 (2.3–13.6) | <0.001 |
| Variable | OS HR (95%CI) | p |
| High R-IPI | 4.2 (1.7–10.4) | 0.002 |
| Reduced RDI > 15% | 4.7 (1.9–11.8) | 0.001 |
| miRNA-1231 | 4.4 (1.6–12.2) | 0.004 |
Publisher’s Note: MDPI stays neutral with regard to jurisdictional claims in published maps and institutional affiliations. |
© 2022 by the authors. Licensee MDPI, Basel, Switzerland. This article is an open access article distributed under the terms and conditions of the Creative Commons Attribution (CC BY) license (https://creativecommons.org/licenses/by/4.0/).
Share and Cite
Bento, L.; Vögler, O.; Sas-Barbeito, A.; Muncunill, J.; Ros, T.; Martínez, J.; Quintero-Duarte, A.; Ramos, R.; Asensio, V.J.; Fernández-Rodríguez, C.; et al. Screening for Prognostic microRNAs Associated with Treatment Failure in Diffuse Large B Cell Lymphoma. Cancers 2022, 14, 1065. https://doi.org/10.3390/cancers14041065
Bento L, Vögler O, Sas-Barbeito A, Muncunill J, Ros T, Martínez J, Quintero-Duarte A, Ramos R, Asensio VJ, Fernández-Rodríguez C, et al. Screening for Prognostic microRNAs Associated with Treatment Failure in Diffuse Large B Cell Lymphoma. Cancers. 2022; 14(4):1065. https://doi.org/10.3390/cancers14041065
Chicago/Turabian StyleBento, Leyre, Oliver Vögler, Adriana Sas-Barbeito, Josep Muncunill, Teresa Ros, Jordi Martínez, Adriana Quintero-Duarte, Rafael Ramos, Víctor Jose Asensio, Concepción Fernández-Rodríguez, and et al. 2022. "Screening for Prognostic microRNAs Associated with Treatment Failure in Diffuse Large B Cell Lymphoma" Cancers 14, no. 4: 1065. https://doi.org/10.3390/cancers14041065
APA StyleBento, L., Vögler, O., Sas-Barbeito, A., Muncunill, J., Ros, T., Martínez, J., Quintero-Duarte, A., Ramos, R., Asensio, V. J., Fernández-Rodríguez, C., Salar, A., Navarro, A., del Campo, R., Ibarra, J., Alemany, R., & Gutiérrez, A. (2022). Screening for Prognostic microRNAs Associated with Treatment Failure in Diffuse Large B Cell Lymphoma. Cancers, 14(4), 1065. https://doi.org/10.3390/cancers14041065

